Ôn thi Đại học môn Vật Lí có đáp án - Đề số 3
VnDoc xin giới thiệu tới bạn đọc Ôn thi Đại học môn Vật Lí có đáp án - Đề số 3. Nội dung tài liệu sẽ giúp các bạn làm bài thi trắc nghiệm Vật lý 12 hiệu quả hơn. Mời các bạn tham khảo.
Câu hỏi trắc nghiệm ôn thi Đại học môn Vật Lí đề 3
1. Câu hỏi ôn thi Đại học môn Vật Lí
Câu 1: Phát biểu nào sau đây là đúng cho cả dao động duy trì của quả lắc đồng hồ và dao động cưỡng bức?
A. Tần số của dao động luôn bằng tần số riêng của hệ
B. Biên độ của dao động phụ thuộc vào tần số của ngoại lực
C. Có nguồn năng lượng để bù đắp lại sự hao hụt cơ năng do lực cản của môi trường
D. Tần số của dao động không phụ thuộc vào tần số riêng của hệ
Câu 2: Trong dao động điều hòa của con lắc đơn. Lực kéo về có độ lớn
A. Không phụ thuộc vào gia tốc trọng trường nơi con lắc dao động
B. Bằng độ lớn của hợp lực tác dụng lên vật
C. Không phụ thuộc vào chiều dài của con lắc
D. Bằng độ lớn thành phần tiếp tuyến với quỹ đạo của trọng lực tác dụng lên vật
Câu 3: Một chất điểm dao động điều hòa với biên độ A, tần số góc. Tốc độ trung bình của chất điểm trong một chu kì là
A. 2A ω/π
B. 4A ω/π
C. A ω/2π
D. A ω/4π
Câu 4: Một song có tần số 500Hz và tốc độ lan truyền 350m/s. Hai điểm gần nhau nhất trên phương truyền song có độ lệch pha π/3 (rad), cách nhau một khoảng là
A. 11,6cm
B. 47,6cm
C. 23,3cm
D. 4,285cm
Câu 5: Sự lan truyền của sóng cơ chứng tỏ?
A. Sự truyền năng lượng gắn liền với sự lan truyền của vật chất
B. Tốc độ truyền của các loại sóng đều có giá trị lớn nhất trong chân không
C. Chu kì và cường độ sóng không đổi trong quá trình truyền sóng
D. Trong môi trường đồng nhất, pha của sóng truyền đi với tốc độ không đổi
Câu 6: Bước sóng là?
A. Quãng đường mà mỗi phần tử của môi trường đi được trong 1s
B. Khoảng cách giữa hai phần tử của sóng dao động ngược pha
C. Khoảng cách gần nhất giữa hai phần tử sóng trên phương truyền sóng dao động cùng pha
D. Khoảng cách giữa hai vị trí xa nhau của mỗi phần tử của sóng
Câu 7: Điện áp giữa hai đầu đoạn mạch u=150cos100πt (V). Tần số của dòng điện bằng?
A. 100 π(Hz)
B. 150Hz
C. 50Hz
D. 50 πHz
Câu 8: Một đoạn mạch điện gồm điện trở thuần R mắc nối tiếp với cuộn cảm thuần. Đặt vào hai đầu của đoạn mạch một điện áp xoay chiều u=√2cos2πt (V). So với điện áp u thì cường độ dòng điện trong mạch?
A. Sớm pha hơn
B. Cùng pha
C. Trễ pha hơn
D. Lệch pha π/2
Câu 9: Đặt điện áp u= Uocosωt vào hai đầu đoạn mạch nối tiếp gồm điện trở thuần R, cuộn cảm thuần có độ tự cảm L và tụ điện có điện dung C. Cảm kháng của đoạn mạch là R√3 dung kháng của mạch là 2R√3. So với điện áp giữa hai đầu đoạn mạch thì cường độ dòng điện trong mạch?
A. Sớm pha π/6
B. Sớm pha π/3
C. Trễ pha π/6
D. Trễ pha π/3
Câu 10: Trong sơ đồ của một máy phát sóng vô tuyến điện, không có mạch?
