Giải bài tập Toán 10 SBT ôn tập cuối năm
Toán 10 - Bài tập ôn tập cuối năm
VnDoc xin giới thiệu tới bạn đọc tài liệu Giải bài tập Toán 10 SBT ôn tập cuối năm, tài liệu kèm theo đáp án sẽ là nguồn thông tin hữu ích để giúp các bạn học sinh học tập môn Toán 10 một cách tốt nhất. Mời các bạn học sinh tham khảo.
Giải bài tập Toán 10 SBT bài 1 chương 6
Giải bài tập Toán 10 SBT bài 2 chương 6
Giải bài tập Toán 10 SBT
Bài 1 trang 214 Sách bài tập (SBT) Toán Đại số 10
Xác định parabol
\(y = a{x^2} + bx + c\) trong mỗi trường hợp sau
a) Parabol nhận trục tung làm trục đối xứng và cắt đường thẳng
\(y = {x \over 2}\) tại các điểm có hoành độ là -1 và
\({3 \over 2}\)
b) Parabol đi qua gốc tọa độ và có đỉnh là điểm (1;2).
c) Parabol đi qua hai điểm A(-1; 2), B(2; 3) và có trục đối xứng là đường thẳng x = 1.
Gợi ý làm bài
a) Vì đồ thị nhận trục tung làm trục đối xứng cho nên hàm số
\(f(x) = a{x^2} + bx + c\) là hàm số chẵn, do đó
\(f(x) = a{x^2} + bx + c = a{x^2} - bx + c = f( - x),\forall x\)
Suy ra b = 0. Ta còn phải xác định a và c.
Vì parabol cắt đường thẳng
\(y = {x \over 2}\) tại các điểm có hoành độ -1 và
\({3 \over 2}\) nên nó đi qua các điểm
\(( - 1; - {1 \over 2})\) và
\(({3 \over 2};{3 \over 4})\)
Ta có hệ phương trình
\(\left\{ \matrix{a + c = - {1 \over 2} \hfill \cr {{9a} \over 4} + c = {3 \over 4} \hfill \cr} \right.\)
Giải hệ phương trình trên ta được
\(a = 1,c = - {3 \over 2}\)
Parabol phải tìm là
\(y = x{}^2 - {3 \over 2}\)
b) Vì parabol đi qua (0;0) nên y(0) = c = 0.
Do parabol có đỉnh là (1 ; 2) nên
\(\left\{ \matrix{- {b \over {2a}} = 1 \hfill \cr - {\Delta \over {4a}} = 2 \hfill \cr} \right. \Leftrightarrow \left\{ \matrix{2a + b = 0 \hfill \cr {b^2} + 8a = 0 \hfill \cr} \right.\)
Giải hệ phương trình trên ta được a = -2, b = 4.
Parabol phải tìm là
\(y = - 2{x^2} + 4x\)
c)
\(a = - {1 \over 3},b = {2 \over 3},c = 3\)
Bài 2 trang 214 Sách bài tập (SBT) Toán Đại số 10
Tìm các giá trị của k sao cho phương trình
\((k - 1){x^2} + (k + 4)x + k + 7 = 0\)
có các nghiệm bằng nhau.
Gợi ý làm bài
Phương trình
\((k - 1)x_{}^2 + (k + 4)x + k + 7 = 0\) có các nghiệm bằng nhau
⇔Δ=(k+4)2−4(k−1)(k+7)=0
⇔−3k2−16k+44=0
\(\Leftrightarrow \left\{\begin{matrix} k=22 \\ k=-\frac{22}{3} \end{matrix}\right.\)
Bài 3 trang 214 Sách bài tập (SBT) Toán Đại số 10
Với những giá trị nào của a, hiệu giữa hai nghiệm của phương trình
\(2{x^2} - (a + 1)x + (a - 1) = 0\)
bằng tích của chúng?
Gợi ý làm bài
Ta có:
\(\Delta = {(a + 1)^2} - 8(a - 1) = {a^2} + 2a + 1 - 8a + 8\)
\({a^2} - 6a + 9 = {(a - 3)^2} \ge 0\) nên phương trình đã cho có nghiệm
Xét
\({({x_1} - {x_2})^2} = {({x_1} + {x_2})^2} - 4{x_1}{x_2} = x_1^2x_2^2\)
Hay
\({\left( {{{a + 1} \over 2}} \right)^2} - 4.{{a - 1} \over 2} = {\left( {{{a - 1} \over 2}} \right)^2}\)
\(\Leftrightarrow - 4a + 8 = 0 \Leftrightarrow a = 2\)
Đáp số: a = 2
Bài 4 trang 214 Sách bài tập (SBT) Toán Đại số 10
Hãy xác định k để hiệu giữa các nghiệm của phương trình
\(5{x^2} - kx + 1 = 0\) bằng 1.
