Ôn thi Đại học môn Vật Lí có đáp án - Đề số 5
VnDoc xin giới thiệu tới bạn đọc Ôn thi Đại học môn Vật Lí có đáp án - Đề số 5. Nội dung tài liệu sẽ giúp các bạn làm bài thi trắc nghiệm Vật lý 12 hiệu quả hơn. Mời các bạn tham khảo.
Câu hỏi trắc nghiệm ôn thi Đại học môn Vật Lí đề 5
1. Câu hỏi ôn thi Đại học môn Vật Lí
Câu 1: Chọn phát biểu đúng
A. Dao động duy trì không bị tắt dần do nó không chịu tác dụng của lực ma sát
B. Năng lượng của vật dao động duy trì được bổ sung một cách tuần hoàn
C. Chu kì của dao động duy trì thay đổi theo ngoại lực
D. Khi chịu tác dụng của ngoại lực tuần hoàn, vật thực hiện dao động duy trì
Câu 2: Tìm phát biểu sai về dao động điều hòa
Dao động của một vật là dao động điều hòa nếu
A. Lực tác dụng lên vật tỉ lệ với độ dời và hướng về vị trí cân bằng
B. Lực tác dụng lên vật biến đổi tuần hoàn theo thời gian
C. Gia tốc của vật tỉ lệ với độ dời và hướng về vị trí cân bằng
D. Vận tốc của vật biến thiên điều hòa theo thời gian
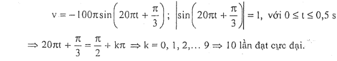
Câu 3: Một vật thực hiện dao động điều hòa theo phương trình: x= 5 cos (20πt + π/3) (cm) với t tính bằng giây. Trong khoảng thời gian từ 0 đến 0,5s đầu tiên, động năng của vật có mấy lần đạt giá trị cực đại?
A. 8
B. 10
C. 12
D. 20
Câu 4: Một con lắc có dây treo chiều dài l, chịu được lực căng cực đại bằng 2 lần trọng lượng P của vật nặng. Khi con lắc đang đứng yên ở vị trí cân bằng, người ta truyền cho nó động năng Wd. Muốn cho dây treo không bị đứt trong quá trình dao động, Wd không được vượt quá giá trị
A. Pl
B. 0,25Pl
C. 0,5Pl
D. 2Pl
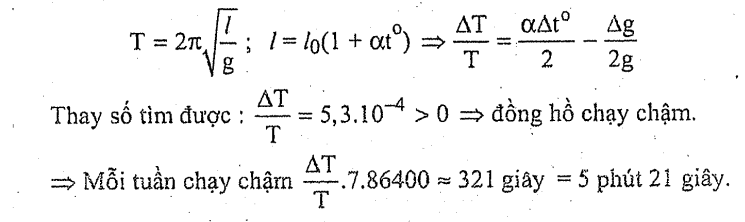
Câu 5: Một đồng hồ quả lắc chạy đúng giờ khi đặt ở mặt đất. Biết bán kính Trái Đất là 6400km. Đưa đồng hồ lên độ cao 3km và giữ cho chiều dài của con lắc không đổi. Mỗi ngày đồng hồ
A. Chạy chậm 40,5s
B. Chạy chậm 80,9s
C. Chạy nhanh 40,5s
D. Chạy chậm 80,9s
Câu 6: Một lò xo có độ dài tự nhiên 20cm, đầu trên cố định, đầu dưới treo một vật có khối lượng 120g, độ cứng lò xo là 40 N/m. Từ vị trí cân bằng kéo vật thẳng đứng xuống dưới tới khi lò xo dài 26,5cm rồi buông nhẹ. Lấy g=10m/s2. Động năng của vật lúc lò xo dài 25cm là
A. 26,5.10-2J
B. 16.10-2J
C. 16,5.10-3J
D. 132.10-3J
Câu 7: Hai dao động điều hòa cùng phương, cùng tần số có biên độ lần lượt là 4,5cm và 10cm. Biên độ dao động tổng hợp có thể có giá trị nào dưới đây
A. 7,5cm
B. 2,5cm
C. 15cm
D. 4,5cm
Câu 8: Sóng siêu âm có
A. Tần số lớn hơn 20000Hz
B. Tần số lớn hơn 16Hz
C. Cường độ rất lớn
D. Tốc độ truyền nhanh hơn âm thanh