A. Tách sóng
B. Khuếch đại
C. Phát dao động cao tần
D. Biên điệu
Câu 11: Khi cường độ dòng điện trong một mạch dao động LC lí tưởng có giá trị bằng giá trị hiệu dụng thì
A. Năng lượng điện trường trong mạch có giá trị bằng năng lượng từ trường
B. Năng lượng điện trường trong mạch đạt giá trị cực đại
C. Năng lượng điện trường trong mạch đạt giá trị cực tiểu
D. Năng lượng từ trường trong mạch đạt giá trị cực đại
Câu 12: Một mạch dao động LC lí tưởng có L=1mH. Cường độ dòng điện cực đại trong mạch là 1mA, hiệu điện thế cực đại giữa hai bản tụ là 10V. Điện dung C của tụ điên có giá trị là?
A. 10pF
B. 10μF
C. 0,1μF
D. 0,1pF
Câu 13: Nguyên nhân gây ra dao động tắt dần của con lắc đơn dao động trong không khí là?
A. Do trọng lượng tác dụng lên vật
B. Do lực căng của dây treo
C. Do lực cản môi trường
D. Do dây treo có khối lượng đáng kể
Câu 14: Sử dụng hiện tượng giao thoa ánh sáng người ta?
A. Chỉ đo được tần số ánh sáng
B. Chỉ đo được bước sóng
C. Chỉ đo được chiết suất của một chất
D. Có thể đo được cả tần số và bước sóng của ánh sáng hoặc chiết suất của một chất
Câu 15: Thực hiện thí nghiệm giao thoa ánh sáng Y-âng với ánh sáng đơn sắc. Trên màn quan sát, người ta đo được khoảng cách từ vân tối thứ 2 đến vân sáng bậc 5 ở cùng phía so với vân trung tâm là 7mm. Khoảng vân là?
A. 2mm
B. 3,5mm
C. 4mm
D. 7mm
Câu 16: Các photon trong một chùm sang đơn sắc?
A. Có năng lượng bằng nhau và bước sóng bằng nhau
B. Có năng lượng khác nhau và tần số khác nhau
C. Có năng lượng bằng nhau và tần số khác nhau
D. Có năng lượng khác nhau và bước sóng bằng nhau
Câu 17: Trong hiện tượng quang - phát quang, sự hấp thụ hoàn toàn một photon dẫn đến?
A. Sự giải phóng một electron tự do
B. Sự phát ra một photon khác
C. Sự giải phóng một electron liên kết
D. Sự giải phóng một cặp electron và lỗ trống
Câu 18: Chiếu chùm sáng đơn sắc có bước sóng 0,489μm lên kim loại kali. Cứ mỗi giây bề mặt kim loại nhận được năng lượng 1,25J từ nguồn chiếu tới. Số photon mà bề mặt kim loại nhận được trong một giây là?
A. 3.1020
B. 3.1018
C. 6.1018
D. 6.1020
Câu 19: Số phân rã trong một giây của một mẫu phóng xạ không bao giờ?
A. Tỉ lệ thuận với khối lượng chất phóng xạ trong đó
B. Giảm theo thời gian phân rã
C. Tỉ lệ nghịch với số hạt nhân chất phóng xạ chứa trong đó
D. Tỉ lệ thuận với khối lượng của mẫu
Câu 20: Trong phân rã anpha, không thể xảy ra khả năng
A. Hạt nhân con bền vững hơn hạt nhân mẹ
B. Số nơtron hạt nhân con bằng số khối của hạt nhân mẹ
C. Thành phần cấu tạo của hạt nhân con khác hạt nhân mẹ
D. Năng lượng liên kết riêng của hạt nhân con lớn hơn năng lượng liên kết riêng của hạt nhân mẹ
Câu 21: Trong tự nhiên có tồn tại một hạt nhân duy nhất không thể bị phá vỡ trong tất cả các phản ứng hạt nhân, đó là hạt nhân của nguyên tử?
A. Heli
B. Hidro
C. Cacbon
D. Oxi
Câu 22: Bán kính hạt nhân nhôm lớn hơn bán kính của hạt nhân hidro khoảng bao nhiêu lần?