Gợi ý làm bài
Cần có:
\(\Delta = {k^2} - 20 > 0\)
Xét
\({x_1} - {x_2} = ({x_1} + {x_2}) - 2{x_2} = 1 = > {k \over 5} - 2{x_2} = 1\)
Suy ra
\({x_2} = {{k - 5} \over {10}},{x_2} = 1 + {x_1} = {{k + 5} \over {10}}\)
Do đó
\({x_1}{x_2} = {{k - 5} \over {10}}.{{k + 5} \over {10}} = {1 \over 5} \Leftrightarrow {k^2} = 45\)
Đáp số:
\(k = \pm 3\sqrt 5\)
Bài 5 trang 214 Sách bài tập (SBT) Toán Đại số 10
Tìm các giá trị của a sao cho tổng các nghiệm của phương trình
\({x^2} - 2a(x - 1) - 1 = 0\)
bằng tổng bình phương các nghiệm đó.
Gợi ý làm bài
\({x^2} - 2a(x - 1) - 1 = 0 \Leftrightarrow {x^2} - 2ax + 2a - 1 = 0\)
Vì
\(\Delta ' = {(a - 1)^2} \ge 0\) nên phương trình luôn có nghiệm.
Ta có:
\({x_1} + {x_2} = 2a\)
\({x_1}{x_2} = 2a - 1\)
\(x_1^2 + x_2^2 = {({x_1} + {x_2})^2} - 2{x_1}{x_2}\)
Suy ra:
\(4{a^2} - 2(2a - 1) = 2a \Leftrightarrow 2{a^2} - 3a + 1 = 0\)
Giải phương trình trên ta được
\(a = {1 \over 2};a = 1\)
Đáp số:
\(a = {1 \over 2};a = 1\)
Bài 6 trang 214 Sách bài tập (SBT) Toán Đại số 10
Không giải phương trình
\(3{x^2} - 5x - 2 = 0\)
hãy tính tổng lập phương các nghiệm của nó.
Gợi ý làm bài
\(x_1^3 + x_2^3 = ({x_1} + {x_2})(x_1^2 - 2{x_1}{x_2} + x_2^2)\)
=(x1+x2)[(x1+x2)2−3x1x2]
\(=\frac{5}{3}\)
\(\begin{bmatrix} \frac{25}{9}+2 \end{bmatrix} =\frac{215}{27}\)
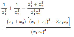
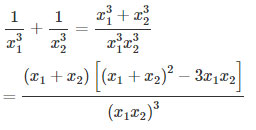
Bài 7 trang 215 Sách bài tập (SBT) Toán Đại số 10
Tính
\({1 \over {x_1^3}} + {1 \over {x_2^3}}\), trong đó
\({x_1}\) và
\({x_2}\) là các nghiệm của phương trình bậc hai
\(2{x^2} - 3ax - 2 = 0\)
Gợi ý làm bài
Ta có:
\(= - {{3a} \over 2}\left[ {{{9{a^2}} \over 4} + 3} \right] = - {{27{a^3} + 36a} \over 8}\)
Bài 8 trang 215 Sách bài tập (SBT) Toán Đại số 10
Tìm giá trị của a sao cho phương trình
\({x^2} - 6ax + 2 - 2a + 9{a^2} = 0\)
có hai nghiệm dương phân biệt và đều lớn hơn 3.
Gợi ý làm bài
Phải có

Giải hệ bất phương trình trên ta được a > 1.
Bài 9 trang 215 Sách bài tập (SBT) Toán Đại số 10
Tìm các giá trị nguyên của k sao cho phương trình
\((k - 12){x^2} + 2(k - 12)x + 2 = 0\) vô nghiệm
Gợi ý làm bài
Phương trình
\((k - 12)x_{}^2 + 2(k - 12)x + 2 = 0\) vô nghiệm
\(\Leftrightarrow \left[ \matrix{
a = k - 12 = 0 \Leftrightarrow k = 12(1) \hfill \cr
\Delta ' = (k - 12)_{}^2 - (k - 12).2 < 0(2) \hfill \cr} \right.\)
Xét (2):
Đặt
\(k - 12 = t \Rightarrow t_{}^2 - 2t < 0 \Leftrightarrow 0 < t < 2\)
Vậy:
\(0 < k - 12 < 2 \Leftrightarrow 12 < k < 14\), mà k nguyên
\(\Rightarrow k = 13\,(3)\)
Từ (1) và (3)
\(\Rightarrow k = 12,k = 13\)
Bài 10 trang 215 Sách bài tập (SBT) Toán Đại số 10
Cho phương trình bậc hai
\(a{x^2} - 2(a + 1)x + {(a + 1)^2}a = 0 (E)\)
Kí hiệu S là tổng, P là tích các nghiệm (nếu có) của phương trình trên.
a) Với giá trị nào của a, phương trình (E) có nghiệm?
b) Biện luận dấu của S và P. Từ đó suy ra dấu các nghiệm của (E).
c)Tìm hệ thức giữa S và P độc lập đối với a.
d) Với những giá trị nào của a, các nghiệm
\({x_1},{x_2}\) của (E) thỏa mãn hệ thức
\({x_1} = 3{x_2}\)? Tìm các nghiệm
\({x_1},{x_2}\) trong mỗi trường hợp đó.