Câu 9: Một sóng cơ điều hòa truyền qua một môi trường đàn hồi rắn. Tìm phát biểu sai
A. Các phần tử của môi trường tại nơi có sóng truyền qua cũng dao động điều hòa
B. Các phần tử có thể dao động cùng phương truyền sóng
C. Các phần tử có thể dao động vuông góc phương truyền sóng
D. Tốc độ dao động của các phần tử trong môi trường bằng tốc độ truyền sóng
Câu 10: Một sóng cơ lan truyền trong môi trường từ điểm M đến điểm N cách M một đoạn 0,9m với tốc độ 1,2m/s. Biết phương trình dao động của phần tử tại N có dạng uN = 0,02cos2π t (m). Phương trình dao động của phần tử tại M là
A. UM= 0,02cos(2πt) (m)
B. UM= 0,02 cos(2πt + 3π/2)(m)
C. UM= 0,02 cos(2πt -3π/2)(m)
D. UM= 0,02 cos(2πt+ π/2)(m)
Câu 11: Một dàn nhạc kèn gồm 5 chiếc kèn trumpet giống nhau, cùng hòa tấu một bản nhạc. Mỗi chiếc kèn phát ra âm có mức cường độ âm trung bình tại một điểm xác định là 70dB. Cũng tại điểm đó mức cường độ âm trung bình tổng cộng do 5 chiếc kèn phát ra bằng
A. 77dB
B. 75dB
C. 80dB
D. 82dB
Câu 12: Trên một dây đàn hồi dài 1m, có một sóng dừng có tần số 10Hz. Quan sát trên dây có 5 điểm nút. Tốc độ truyền sóng trên dây là
A. 4m/s
B. 40cm/s
C. 5m/s
D. 2,5m/s
Câu 13: Công thức tính công suất dòng điện xoay chiều là
A. P= UIsinφt
B. P= UItanφt
C. P= UIcosφt
D. P= UIcotφt
Câu 14: Cho dòng điện xoay chiều có biểu thức i=-20sin(100πt+π/6) (mA) Cường độ dòng điện hiệu dụng của dòng điện này là
A. -20mA
B. -10√2 mA
C. 10√2 mA
D. 20 mA
Câu 15: Một đèn sợi đốt ghi 12 V - 6W được mắc nối tiếp với cuộn dây thuần cảm vào mạch xoay chiều có điện áp hiệu dụng U = 24V sao cho đèn sáng bình thường. Điện áp giữa hai đầu cuộn dây và cảm kháng của nó lần lượt là
A. 12√3 V ; 24Ω
B. 12√2 V ; 24√3Ω
C. 12√3 V ; 24√3Ω
D. 12V ; 24√2Ω
Câu 16: Đoạn mạch điện xoay chiều gồm cuộn dây mắc nối tiếp với tụ điện C. Điện áp hiệu dụng hai đầu đoạn mạch là U=60V. Biết hệ số công suất của đoạn mạch là 0,8 và hệ số công suất cuộn dây là 0,6. Điện áp giữa hai đầu cuộn dây là
A. 20V
B. 30V
C. 40V
D. 80V
Câu 17: Người ta truyền tới nơi tiêu thụ công suất 550kW bằng đường dây có điện trở 5 Ω Biết điện áp ở trạm phát điện là 6 kV. Coi hệ số công suất của mạng điện bằng 1. Công suất điện truyền đi ở trạm phát điện là
A. 600 kW
B. 550kW
C. 580kW
D. 650kW
Câu 18: Đặt một điện áp xoay chiều vào hai đầu đoạn mạch có R, L, C mắc nối tiếp với nguồn điện xoay chiều có điện áp ổn định. Nếu R thay đổi thì thấy khi R = 30 Ω và R =120 Ω thì công suất tỏa nhiệt trên đoạn mạch bằng nhau. Để công suất đó cực đại thì giá trị R phải bằng
