Giải bài tập Toán 10 SBT bài 3 chương 3
Toán 10 - Phương trình và hệ phương trình bậc nhất nhiều ẩn
VnDoc xin giới thiệu tới bạn đọc tài liệu Giải bài tập Toán 10 SBT bài 3 chương 3, tài liệu gồm 7 bài tập trang 75, 76 kèm theo lời giải chi tiết sẽ giúp các bạn học sinh rèn luyện giải bài tập Toán lớp 10 một cách đơn giản hơn. Mời các bạn học sinh tham khảo.
Giải bài tập Toán 10 SBT bài 3 chương 2
Giải bài tập Toán 10 SBT ôn tập chương 2
Giải bài tập Toán 10 SBT bài 3
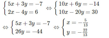
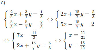
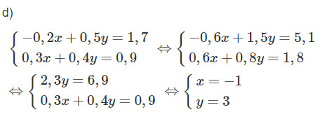
Bài 12 trang 75 Sách bài tập (SBT) Toán 10
Giải các hệ phương trình
a)
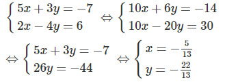
\(\left\{ \matrix{5x + 3y = - 7 \hfill \cr 2x - 4y = 6 \hfill \cr} \right.\)
b)
\(\left\{ \matrix{7x + 14y = 17 \hfill \cr 2x + 4y = 5 \hfill \cr} \right.\)
c)
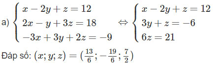
\(\left\{ \matrix{{2 \over 5}x + {3 \over 7}y = {1 \over 3} \hfill \cr {5 \over 3}x - {5 \over 7}y = {2 \over 3} \hfill \cr} \right.\)
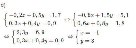
d)
\(\left\{ \matrix{- 0,2x + 0,5y = 1,7 \hfill \cr 0,3x - 0,4y = 0,9 \hfill \cr} \right.\)
Gợi ý làm bài
a)

b)
\(\left\{ \matrix{7x + 14y = 17 \hfill \cr 2x + 4y = 5 \hfill \cr} \right. \Leftrightarrow \left\{ \matrix{14x + 28y = 34 \hfill \cr 14x + 28y = 35 \hfill \cr} \right. \Rightarrow\) Hệ phương trình vô nghiệm.


Bài 13 trang 76 Sách bài tập (SBT) Toán Đại số 10
Một công ti có 85 xe chở khách gồm hai loại, xe chở được 4 khách và xe chở được 7 khách. Dùng tất cả số xe đó, tối đa công ti chở một lần được 445 khách. Hỏi công ti đó có mấy xe mỗi loại?
Gợi ý làm bài
Gọi x là số xe 4 chỗ, y là số xe 7 chỗ. Điều kiện x và y nguyên dương.
Ta có hệ phương trình.
\(\left\{ \matrix{x + y = 85 \hfill \cr 4x + 7y = 445 \hfill \cr} \right. = > \left\{ \matrix{x = 50 \hfill \cr y = 35 \hfill \cr} \right.\)
(thỏa mãn điều kiện của bài toán).
Vậy công ty có 50 xe 4 chỗ và 35 xe 7 chỗ.
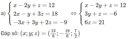
Bài 14 trang 76 Sách bài tập (SBT) Toán Đại số 10
Giải các hệ phương trình
a)
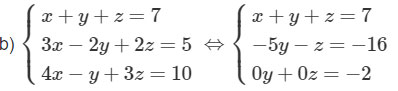
\(\left\{ \matrix{x - 2y + z = 12 \hfill \cr 2x - y + 3z = 18 \hfill \cr - 3x + 3y + 2z = - 9 \hfill \cr} \right.\)
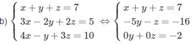
b)
\(\left\{ \matrix{x + y + z = 7 \hfill \cr 3x - 2y + 2z = 5 \hfill \cr 4x - y + 3z = 10 \hfill \cr} \right.\)
Gợi ý làm bài
a)

b)