Gợi ý làm bài
a) Phải có:
\(\Delta = {(a + 1)^2} - {(a + 1)^2}{a^2} = {(a + 1)^2}(1 - {a^2}) \ge 0\)
\(\Leftrightarrow - 1 \le a \le 1,a \ne 0\)
b) Ta có:
\(\ = {(a + 1)^2}\)
\(P = 0 \Leftrightarrow a = - 1\) khi đó
\({x_1} = {x_2} = 0\)
\(P > 0,\forall a \ne - 1\) khi đó
\({x_1},{x_2}\) cùng dấu.
Mặt khác
\(S = {{2(a + 1)} \over a}\)
Suy ra:
Với
\(0 < a \le 1\) thì hai nghiệm của phương trình (E) đều dương;
Với
\(- 1 \le a < 0\) thì hai nghiệm của phương trình (E) đều âm;
c) Từ
\(S = {{2(a + 1)} \over a}\) suy ra
\(a = {2 \over {S - 2}}\)
Do đó:
\(P = {\left( {{2 \over {S - 2}} + 1} \right)^2} = {{{S^2}} \over {{{(S - 2)}^2}}} \Leftrightarrow {(S - 2)^2}P - {S^2} = 0\)
d)
\(\left\{ \matrix{{x_1} + {x_2} = {{2(a + 1)} \over a} \hfill \cr {x_1} = 3{x_2} \hfill \cr} \right. = > 4{x_2} = {{2(a + 1)} \over a}\)
\(\left\{ \matrix{{x_1}{x_2} = {(a + 1)^2} \hfill \cr {x_1} = 3{x_2} \hfill \cr} \right. = > 3x_2^2 = {(a + 1)^2}.\)
Suy ra:
\({(a + 1)^2}(4{a^2} - 3) = 0 \Leftrightarrow \left[ \matrix{a = - 1 \hfill \cr a = {{\sqrt 3 } \over 2} \hfill \cr a = - {{\sqrt 3 } \over 2} \hfill \cr} \right.\)
Với a = - 1 ta có:
\({x_1} = {x_2} = 0\)
Với
\(a = {{\sqrt 3 } \over 2}\) ta có:
\({x_2} = {{3 + 2\sqrt 3 } \over 6};{x_1} = {{3 + 2\sqrt 3 } \over 2}\)
Với
\(a = - {{\sqrt 3 } \over 2}\) ta có:
\({x_2} = {{3 - 2\sqrt 3 } \over 6};{x_1} = {{3 - 2\sqrt 3 } \over 2}\)
Bài 11 trang 215 Sách bài tập (SBT) Toán Đại số 10
Giải và biện luận các hệ phương trình sau
a)
\((1) \left\{ \matrix{x + ay = 1 \hfill \cr ax + y = 2a; \hfill \cr} \right.\)
b)
\((2) \left\{ \matrix{ax + y = a \hfill \cr x + ay = {a^2}. \hfill \cr} \right.\)
Gợi ý làm bài
a) Với
\(a \ne \pm 1\) hệ phương trình (1) có nghiệm
\(x = {{1 - 2{a^2}} \over {1 - {a^2}}};y = {a \over {1 - {a^2}}}\)
Với
\(a = \pm 1\) hệ phương trình (1) vô nghiệm.
b) Nếu
\(a \ne \pm 1\) thì thì x = 0, y = a;
Nếu a = -1 thì x = t + 1, y = 1
\((t \in R)\)
Nếu a = 1 thì (x = t,y = 1 - t
\((t \in R)\)
Bài 12 trang 215 Sách bài tập (SBT) Toán Đại số 10
Giải phương trình sau
a)
\((1) \left\{ \matrix{(m - 2)x + 27y = 4,5 \hfill \cr 2x + (m + 1)y = - 1; \hfill \cr} \right.\)
b)
\((2) \left\{ \matrix{3x + my = 3 \hfill \cr mx + 3y = 3. \hfill \cr} \right.\)
Gợi ý làm bài
a) Hệ phương trình (3) tương đương với
\(\left\{ \matrix{({m^2} - m - 56)y = - m - 7 \hfill \cr 2x + (m + 1)y = - 1 \hfill \cr} \right.\)
Từ đó nếu
\({m^2} - m - 56 \ne 0\) thì hệ có nghiệm
Ta xét:
\({m^2} - m - 56 = 0 \Leftrightarrow \left[ \matrix{m = - 7 \hfill \cr m = 8 \hfill \cr} \right.\)
Với m = -7 hệ phương trình (3) trở thành
\(\left\{ \matrix{- 9x + 27y = 4,5 \hfill \cr 2x - 6y = - 1 \hfill \cr} \right.(3a)\)
Vì
\(- {9 \over 2} = {{27} \over { - 6}} = {{4,5} \over { - 1}}\) nên hệ phương trình (3a) có vô số nghiệm.