A. 150 Ω
B. 24 Ω
C. 90 Ω
D. 60 Ω
Câu 19: Một máy phát điện xoay chiều một pha có 4 cặp cực từ. Roto quay đều với tốc độ 20 (vòng/giây). Tần số của suất điện động do máy tạo ra là
A. 80Hz
B. 40Hz
C. 20Hz
D. 60Hz
Câu 20: Cho mạch điện xoay chiều có R, C mắc nối tiếp. Biết khi chỉ có điện trở R thì i=cos(100πt) (A) khi có tụ điện C thì i = cos (100 πt + π/2) (A). Khi có cả R, C thì cường độ dòng điện trong mạch có biểu thức
A. I =√2 cos (100 πt+ π/4) (A)
B. I =√2 cos (100 πt - π/4) (A)
C. I =1/√2 cos (100 πt + π/4(A)
D. I =1/√2 cos (100 πt - π/4) (A)
Câu 21: Cho một cuộn cảm thuần có độ tự cảm L và hai tụ điện có điện dung C1 và C2. Khi mắc cuộn cảm L với tụ điện C1 thì chu kì dao động là T1 = 5.10-5s mắc cuộn cảm L với tụ điện C2 thì chu kì dao động là T2 = 1,2.10-4s. Mắc cuộn L với bộ tụ điện gồm C1 và C2 mắc song song thì chu kì dao động của mạch này là
A. 3,4.10-5s
B. 1,7.10-4s
C. 7.10-5s
D. 1,3.10-4s
Câu 22: Trong một mạch dao động điện từ tự do, sau 7/8 chu kì kể từ khi cường độ dòng điện trong mạch bằng 0. Lúc đầu, năng lượng của mạch dao động tập trung ở đâu
A. Tụ điện
B. Cuộn cảm
C. Tụ điện và cuộn cảm
D. Bằng 0
Câu 23: Trong mạch dao động LC, diện tích trên tụ điện và cường độ dòng điện qua cuộn cảm thuần biến thiên
A. Điều hòa cùng tần số
B. Tuần hoàn cùng biên độ
C. Điều hòa cùng pha
D. Điều hòa ngược pha nhau
Câu 24: Tia tử ngoại được phát ra rất mạnh từ
A. Lò sưởi điện
B. Lò vi sóng
C. Hồ quang điện
D. Màn hình vô tuyến
Câu 25: Cho biết nước có chiết suất bằng 4/3, thủy tinh có chiết suất bằng 1,5. Một tia sáng có bước sóng 540 nm trong nước. Bước sóng ánh sáng đó trong thủy tinh là
A. 480 nm
B. 360nm
C. 720nm
D. 640nm
Câu 26: Trong thí nghiệm Y-âng về giao thoa ánh sáng, nguồn phát sáng gồm hai bức xạ có bước sóng λ1 = 0,42 um và λ2. Trên màn quan sát người ta thấy vân sáng bậc 4 của bức xạ bước sóng λ1 trùng với vân tối thứ 4 của bức xạ có bước sóng λ2. Bước sóng bằng λ2bằng
A. 0,56 μm
B. 0,48μm
C. 0,6μm
D. 0,65μm
Câu 27: Khoảng cách giữa hai vân sáng liên tiếp trong thí nghiệm giao thoa Y -âng bằng 1,5mm. Vân sáng bậc 3 cách vân trung tâm một khoảng là
A. 3mm
B. 3,5mm
C. 4mm
D. 4,5mm
Câu 28: Một lăng kính có góc chiết quang A = 6o chiết suất của lăng kính đối với tia đỏ là nd= 1,6444 và đối với tai tím là nt = 1,6852. Chiếu tia sáng trắng tới mặt bên của lăng kính dưới góc tới nhỏ. Góc lệch giữa tia ló màu đỏ và tia ló màu tím là
A. 0,001 rad
B. 0,0043 rad
