Ôn thi Đại học môn Vật Lí có đáp án - Đề số 4
VnDoc xin giới thiệu tới bạn đọc Ôn thi Đại học môn Vật Lí có đáp án - Đề số 4. Nội dung tài liệu sẽ giúp các bạn làm bài thi trắc nghiệm Vật lý 12 hiệu quả hơn. Mời các bạn tham khảo.
Câu hỏi trắc nghiệm ôn thi Đại học môn Vật Lí đề 4
1. Câu hỏi ôn thi Đại học môn Vật Lí
Câu 1: Pha ban đầu của dao động điều hòa phụ thuộc vào
A. Tần số và năng lượng dao động
B. Gốc thời gian và trục tọa độ
C. Gốc thời gian và chu kì dao động
D. Biên độ và chu kì dao động
Câu 2: Biên độ dao động cưỡng bức không thay đổi khi thay đổi
A. Lực ma sát của môi trường
B. Pha ban đầu của lực cưỡng bức
C. Biên độ của lực cưỡng bức
D. Tần số của lực cưỡng bức
Câu 3: Li độ x = Acos(ωt+φ) của một dao động điều hòa bằng 0,5A khi dao động bằng
A. 0
B. ±π/6
C. ±π/3
D. ±π/2
Câu 4: Tốc độ truyền âm trong môi trường nào sau đây là lớn nhất
A. Không khí loãng
B. Không khí
C. Nước nguyên chất
D. Chất rắn
Câu 5: Khi có sóng dừng trên một sợi dây đàn hồi khoảng cách từ một bụng đến nút gần nó nhất bằng
A. Một bước sóng
B. Nửa bước sóng
C. Một phần tư bước sóng
D. Một số nguyên lần nửa bước sóng
Câu 6: Cho A,B là hai nguồn sóng cơ kết hợp, dao động ngược pha nhau. Một điểm cách hai nguồn các khoảng d1và d2 sẽ dao động với biên độ cực đại nếu điều kiện nào nêu dưới đây thỏa mãn
A. d2 – d1 =kλ
B. d2 – d1 =(2k+1) λ/2
C. d2 – d1 =kλ/2
D. d2 – d1 =(2k+1)λ/4
Câu 7: Cho đoạn mạch xoay chiều R,L,C mắc nối tiếp. Gọi U là điện áp hiệu dụng giữa hai đầu đoạn mạch: UR, UL, UC là điện áp hiệu dụng giữa hai đầu R, L và C. Điều nào sau đây không thể xảy ra
A. UR >U
B. UL>U
C. UR>UC
D. U=UR=UL=UC
Câu 8: Đặt vào hai đầu đoạn mạch RLC nối tiếp một điện áp xoay chiều có giá trị hiệu dụng U, tần số f. Biết đoạn mạch đang có cảm kháng lớn hơn dung kháng. Không thể xảy ra hiện tượng cộng hưởng điện khi ta thay đổi
A. Độ tự cảm L của cuộn dây
B. Điện trở R
C. Tần số f
D. Điện dung C của tụ điện
Câu 9: Một đoạn mạch gồm một tụ điện mắc nối tiếp với điện trở thuần. Nếu đặt điện áp u=U√2cosωt vào hai đầu đoạn mạch thì điện áp hiệu dụng giữa hai đầu tụ điện là U/2. Khi đó hệ số công suât của mạch là
A. 1/√2
B. 1
C. √2/3
D. √3/2
Câu 10: Để tìm sóng có bước sóng λ trong máy thu vô tuyến điện, người ta phải điều chỉnh giá trị của điện dung C và độ tự cảm L trong mạch dao động của máy. Giữa λ và L C phải thỏa mãn hệ thức nào
A. 2π√LC=c/λ
B. 2π√LC=c.λ
C. 2π√LC=λ/c
D. √LC/2π= λ/c
Câu 11: Phát biểu nào dưới đây không đúng? Trong mạch dao động LC lí tưởng, đại lượng biến thiên tuần hoàn với chu kì T =2π√LC là
A. Năng lượng từ trường trong cuộn cảm thuần
B. Điện tích q của một bản tụ điện
C. Cường độ dòng điện trong mạch
D. Hiệu điện thế giữa hai đầu cuộn cảm thuần
Câu 12: Trong mạch dao động LC lí tưởng đang có dao động điện từ tự do, điện tích trên một bản tụ điện và cường độ dòng điện qua cuộn cảm biến thiên điều hòa theo thời gian
A. Với cùng tần số
B. Luôn ngược pha nhau