Với m = 8 ta có hệ
\(\left\{ \matrix{6x + 27y = 4,5 \hfill \cr 2x + 9y = - 1 \hfill \cr} \right.(3b)\)
Vì
\({6 \over 2} = {{27} \over 9} \ne {{4,5} \over { - 1}}\) cho nên hệ phương trình (3b) vô nghiệm.
Trả lời: m = -7.
b) Hệ phương trình (4) tương đương với
\(\left\{ \matrix{(9 - {m^2})x = 9 - 3m \hfill \cr mx + 3y = 3 \hfill \cr} \right.\)
Tương tự câu a) ta xét trường hợp
\(9 - {m^2} = 0 \Leftrightarrow m = \pm 3\)
Với m = 3 ta có hệ phương trình
\(\left\{ \matrix{3x + 3y = 3 \hfill \cr 3x + 3y = 3 \hfill \cr} \right.(4{\rm{a}})\)
Rõ ràng hệ phương trình (4a) có vô số nghiệm.
Với m = -3 hệ phương trình (4) trở thành
\(\left\{ \matrix{3x - 3y = 3 \hfill \cr - 3x + 3y = 3 \hfill \cr} \right.(4b)\)
Vì
\({3 \over { - 3}} = {{ - 3} \over 3} \ne {3 \over 3}\) cho nên hệ phương trình (4b) vô nghiệm.
Trả lời: m = 3.
Bài 13 trang 215 Sách bài tập (SBT) Toán Đại số 10
Giải các hệ phương trình sau
a)
\(\left\{ \matrix{x + y + xy = 5 \hfill \cr {x^2} + {y^2} + xy = 7; \hfill \cr} \right.\)
b)
\(\left\{ \matrix{{x^2} + {y^2} - xy = 13 \hfill \cr x + y - \sqrt {xy} = 3. \hfill \cr} \right.\)
Gợi ý làm bài
a)
\(\left\{ \matrix{x + y + xy = 5 \hfill \cr {x^2} + {y^2} + xy = 7 \hfill \cr} \right. \Leftrightarrow \left\{ \matrix{x + y + xy = 5 \hfill \cr {(x + y)^2} + (x + y) = 12 \hfill \cr} \right.\)
Đặt u = x + y ta được
\({u^2} + u - 12 = 0\)
Giải ra ta được
\({u_1} = 3,{u_2} = - 4\)
Với u = 3 ta có hệ phương trình
\(\left\{ \matrix{x + y = 3 \hfill \cr xy = 2 \hfill \cr} \right.(*)\)
Với u = -4 ta được hệ phương trình
\(\left\{ \matrix{x + y = - 4 \hfill \cr xy = 9 \hfill \cr} \right.\) (vô nghiệm)
Đáp số: (1; 2) và (2; 1).
b) Đặt
\(\left\{ \matrix{u = x + y \hfill \cr v = \sqrt {xy} \hfill \cr} \right.(v \ge 0)\) ta được hệ phương trình
\(\left\{ \matrix{{u^2} - 3{v^2} = 13 \hfill \cr u - v = 3 \hfill \cr} \right.\)
hay
\(\left\{ \matrix{u - v = 3 \hfill \cr {u^2} - 9u + 20 = 0 \hfill \cr} \right.\)
Giải hệ phương trình trên ta được
u = 5, v = 2
hoặc u = 4, v = 1
Vậy

Đáp số: Hệ phương trình đã cho có bốn nghiệm là
\((4;1);(1;4);(2 - \sqrt 3 ;2 + \sqrt 3 );(2 + \sqrt 3 ;2 - \sqrt 3 )\)
Bài 14 trang 216 Sách bài tập (SBT) Toán Đại số 10
Giải các hệ phương trình sau
\(\left\{ \matrix{{x^2} - xy = 28 \hfill \cr {y^2} - xy = - 12; \hfill \cr} \right.\)
\(\left\{ \matrix{5(x + y) + 2xy = - 19 \hfill \cr 15xy + 5(x + y) = - 175. \hfill \cr} \right.\)
Gợi ý làm bài
a)

b)
\(\left\{ \matrix{5(x + y) + 2xy = - 19 \hfill \cr 15xy + 5(x + y) = - 175 \hfill \cr} \right.\)
Đặt
\(\left\{ \matrix{x + y = a \hfill \cr xy = b \hfill \cr} \right.\)
ta có hệ phương trình đã cho tương đương với hệ phương trình:
![]()
Vậy
\(\left\{ \matrix{x + y = 1 \hfill \cr xy = - 12 \hfill \cr} \right.\)
\(\Rightarrow \,x,y\) là 2 nghiệm của phương trình
\(X_{}^2 - X - 12 = 0 \Leftrightarrow \left\{ \matrix{X_1^{} = - 3 \hfill \cr X_2^{} = 4 \hfill \cr} \right.\)