C. 0,0152 rad
D. 0,0025 rad
Câu 29: Trong hiện tượng quang - phát quang, khi nguyên tử hấp thụ một photon nó sẽ
A. Phát ra một photon có bước sóng ngắn hơn bước sóng của photon bị hấp thụ
B. Phát ra một photon có bước sóng bằng bước sóng của photon bị hấp thụ
C. Phát ra một photon có bước sóng dài hơn bước sóng của photon bị hấp thụ
D. Phát ra một photon có tần số lớn hơn tần số của photon bị hấp thụ
Câu 30: Một tấm kim loại cô lập được chiếu sáng bằng ánh sáng có tần số xác định f. Để xác định xem có electron bị bứt ra hay không cần căn cứ vào đại lượng nào sau đây
A. Cường độ ánh sáng chiếu vào
B. Thời gian chiếu sáng
C. Độ dẫn điện của tấm kim loại
D. Bản chất của tấm kim loại
Câu 31: Giới hạn quang điện của đồng là λo = 0,3 μm. Biết rằng số Plăng h= 6,625.10-34 J.s và tốc độ truyền sáng trong chân không là c =3.108 m/s. Công thoát của electron khỏi bề mặt của đồng là
A. 8,28 eV
B. 2,07eV
C. 1,03eV
D. 4,14eV
Câu 32: Nguyên tử hidro đang ở trạng thái cơ bản có mức năng lượng bằng -13,6 eV. Để chuyển lên trạng thái dừng có mức năng lượng -3,4eV thì nguyên tử hidro phải hấp thụ một photon có năng lượng là
A. 17 eV
B. 10,2eV
C. 4eV
D. -10,2eV
Câu 33: Khi electron trong nguyên tử chuyển từ quỹ đạo M về L thì phát ra bức xạ có bước sóng là 0,656 μm ; từ L về K thì phát ra bức xạ có bước sóng là 0,122μm. Khi electron chuyển từ quỹ đạo M về K thì phát ra bức xạ có bước sóng là
A. 0,0528 μm
B. 0,1029 μm
C. 0,1112 μm
D. 0,1211 μm
Câu 34: Phản ứng nhiệt hạch xảy ra ở
A. Nhiệt độ bình thường
B. Nhiệt độ thấp
C. Nhiệt độ rất cao
D. Áp suất rất cao
Câu 35: Gọi k là hệ số nhân nơtron, thì điều kiện cần và đủ để phản ứng dây chuyền có thể xảy ra trong các lò phản ứng hạt nhân là
A. k >1
B. k= 1
C. k <1
D. k ≥1
Câu 36: Cho biết NA = 6,02 . 1023 mol. Số nơtron trong 59,5g urani
\(_{92}^{238}U\)
A. 2,2.1025
B. 1,1.1025
C. 2,1.1024
D. 4,2.1023
Câu 37: Hạt a có khối lượng 4,0015 u. Biết số A-vô-ga-dro NA = 6,02.1023 ; 1u=931 MeV/c2, khối lượng của proton là 1,0073 u và khối lượng nơtron là 1,0087u. Các nuclôn kết hợp với nhau tạo thành hạt a, năng lượng tỏa ra khi tạo thành 1 mol khí heli là
A. 2,7.1012J
B. 3,5.1012J
C. 2,7.1010J
D. 3,5.1010J
Câu 38: Triti phóng xạ với chu kì bán ra là 12,3 năm. Sau khoảng bao lâu thì khối lượng triti chỉ còn bằng 10% giá trị ban đầu
A. 40,8 năm
B. 1,23 năm
C. 81,6 năm
D. 123 năm
Câu 39: Một nhà máy điện hạt nhân có công suất P= 1000 MW dùng urani đã làm giàu 25%. Biết rằng, mỗi phân hạch tỏa ra năng lượng trung bình là Wo = 200 MeV. Hiệu suất biến đổi nhiệt năng thành điện năng là 30%. Khối lượng urani cần dùng mỗi năm là