C. Luôn cùng pha nhau
D. Cùng với biên độ
Câu 13: Tìm phát biểu sai. Trong sơ đồ khối của một máy thu vô tuyến điện, bộ phân có trong máy phát sóng vô tuyến là
A. Anten
B. Mạch biến điệu
C. Mạch tách sóng
D. Mạch khuếch đại
Câu 14: Máy quang phổ lăng kính hoạt động dựa trên nguyên tắc của hiện tượng quang học nào sau đây
A. Phản xạ ánh sáng
B. Giao thoa ánh sáng
C. Tán sắc ánh sáng
D. Quang điện
Câu 15: Trong thí nghiệm Y-âng về giao thoa với ánh sáng đơn sắc, khoảng cách từ vân tối thứ 2 đến vân sáng bậc 5 bằng bao nhiêu lần khoảng vân i
A. 3i
B. 3,5i
C. 4i
D. 4,5i
Câu 16: Nếu gọi ∈1, ∈2, ∈3 lần lượt là năng lượng photôn ứng với các bức xạ đơn sắc lam, chàm, tím, thì ta có
A. ∈1 < ∈2 < ∈3
B. ∈1 > ∈2 > ∈3
C. ∈1 < ∈3 < ∈2
D. ∈2 > ∈1 > ∈3
Câu 17: Một chất phát quang có khả năng phát ra ánh sáng màu vàng lục khi được kích thích phát sáng. Khi chiếu vào chất đó ánh sáng đơn sắc nào dưới đây thi chất đó có thể phát quang
A. Lục
B. Vàng
C. Da cam
D. Đỏ
Câu 18: Một ống Rơn-ghen phát ra tia X có bước sóng nhỏ nhất = 5.10-10m. Năng lượng photon tương ứng và hiệu điện thế giữa anôt và catôt của ống vào khoảng
A. ∈ = 4.10-13J; U=25V
B. ∈ = 4.10-13J; U=2500V
C. ∈ = 4.10-16J; U = 2500V
D. ∈ = 4.10-18J; U =250V
Câu 19: Một hạt nhân có năng lượng liên kết càng lớn thì
A. Có độ hụt khối càng lớn
B. Năng lượng liên kết riêng càng lớn
C. Năng lượng liên kết riêng càng nhỏ
D. Có độ hụt khối càng nhỏ
Câu 20: So với hạt nhân
\(_{6}^{12}C\) hạt nhân
\(_{10}^{20}Ne\) có nhiều hơn.
A. 8 nơtron và 4 proton
B. 4 nơtron và 4 proton
C. 4 nơtron và 8 proton
D. 8 nơtron và 8 proton
Câu 21: Chất phóng xạ X có chu kì bán rã là T. Sau bao lâu thì tỉ lệ phần trăm số hạt nhân X bị phân rã là 87,5%
A. T/2
B. T/4
C. 2T
D. 3T
Câu 22: Tìm phát biểu sai. Phản ứng dây chuyền
A. Là phản ứng phân hạch liên tiếp xảy ra
B. Luôn kiểm soát được
C. Được ứng dụng vào các nhà máy điện hạt nhân
D. Xảy ra khi nơtron trung bình nhận được sau mỗi phân hạch bằng 1
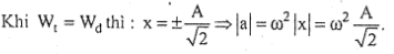
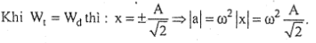
Câu 23: Một con lắc lò xo gồm quả nặng khối lượng m, gắn với lò xo nhẹ có độ cứng k, dao động điều hòa theo phương nằm ngang với biên độ A và tần số góc w. Tại thời điểm mà thế năng đàn hồi của lò xo bằng động năng của quả nặng thì gia tốc của quả nặng có độ lớn là
A. Aw2/2
B. √2Aw2/3
C. Aw2 /√2
D. 2Aw2/√3
Câu 24: Thí nghiệm nào sau đây có thể dùng để đo bước sóng ánh sáng
A. Thí nghiệm tán sắc của ánh sáng Niu - tơn
B. Thí nghiệm tổng hợp ánh sáng trắng
C. Thí nghiệm giao thoa ánh sáng với khe Y-âng
D. Thí nghiệm khúc xạ ánh sáng của đơn sắc
Câu 25: Hai khe Y-âng cách nhau 3 mm được chiếu bằng ánh sáng đơn sắc có bước sóng 0,6μm. Các vân giao thoa được hứng trên màn cách hai khe 2m. Tại điểm M cách vân trung tâm 1,2mm có
A. Vân sáng bậc 2
B. Vân sáng bậc 3
C. Vân tối thứ 2
D. Vân tối thứ 3