Vậy hệ phương trình có 2 nghiệm
\(\left\{ \matrix{x = - 3 \hfill \cr y = 4 \hfill \cr} \right.\)
và
\(\left\{ \matrix{x = 4 \hfill \cr y = - 3 \hfill \cr} \right.\)
Bài 15 trang 216 Sách bài tập (SBT) Toán Đại số 10
Giải các bất phương trình sau
a)
\(3{x^2} - 7x + 4 \le 0\)
b)
\({x^2} - 3x + 5 > 0\)
c)
\({x^2} + 4 \ge \left| {3x + 2} \right| - 7x\)
e)
\({{2x + 3} \over {{x^2} + x - 12}} \le {1 \over 2}\)
g)
\({{{x^4} - 3{x^3} + 2{x^2}} \over {{x^2} - x - 30}} > 0\)
Gợi ý làm bài
a)
\(\left[ {1;{4 \over 3}} \right]\)
b)
\(( - \infty ; + \infty )\)
c)
\(\left( { - \infty ;{{4 - \sqrt 2 } \over 2}} \right] \cup \left[ {{{5 + \sqrt 3 } \over 2}; + \infty } \right)\)
d)
\(\left( { - \infty ;{{ - 5 - \sqrt {19} } \over 3}} \right) \cup \left( {{{4 + \sqrt {19} } \over 3}; + \infty } \right)\)
e)
\(( - \infty ; - 4) \cup ( - 3;3) \cup (6; + \infty )\)
g)
\(( - \infty ; - 5) \cup (1;2) \cup (6; + \infty )\)
Bài 16 trang 216 Sách bài tập (SBT) Toán Đại số 10
Trong mặt phẳng tọa độ Oxy, tìm tọa độ các đỉnh của tam giác ABC, biết tọa độ trung điểm của các cạnh BC, CA, AB lần lượt là M(1;2), N(3;-5), P(5; 7).
Gợi ý làm bài
Giả sử các đỉnh của tam giác có tọa độ lần lượt là
\(A({x_1},{y_1}),B({x_2},{y_2}),C({x_3},{y_3})\)
Theo công thức tọa độ trung điểm ta có:
\((I)\left\{ \matrix{{x_2} + {x_3} = 2{x_M} = 2 \hfill \cr {x_3} + {x_1} = 2{x_N} = 6 \hfill \cr {x_1} + {x_2} = 2{x_P} = 10 \hfill \cr} \right.\)
và
\((II)\left\{ \matrix{{y_2} + {y_3} = 2{y_M} = 4 \hfill \cr {y_3} + {y_1} = 2{y_N} = - 10 \hfill \cr {y_1} + {y_2} = 2{y_P} = 14 \hfill \cr} \right.\)
Cộng từng vế các phương trình của hệ (I) ta được
\(2({x_1} + {x_2} + {x_3}) = 18 = > {x_1} + {x_2} + {x_3} = 9\)
Từ đó:
\({x_1} = 7;{x_2} = 3;{x_3} = - 1\)
Tương tự tìm được
\({y_1} = 0;{y_2} = 14;{y_3} = - 10\)
Vậy:
\(A(7;0);B(3;14);C( - 1; - 10)\)
Bài 17 trang 216 Sách bài tập (SBT) Toán Đại số 10
Trong mặt phẳng tọa độ Oxy hãy tìm tọa độ các đỉnh M, N của hình vuông AMBN, biết tọa độ hai đỉnh A(1; 1) và B(3; 5).
Gợi ý làm bài
Giả sử M(x; y) là đỉnh của hình vuông AMBN.
Ta có:

\(\Leftrightarrow \left\{ \matrix{{(x - 1)^2} + {(y - 1)^2} = {(x - 3)^2} + {(y - 5)^2} \hfill \cr (x - 1)(x - 3) + (y - 1)(y - 5) = 0 \hfill \cr} \right.\)
\(\Leftrightarrow \left\{ \matrix{x + 2y = 8 \hfill \cr {x^2} + {y^2} - 4x - 6y + 8 = 0 \hfill \cr} \right. \Leftrightarrow \left\{ \matrix{x = 4 \hfill \cr y = 2 \hfill \cr} \right.\)
hoặc
\(\left\{ \matrix{x = 0 \hfill \cr y = 4 \hfill \cr} \right.\)
Vậy M(4; 2), N(0; 4) hoặc M(0; 4), N(4; 2).
Bài 18 trang 216 Sách bài tập (SBT) Toán Đại số 10
Biểu diễn hình học tập nghiệm của hệ bất phương trình
\(\left\{ \matrix{2y - x \le 6 \hfill \cr 9x + 4y \le 56 \hfill \cr 3x + 5y \ge 4 \hfill \cr} \right.\)
Gợi ý làm bài
(h.65) Tập nghiệm là miền tam giác ABC (kể cả biên).