A. 650 kg
B. 321kg
C. 560kg
D. 582kg
Câu 40: Một đồng hồ quả lắc có chu kì T = 2s ở Hà Nội. g1 = 9,7926 m/s2 khi nhiệt độ t1 = 10oC. Chuyển đồng hồ đó vào thành phố Hồ Chí Minh có g2 = 0,7867 m/s2 với nhiệt độ t2 = 33oC. Hệ số nở dài của thanh treo con lắc là a = 2.10-5K-1. Mỗi tuần đồng hồ đó chạy nhanh chậm bao nhiêu
A. Nhanh 6 phút 32 giây
B. Nhanh 5 phút 21 giây
C. Chậm 6 phút 32 giây
D. Chậm 5 phút 21 giây
2. Đáp án câu hỏi trắc nghiệm ôn thi Đại học môn Vật Lí
| Câu | 1 | 2 | 3 | 4 | 5 | 6 | 7 | 8 | 9 | 10 |
| Đáp án | B | C | B | C | A | C | A | A | D | B |
| Câu | 11 | 12 | 13 | 14 | 15 | 16 | 17 | 18 | 19 | 20 |
| Đáp án | A | C | C | C | C | D | A | D | A | C |
| Câu | 21 | 22 | 23 | 24 | 25 | 26 | 27 | 28 | 29 | 30 |
| Đáp án | D | C | A | C | A | B | D | B | C | D |
| Câu | 31 | 32 | 33 | 34 | 35 | 36 | 37 | 38 | 39 | 40 |
| Đáp án | D | B | B | C | B | A | A | A | B | D |
3. Hướng dẫn giải câu hỏi trắc nghiệm ôn thi Đại học môn Vật Lí
Câu 3:

Câu 5:

Câu 11:

Câu 12:
λ= 2l/4 = 0,5m; v=λf = 5m/s
Câu 15:

Câu 16:
Zcosφ=ZL cosφl => Ucosφ=UL cos φl => UL = 80V
Câu 17:
Bảo toàn năng lượng: 6.103 I = 550.103 + 5I2 => I = 100A
=> P= 600kW
Câu 22:
Ở thời điểm này cường độ dòng điện qua cuộn dây và hiệu điện thế giữa hai bản tụ điện có giá trị khác 0 nên năng lượng của mạch dao động tập trung ở cuộn dây và tụ điện
Câu 27:
Vân sáng bậc 3 cách vân trung tâm một khoảng 3i =4,5mm
Câu 28:
Vì góc tối và góc chiết quang nhỏ nên góc lệch được tính bằng công thức
dđ = (nd -1) A; dt = (nt-1)A
Góc lệch giữa tia đỏ và tia tím a = dt - dd = (nt - nd) A = 0,0043 rad
Câu 32:
E2 - E1 = 10,2eV
Câu 36:
NN = m/M .6,02 .1023 .146 = 2,2.1025 hạt
Câu 37:
W = Δm.c2 => E = NA.W = 2,7.1012J
Câu 39:

Câu 40:

Mời các bạn tham khảo thêm các bài viết dưới đây của chúng tôi:
- Phương pháp làm bài thi trắc nghiệm môn Vật lí
- Ôn thi Đại học môn Vật Lí có đáp án - Đề số 1
- Ôn thi Đại học môn Vật Lí có đáp án - Đề số 2
- Ôn thi Đại học môn Vật Lí có đáp án - Đề số 3
- Ôn thi Đại học môn Vật Lí có đáp án - Đề số 4
Trên đây VnDoc đã giới thiệu tới các bạn Ôn thi Đại học môn Vật Lí có đáp án - Đề số 5. Để có kết quả cao hơn trong học tập, VnDoc xin giới thiệu tới các bạn học sinh tài liệu Soạn bài lớp 12, Giải bài tập Toán lớp 12, Giải bài tập Hóa học lớp 12, Giải bài tập Vật Lí 12, Tài liệu học tập lớp 12 mà VnDoc tổng hợp và đăng tải.