Giáo án Đại số 7 chương 1 bài 2: Cộng, trừ số hữu tỉ
Giáo án Đại số 7
Giáo án Đại số 7 chương 1 bài 2: Cộng, trừ số hữu tỉ được biên soạn kỹ lưỡng với nội dung chi tiết giúp các em học sinh biết cách thực hiện phép cộng, trừ hai số hữu tỷ, nắm được quy tắc chuyển vế trong tập Q các số hữu tỷ, vận dụng được quy tắc chuyển vế trong bài tập tìm x. Sau đây mời các bạn học sinh cùng quý thầy cô tham khảo.
Bài 2: CỘNG TRỪ HAI SỐ HỮU TỶ
I/ Mục tiêu
1/ Kiến thức:
Học sinh biết cách thực hiện phép cộng, trừ hai số hữu tỷ, nắm được quy tắc chuyển vế trong tập Q các số hữu tỷ.
2/ Kỹ năng:
Thuộc quy tắc và thực hiện được phép cộng, trừ số hữu tỷ vận dụng được quy tắc chuyển vế trong bài tập tìm x.
3/ Thái độ:
Cẩn thận, chính xác, nghiêm túc trong học tập.
II/ Chuẩn bị:
- GV: SGK, TLTK, bảng phụ.
- HS: Bảng con, thuộc bài và làm đủ bài tập về nhà.
III/ Tiến trình tiết dạy:
1. Ổn định tổ chức:
| Hoạt động của GV | Hoạt động của HS | Ghi bảng |
|
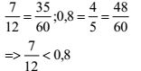
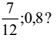
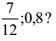
2. Kiểm tra bài cũ: Nêu cách so sánh hai số hữu tỷ? So sánh:
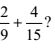
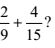
Viết hai số hữu tỷ âm? 3. Giới thiệu bài mới: Tính:
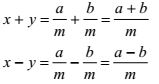
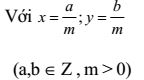
Hoạt động 1: Cộng, trừ hai số hữu tỷ: Qua ví dụ trên, hãy viết công thức tổng quát phép cộng, trừ hai số hữu tỷ x, y.
Gv lưu ý cho Hs, mẫu của phân số phải là số nguyên dương.
|
Viết được hai số hữu tỷ âm. Hs thực hiện phép tính:
Hs viết công thức dựa trên công thức cộng trừ hai phân số đã học ở lớp 6. |
I/ Cộng, trừ hai số hữu tỷ:
Ta có:
|
4. Củng cố:
- Giáo viên cho học sinh nêu lại các kiến thức cơ bản của bài:
- Quy tắc cộng trừ hữu tỉ (Viết số hữu tỉ cùng mẫu dương, cộng trừ phân số cùng mẫu dương).
- Qui tắc chuyển vế.
Yêu cầu hs hoạt động nhóm làm bài tập 6
- Nhóm 1+ 2: phần a + b
- Nhóm 3 +4: phần c + d
- Làm bài tập áp dụng 6; 9 /10.
5. Hướng dẫn: Giải bài tập 7; 8; 10 / 10.
HD: Bài 10: Nhắc lại quy tắc bỏ dấu ngoặc đã học ở lớp 6. Vận dụng quy tắc bỏ ngoặc để giải bài tập 10.