Bài 19 trang 217 Sách bài tập (SBT) Toán Đại số lớp 10
Cho các số liệu thống kê ghi trong bảng sau
Thời gian giải xong một bài tập Toán của 44 học sinh lớp 10A, trường Trung học phổ thông K
|
23,5 |
23,0 |
21,1 |
23,7 |
23,2 |
21,9 |
24,0 |
22,7 |
|
19,6 |
22,5 |
22,3 |
20,0 |
23,2 |
21,5 |
20,1 |
23,7 |
|
20,6 |
24,6 |
22,3 |
21,0 |
25,4 |
22,7 |
21,3 |
|
|
21,2 |
23,6 |
23,1 |
21,6 |
24,2 |
22,6 |
22,0 |
|
|
22,7 |
19,8 |
23,2 |
21,9 |
20,3 |
22,6 |
22,2 |
|
|
21,1 |
20,5 |
24,8 |
22,5 |
20,9 |
25,0 |
23,3 |
a) Lập bảng phân bố tần số và tần suất ghép lớp với các lớp như sau:
[19,5; 20,5); [20,5; 21,5); [21,5; 22,5); [22,5; 23,5); [23,5; 24,5); [24,5; 25,5].
b) Dựa vào bảng phân bố tần suất ghép lớp đã lập hãy nêu nhận xét về thời gian làm một bài tập của 44 học sinh kể trên.
c) Hãy tính số trung bình cộng
\(\bar{x}\), phương sai s2x và độ lệch chuẩn sx của các số liệu thống kê đã cho.
d) Giải sử rằng, cũng khảo sát thời gian giải xong một bài tập Toán của học sinh ở các lớp 10B, 10C của trường K, rồi tính các số trung bình cộng, phương sai và độ lệch chuẩn của các số liệu thống kê ở từng lớp, ta thu được kết quả sau:
Ở lớp 10B có
\(\bar{y}\)=20 phút, s2y=1, sy=1 phút
Ở lớp 10C có
\(\bar{z}\)=22 phút, s2z=1, sz=1phút
Hãy so sánh thời gian giải xong một bài tập Toán của học sinh ở ba lớp 10A, 10B, 10C đã cho.
e) Vẽ biểu đồ tần suất hình cột mô tả bảng phân bố tần suất ghép lớp đã lập được.
Gợi ý làm bài
a) Thời gian giải xong một bài tập toán của 44 học sinh lớp 10A, trường Trung học phổ thông K
|
Lớp thời gian (phút) |
Tần số |
Tần suất (%) |
|
[19,5;20,5) [20,5; 21,5) [21,5; 22,5) [22,5; 23,5) [23,5; 24,5) [24,5; 25,5] |
5 7 10 12 6 4 |
11,36 15,91 22,73 27,27 13,64 9,09 |
|
Cộng |
44 |
100 (%) |
b) Nhận xét:
Trong 44 học sinh đã được khảo sát ta thấy:
Chiểm tỉ lệ thấp nhất (9,09%) là những học sinh có thời gian giải xong một bài tập toán từ 24,5 phút đến 25,5 phút.
Chiểm tỉ lệ cao nhất (27,27%) là những học sinh có thời gian giải xong một bài tập toán từ 22,5 phút đến dưới 23,5 phút.
Đa số (79,55%) là những học sinh có thời gian giải xong bài tập toán đó từ 20,5 phút đến dưới 24,5 phút.
Đa số (79,55%) là những học sinh có thời gian giải xong bài tập toán đó từ 20,5 phút đến dưới 24,5 phút.
c) Sử dụng bảng phân bố tần số ghép lớp đã lập, ta tính được
\(\overline x = 22,4\) phút,
\(s_x^2 = 2,1,{s_x} = 1,4\) phút
d) Ta có
\(\overline x \approx \overline z = 22,4\) phút >20 phút
\(= \overline y\) và
\(s_x^2 = 2,1 > 1 = s_z^2\) nên thời gian giải xong bài tập toán đó của các học sinh lớp 10C là đồng đều hơn các học sinh lớp 10A.