Hệ phương trình vô nghiệm.
Bài 15 trang 76 Sách bài tập (SBT) Toán Đại số 10
Giải các hệ phương trình sau bằng máy tính bỏ túi
a)
\(\left\{ \matrix{{3 \over 4}x - {7 \over 3}y = {4 \over 5} \hfill \cr {2 \over 5}x + {2 \over 7}y = {2 \over 9} \hfill \cr} \right.\)
b)
\(\left\{ \matrix{3,7x + 4,3y = - 2,5 \hfill \cr - 5,1x + 2,7y = 4,8 \hfill \cr} \right.\)
Gợi ý làm bài
Đáp số:
\(a) (x;y) = ({{1412} \over {2169}}; - {{161} \over {1205}});\)
b)
\((x;y) \approx ( - 0,86;0,16)\)
Bài 16 trang 76 Sách bài tập (SBT) Toán Đại số 10
Giải các hệ phương trình sau bằng máy tính bỏ túi
a)
\(\left\{ \matrix{3{x_1} + 4{x_2} - 5{x_3} = 12 \hfill \cr - 4{x_1} + 2{x_2} + 7{x_3} = 7 \hfill \cr 5{x_1} + 6{x_2} - 4{x_3} = 12 \hfill \cr} \right.\)
b)
\(\left\{ \matrix{0,3x - 4,7y + 2,3z = 4,9 \hfill \cr - 2,1x + 3,2y + 4,5z = 7,6 \hfill \cr 4,2x + 2,7y + 3,7z = 5,7 \hfill \cr} \right.\)
Gợi ý làm bài
Đáp số:
\(a) ({x_1},{x_2},{x_3}) \approx ( - 2,52;3,2; - 1,35);\)
b)
\((x;y;z) \approx ( - 0,29; - 0,22;1,71)\)
Bài 17 trang 76 Sách bài tập (SBT) Toán Đại số 10
Một chủ cửa hàng bán lẻ mang 1 500 000 đồng đến ngân hàng đổi tiền để trả lại cho người mua. Ông ta đổi được tất cả 1 450 đồng tiền xu các loại 2000 đồng, 1000 đồng và 500 đồng. Biết rằng số tiền xu loại 1 000 đồng bằng hai lần hiệu của số tiền xu loại 500 đồng với số tiền xu loại 2000 đồng. Hỏi mỗi loại có bao nhiêu đồng tiền xu?
Gợi ý làm bài
Gọi x, y, z lần lượt là số đồng tiền xu loại 2000 đồng, 1000 đồng, 500 đồng.
Điều kiện là x, y, z nguyên dương
Ta có hệ phương trình

Trừ từng vế tương ứng của phương trình (2) với phương trình (1) ta được
3x + y = 1550
Cộng từng vế tương ứng của các phương trình (1), (2) và (3) ta có:
7x + 4y = 4450.
Giải hệ gồm hai phương trình (4) và (5) ta được.
x = 350, y = 500.
Thay các giá trị của x, y vào phương trình (1) ta được z = 600.
Vậy cửa hàng đổi được 350 đồng tiền xu loại 2000 đồng, 500 đồng tiền loại 1000 đồng và 600 đồng tiền xu loại 500 đồng.
Bài 18 trang 76 Sách bài tập (SBT) Toán Đại số 10
Tìm giá trị của m để các hệ phương trình sau vô nghiệm
a)
\(\left\{ \matrix{3x + 2y = 9 \hfill \cr mx - 2y = 2; \hfill \cr} \right.\)
b)
\(\left\{ \matrix{2x - my = 5 \hfill \cr x + y = 7. \hfill \cr} \right.\)
Gợi ý làm bài
\(a) \left\{ \matrix{3x + 2y = 9 \hfill \cr mx - 2y = 2 \hfill \cr} \right. = > (m + 3)x = 11\)
Phương trình cuối vô nghiệm khi m = -3.
Vậy hệ phương trình đã cho vô nghiệm khi m = -3.
b)
\(\left\{ \matrix{2x - my = 5 \hfill \cr x + y = 7 \hfill \cr} \right. = > \left\{ \matrix{2x - my = 5 \hfill \cr 2x + 2y = 14 \hfill \cr} \right. = > (m + 2)y = 9\)
Phương trình cuối vô nghiệm khi m = -2.
Vậy với m =- 2 hệ phương trình đã cho vô nghiệm.
-----------------------------
Để có kết quả cao hơn trong học tập, VnDoc xin giới thiệu tới các bạn học sinh tài liệu Giải bài tập Toán 10, Giải bài tập Vật Lí 10, Giải bài tập Sinh học 10, Giải bài tập Hóa học 10 mà VnDoc tổng hợp và đăng tải.