Câu 26: Một con lắc lò xo treo thẳng đứng dao động điều hòa với chu kì 0,4s. Khi vật ở vị trí cân bằng, lò xo dài 44cm. Lấy g=10m/s2. Chiều dài tự nhiên của lò xo là
A. 36cm
B. 38cm
C. 42cm
D. 40cm
Câu 27: Biết dao động của một vật là tổng hợp của hai dao động điều hòa cùng phương có phương trình lần lượt là x1= 8sin(πt+a) (cm) và x2=4cos πt. Biên độ dao động của vật bằng 12 cm nếu
A. a= 0(rad)
B. a= π/2
C. a= π
D. a= -π/2
Câu 28: Một chất điểm dao động điều hòa dọc theo trục Ox với tần số f và biên độ A. Lúc t=0 chất điểm từ vị trí cân bằng O, sau khi đi được đoạn đường s thì động năng của chất điểm có trị số là 9,6J. Khi đi thêm 2s nữa, động năng còn lại 6,4J. Nếu đi tiếp thêm đoạn đường 3s nữa thì động năng của chất điểm là
A. 3,6J
B. 6,4J
C. 4,8J
D. 2,4J
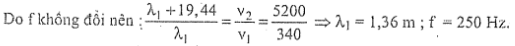
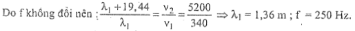
Câu 29: Sóng âm có tần số f truyền từ không khí vào một thanh thép thì bước sóng tăng thêm 19,44m. Cho tốc độ truyền âm trong không khí và trong thép lần lượt là 340m/s và 5200m/s. Tần số của sóng âm là
A. 250Hz
B. 230Hz
C. 350Hz
D. 50Hz
Câu 30: Một sóng dọc truyền theo trục Ox có tần số 15Hz, biên độ 4cm. Tốc độ truyền sóng là 12m/s. Xét hai phần tử B và C trên Ox có vị trí cân bằng cách nhau 40cm. Khoảng cách ngắn nhất giữa hai phần tử B và C khi có sóng truyền qua là
A. 32cm
B. 48cm
C. 40cm
D. 36cm
Câu 31: Cho đoạn mạch R,L,C mắc nối tiếp biết điện trở thuần R=25Ω. Đặt vào giữa hai đầu đoạn mạch mội điện áp xoay chiều ổn định, thì thấy uRL = 150cos (100πt +π/3) (V) và URC = 50√6 cos(100πt -π/12) (V). Cường độ dòng điện hiệu dụng qua đoạn mạch là
A. 3A
B. 3√2 A
C. 3√2/2 A
D. 3,3A
Câu 32: Một máy tăng áp có tổng số vòng dây ở hai cuộn thứ cấp và sơ cấp là 2000 vòng. Biết hệ số của máy biến áp là 4, số vòng dây cuộn sơ cấp là
A. 400 vòng
B. 1600 vòng
C. 500 vòng
D. 1500 vòng
Câu 33: Trong mạch R1, L1, C1 mắc nối tiếp xảy ra hiện tượng cộng hưởng điến với tần số góc wo. Trong mạch có R2, L2, C2 mắc nối tiếp xảy ra hiện tượng cộng hưởng điện với tần số góc 2wo. Hệ số tự cảm L1 =2L2. Nếu mắc nối tiếp hai đoạn mạch này với nhau thì trong mạch xảy ra cộng hưởng điện với tần số góc là
A. wo√2
B. wo√3
C. wo/(√2)
D. (wo√3)/2
Câu 34: Trong đoạn mạch RLC nối tiếp, cuộn dây thuần cảm có độ tự cảm L thay đổi được. Ứng với hai giá trị khác nhau của L là L1 = 3mH và L2 = 6mH thì điện áp hiệu dụng trên cuộn cảm có giá trị như nhau. Giá trị của L để điện áp hiệu dụng trên cuộn cảm đạt cực đại là
A. 2mH
B. 9mH
C. 4mH
D. 3√2 mH
Câu 35: Đặt điện áp u=U√2 cos(wt) (V) vào hai đầu một đoạn mạch điện gồm cuộn cảm thuần mắc nối tiếp với một biến trở. Ứng với hai giá trị của biến trở là R1 =10Ω và R2 = 40Ω thì công suất tiêu thụ trong mạch đều bằng 200W. Giá trị của U là
A. 100V
B. 200V
C. 50√2 V
D. 50V
Câu 36: Trong thí nghiệm giao thoa ánh sáng với khe Y–âng khoảng cách giữa hai khe là a=2mm, khoảng cách giữa hai khe và màn là D=1m. Khi dùng bức xạ có bước sóng λ1 thì khoảng vân là i1 = 0,2mm. Khi dùng bức xạ λ2 >λ1 thì tại vị trí vân sáng bậc ba của bức xạ λ1ta quan sát được một vân sáng bậc k của λ2. Bước sóng λ2 bằng