e) Biểu đồ tần suất hình cột về thời gian (phút) giải xong một bài tập toán của 44 học sinh lớp 10A, trường Trung học phổ thông K (h.66)

Bài 20 trang 217 Sách bài tập (SBT) Toán Đại số lớp 10
Chứng minh rằng
a)
\({{\sqrt {1 + \cos \alpha } + \sqrt {1 - \cos \alpha } } \over {\sqrt {1 + \cos \alpha } - \sqrt {1 - \cos \alpha } }} = \cot ({\alpha \over 2} + {\pi \over 4})\)
\((\pi < \alpha < 2\pi )\)
b)
\({{\cos 4a\tan 2a - \sin 4a} \over {\cos 4a\cot 2a + \sin 4a}} = - {\tan ^2}2a\)
c)
\({{{{\sin }^2}2a + 4{{\sin }^2}a - 4} \over {1 - 8{{\sin }^2}a - \cos 4a}} = {1 \over 2}{\cot ^4}a\)
d)
\(1 + 2\cos 7a = {{\sin 10,5a} \over {\sin 3,5a}}\)
e)
\({{\tan 3a} \over {\tan a}} = {{3 - {{\tan }^2}a} \over {1 - 3{{\tan }^2}a}}\)
Gợi ý làm bài
a) Vì
\(\sqrt {1 + \cos \alpha } = - \sqrt 2 \cos {\alpha \over 2}(do{\pi \over 2} < {\alpha \over 2} < \pi )\)
\(\sqrt {1 - \cos \alpha } = \sqrt 2 \sin {\alpha \over 2}\) cho nên
\({{\sqrt {1 + \cos \alpha } + \sqrt {1 - \cos \alpha } } \over {\sqrt {1 + \cos \alpha } - \sqrt {1 - \cos \alpha } }}\)
\(= {{ - \sqrt 2 \cos {\alpha \over 2} + \sqrt 2 \cos {\alpha \over 2}} \over { - \sqrt 2 \cos {\alpha \over 2} - \sqrt 2 \cos {\alpha \over 2}}}\)
\(= \cot ({\alpha \over 2} + {\pi \over 4})\)
b)
\(= {{\cos 4a\tan 2a - \sin 4a} \over {\cos 4a\cot 2a + \sin 4a}}\)
\(= {{\cos 4a\sin 2a - \sin 4a\cos 2a} \over {\cos 4a\cos 2a + \sin 4a\sin 2a}}.\tan 2a\)
\(= {{ - \sin 2a} \over {\cos 2a}}\tan 2a = - {\tan ^2}2a\)
c)


\(= {{3 - {{\tan }^2}a} \over {1 - 3{{\tan }^2}a}}\)
Bài 21 trang 218 Sách bài tập (SBT) Toán Đại số 10
Rút gọn
a)
\({{{{\sin }^2}2\alpha + 4{{\sin }^4}\alpha - 4{{\sin }^2}\alpha c{\rm{o}}{{\rm{s}}^2}\alpha } \over {4 - {{\sin }^2}2\alpha - 4{{\sin }^2}\alpha }}\)
b)
\(3 - 4\cos 2a + \cos 4a\)
c)
\(\cos 4a - \sin 4a\cot 2a\)
d)
Gợi ý làm bài
a)

d)
\({{\cot a + \tan a} \over {1 + \tan 2a\tan a}} = {{{{\cos a} \over {\sin a}} + {{\sin a} \over {\cos a}}} \over {1 + {{\sin 2a\sin a} \over {\cos 2a\cos a}}}}\)
\(= {1 \over {\sin a\cos a}}.{{\cos acos2a} \over {\cos 2a\cos a + \sin 2a\sin a}}\)
\(= {2 \over {\sin 2a}}.{{\cos acos2a} \over {\cos (2a - a)}} = 2\cot 2a\)
Bài 22 trang 218 Sách bài tập (SBT) Toán Đại số 10
Không dùng bảng số và máy tính, hãy tính
a)
\(\cos {67^0}30'\) và
\({\rm{cos7}}{{\rm{5}}^0}\)
b)
\({{\cos {{15}^0} + 1} \over {2\cot {{15}^0}}}\)
c)
\(\tan {20^0}\tan {40^0}\tan {80^0}\)
d)
\(\cos {\pi \over 7}\cos {{4\pi } \over 7}\cos {{5\pi } \over 7}\)
Gợi ý làm bài
a)
\(\cos {67^0}30' = \cos {{{{135}^0}} \over 2} = \sqrt {{{1 + \cos {{135}^0}} \over 2}}\)
\(= \sqrt {{{1 - {{\sqrt 2 } \over 2}} \over 2}} = {{\sqrt {2 - \sqrt 2 } } \over 2}\)
\(\cos {75^0} = \cos ({45^0} + {30^0}) = {{\sqrt 2 } \over 4}(\sqrt 3 - 1)\)
b)

Đặt
\(x = \cos {15^0}\) và chú ý rằng
\(\cos {30^0} = \sqrt 3\) ta có
\(\sqrt 3 = {{{x^2} - 1} \over {2x}} \Leftrightarrow {x^2} - 2\sqrt 3 - 1 = 0\)
Giải phương trình trên ta được
\(x = 2 + \sqrt 3\) (nghiệm
\(x = \sqrt 3 - 2\) loại vì
\(\cot {15^0} > 0\). Do đó

c) Ta có:
\(\tan {20^0}\tan {40^0}\tan {80^0} = - \tan {20^0}\tan {40^0}\tan {100^0}\)
\(= - \tan ({60^0} - {40^0})\tan {40^0}\tan ({60^0} + {40^0})\)
\(= - {{\tan {{60}^0} - \tan {{40}^0}} \over {1 + \tan {{60}^0}\tan {{40}^0}}}\tan {40^0}{{\tan {{60}^0} + \tan {{40}^0}} \over {1 - \tan {{60}^0}\tan {{40}^0}}}\)
\(= - {{3 - {{\tan }^2}{{40}^0}} \over {1 - 3{{\tan }^2}{{40}^0}}}\tan {40^0} = - \tan {120^0} = \sqrt 3\)
d) Hướng dẫn: Nhân thêm
\(\sin {\pi \over 7}\)
Đáp số:
\({1 \over 8}\)
Bài 23 trang 218 Sách bài tập (SBT) Toán Đại số 10
Chứng minh rằng
a)
\({{1 - \cos 2a + \sin 2a} \over {1 + \cos 2a + \sin 2a}} = \tan a\)
b)
\(\frac{\cot a+\tan a}{1+\tan2\tan a}=2\cot2a\)
c)
\(\frac{\sqrt{2}-\sin a-\cos a}{\sin a-\cos a}=-\tan(\frac{a}{2}-\frac{\pi}{8})\)
d)
\(\cos 2a - \cos 3a - \cos 4a + \cos 5a = - 4\sin {a \over 2}\sin a\cos {{7a} \over 2}\)
Gợi ý làm bài
a)
\(\frac{1-\cos2a+\sin2a}{1+\cos2a+\sin2a}\)
\(=\frac{2\sin^2a+2\sin a\cos a}{1+2\cos2a-1+2\sin a\cos a}\)
\(=\frac{2\sin a(\sin a+\cos a)}{2\cos a(\sin a+\cos a)}=\tan a\)
b)
\({{\cot a + \tan a} \over {1 + \tan 2a\tan a}} = {{{1 \over {\tan a}} + \tan a} \over {1 + {{2tana} \over {1 - {{\tan }^2}a}}}}\)
\(= {{1 + {{\tan }^2}a} \over {\tan a}}:{{1 - {{\tan }^2}a + 2{{\tan }^2}a} \over {1 - {{\tan }^2}a}}\)
\(= {{1 - {{\tan }^2}a} \over {\tan a}} = 2\cot 2a\)
c)
\({{\sqrt 2 - \sin a - \cos a} \over {\sin a - \cos a}} = {{\sqrt 2 - \sqrt 2 sin(a + {\pi \over 4})} \over {\sqrt 2 sin(a - {\pi \over 4})}}\)
\(= {{1 - \sin (a + {\pi \over 4})} \over {sin(a - {\pi \over 4})}} = {{sin{\pi \over 2} - sin(a + {\pi \over 4})} \over {sin(a - {\pi \over 4})}}\)

Bài 24 trang 218 Sách bài tập (SBT) Toán Đại số 10
Rút gọn
a)
\({{1 + \cos a} \over {1 - \cos a}}{\tan ^2}{a \over 2} - {\cos ^2}a\)
b)
\(4{\cos ^4}a - 2\cos 2a - {1 \over 2}\cos 4a\)
c)
\({\sin ^2}a\left( {1 + {1 \over {\sin a}} + \cot a} \right)\left( {1 - {1 \over {\sin a}} + \cot a} \right)\)
d)
\({{\cos 2a} \over {{{\cos }^4}a - {{\sin }^4}a}} - {{{{\cos }^4}a + {{\sin }^4}a} \over {1 - {1 \over 2}{{\sin }^2}2a}}\)
Gợi ý làm bài

b)
\(4{\cos ^4}a - 2\cos 2a - {1 \over 2}\cos 4a\)
\(= 4{\cos ^4}a - 2(2{\cos ^2}a - 1) - {1 \over 2}(2{\cos ^2}2a - 1)\)
\(= 4{\cos ^4}a - 4{\cos ^2}a + 2 - {(2{\cos ^2}a - 1)^2} + {1 \over 2}\)
\(= 4{\cos ^4}a - 4{\cos ^2}a + {5 \over 2} - 4{\cos ^4}a + 4{\cos ^2}a - 1 = {3 \over 2}\)

\(=\sin2a\)
d)
\({{\cos 2a} \over {{{\cos }^4}a - {{\sin }^4}a}} - {{{{\cos }^4}a + {{\sin }^4}a} \over {1 - {1 \over 2}{{\sin }^2}2a}}\)
\(= {{{{\cos }^2}a - {{\sin }^2}a} \over {({{\cos }^2}a + {{\sin }^2}a)({{\cos }^2}a - {{\sin }^2}a)}} - {{{{\cos }^4}a + {{\sin }^4}a} \over {1 - {1 \over 2}{{(2\sin a\cos a)}^2}}}\)
\(= 1 - {{{{\cos }^4}a + {{\sin }^4}a} \over {{{\sin }^2}a - si{n^2}aco{s^2}a + {{\cos }^2}a - {{\sin }^2}a{{\cos }^2}a}}\)
\(= 1 - {{{{\cos }^4}a + {{\sin }^4}a} \over {{{\sin }^2}a(1 - co{s^2}a) + {{\cos }^2}a(1 - {{\sin }^2}a)}} = 0\)
-----------------------------
Để có kết quả cao hơn trong học tập, VnDoc xin giới thiệu tới các bạn học sinh tài liệu Giải bài tập Toán 10, Giải bài tập Vật Lí 10, Giải bài tập Sinh học 10, Giải bài tập Hóa học 10 mà VnDoc tổng hợp và đăng tải.