A. 0,5 μm
B. 0,7 μm
C. 0,6 μm
D. 0,75 μm
Câu 37: Theo mẫu nguyên tử Bo, khi nguyên tử hidro chuyển từ trạng thái dừng có năng lượng E3 = -1,5eV sang trạng thái dừng có năng lượng E2 = -3,4eV thì phát ra photon ứng với bức xạ có bước sóng là
A. 0,654.10-7m
B. 0,654.10-6m
C. 0,654.10-5m
D. 0,654.10-4m
Câu 38: Dùng hạt proton có động năng W = 5,68MeV bắn vào hạt nhân Na đứng yên, ta thu được hạt a và hạt X có động năng tương ứng là 6,15MeV và 1,91 MeV. Coi rằng phản ứng không kèm theo bức xạ gamma, lấy khối lượng hạt nhân tính theo u gần bằng số khối của nó. Góc giữa vectơ vận tốc của hạt a và hạt X xấp xỉ bằng
A. 159o
B. 137o
C. 98o
D. 70o
Câu 39: Trong các nguồn bức xạ đang hoạt động sau đây, nguồn nào phát ra bức xạ từ ngoại mạnh nhất
A. Hồ quang điện
B. Lò sưởi điện
C. Lò vi sóng
D. Màn hình vô tuyến
Câu 40: Một vệ tinh địa tĩnh ở độ cao 36600km so với đài truyền hình trên mặt đất nằm trên đường thẳng nối vệ tinh và tâm Trái Đất. Coi Trái Đất là một hình cầu có bán kính R = 6370km. Vệ tinh nhận sóng truyền hình từ đài phát rồi phát lại tức thời tín hiệu đó về Trái Đất. Biết sóng truyền hình có bước sóng không đổi khi lan truyền λ =0,5m; tốc độ truyền sóng c= 3.108m/s. Khoảng thời gian lớn nhất mà sóng truyền hình từ đài phát đến Trái Đất là
A. 0,26s
B. 0,78s
C. 0,13s
D. 0,54s
2. Đáp án câu hỏi trắc nghiệm ôn thi Đại học môn Vật Lí
| Câu | 1 | 2 | 3 | 4 | 5 | 6 | 7 | 8 | 9 | 10 |
| Đáp án | B | B | C | D | C | B | A | B | D | C |
| Câu | 11 | 12 | 13 | 14 | 15 | 16 | 17 | 18 | 19 | 20 |
| Đáp án | A | A | C | C | B | A | A | C | A | B |
| Câu | 21 | 22 | 23 | 24 | 25 | 26 | 27 | 28 | 29 | 30 |
| Đáp án | D | B | C | C | B | D | B | A | A | A |
| Câu | 31 | 32 | 33 | 34 | 35 | 36 | 37 | 38 | 39 | 40 |
| Đáp án | A | A | A | C | A | C | B | A | A | A |
3. Hướng dẫn giải câu hỏi trắc nghiệm ôn thi Đại học môn Vật Lí
Câu 23:
![]()
Câu 26:

Câu 29:
![]()
Câu 30:

Câu 34:

Câu 37:

Câu 40:

Mời các bạn tham khảo thêm các bài viết dưới đây của chúng tôi:
- Phương pháp làm bài thi trắc nghiệm môn Vật lí
- Ôn thi Đại học môn Vật Lí có đáp án - Đề số 1
- Ôn thi Đại học môn Vật Lí có đáp án - Đề số 2
- Ôn thi Đại học môn Vật Lí có đáp án - Đề số 3
- Đề thi học kì 2 lớp 12 môn Vật lý năm 2018 - 2019 Sở GD&ĐT Đồng Tháp
- Đề thi học kì 2 lớp 12 môn Vật lý năm 2018 - 2019 trường THPT Lý Thái Tổ - Bắc Ninh
- Đề thi học kì 2 lớp 12 môn Vật lý năm 2018 - 2019 trường THPT Yên Lạc 2 - Vĩnh Phúc
Trên đây VnDoc đã giới thiệu tới các bạn Ôn thi Đại học môn Vật Lí có đáp án - Đề số 4. Để có kết quả cao hơn trong học tập, VnDoc xin giới thiệu tới các bạn học sinh tài liệu Soạn bài lớp 12, Giải bài tập Toán lớp 12, Giải bài tập Hóa học lớp 12, Giải bài tập Vật Lí 12, Tài liệu học tập lớp 12 mà VnDoc tổng hợp và đăng tải.