A. 2
B. 3
C. 1,73
D. 3,53
Câu 23: Trong thí nghiệm Y-âng về giao thoa với ánh sáng đơn sắc, biết khoảng cách giữa hai khe là 0,8mm, khoảng cách từ hai khe đến màn là 2m. Khoảng cách giữa hai vân sáng liên tiếp là 1,25mm. Màu của ánh sáng đơn sắc trong thí nghiệm là?
A. Tím
B. Lục
C. Vàng
D. Đỏ
Câu 24: Một rada phát một xung sóng điện từ về phía chiếc máy bay đang bay thẳng, đều về phía rada và thu được sóng phản xạ trở lại sau khoảng thời gian t=2.10-4s tính từ lúc phát. Biết tốc độ truyền sóng c=3.108m/s. Khoảng cách từ máy bay đến rada vào thời điểm sóng điện từ phản xạ từ máy bay là?
A. 20km
B. 30km
C. 10km
D. 60km
Câu 25: Vật dao động điều hoà với biên độ A=5cm, tần số f=2Hz, chọn gốc thời gian là lúc vật có li độ cực đại. Vật đi qua vị trí cân bằng theo chiều dương vào những thời điểm?
A. T= 1/4 + 1/2k
B. T= 1/2k
C. T= 1/2 + 1/6k
D. T= 1/4 + 1/3k
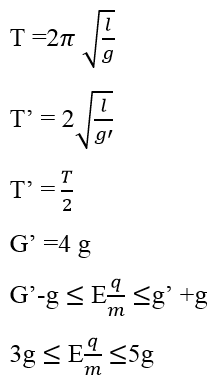
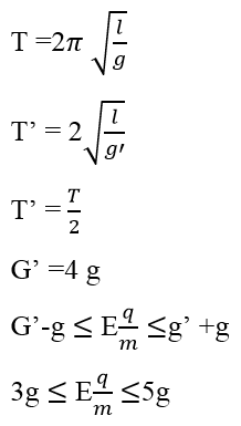
Câu 26: Một con lắc đơn gồm vật nhỏ có khối lượng m, độ dài dây treo l, chu kì dao động nhỏ là T tại nơi có gia tốc trọng trường g. Tích điện cho con lắc tới điện tích q và đặt vào một điện trường đều có cường độ E thì thấy chu kì dao động nhỏ của nó là T/2. Hệ thức sai?
A. Eq= 3,6mg
B. Eq= 15mg
C. Eq= 4,5mg
D. Ep= 6mg
Câu 27: Một chất điểm chuyển động tròn trên đường tròn tâm O với tốc độ dài là 30cm/s, có gia tốc hướng tâm là 1,5m/s2 thì hình chiếu M của nó trên đường kính của quỹ đạo dao động điều hoà với biên độ bằng?
A. 4,5cm
B. 3,5cm
C. 6cm
D. 5cm
Câu 28: Một vật dao động điều hoà có phương trình x=Acos(5πt+φ). Tại thời điểm t vật đang đi về phía vị trí cân bằng và tỉ số giữa thế năng và động năng của vật bằng 3. Sau đó 1/60s thì tỉ số bằng?
A. 1
B. 1/3
C. 1/2
D. 2
Câu 29: Tại thời điểm A và B trên mặt nước có hai nguồn dao động kết hợp giống nhau. Sóng trên mặt nước có bước sóng λ, khoảng cách AB=16,5λ. M và N là hai điểm trên đoạn AB, đối xứng với nhau qua trung điểm O của AB, khoảng cách MN=13λ. Số điểm trên đoạn MN dao động với biên độ cực đại và cùng pha với dao động của phần tử sóng tại O là?
A. 12
B. 13
C. 14
D. 15
Câu 30: Trên bề mặt chất lỏng có hai nguồn phát sóng kết hợp S1, S2 cách nhau 40cm dao động cùng pha. Biết sóng do mỗi nguồn phát ra có tần số f=10Hz, tốc độ truyền sóng v=2m/s. Gọi M là điểm nằm trên đường thẳng vuông góc vói S1S2 tại S1 ở đó dao động với biên độ cực đại. Giá trị lớn nhất của đoạn S1M là
A. 20cm
B. 30cm
C. 40cm
D. 60cm
Câu 31: Một máy biến áp có số vòng cuộn sơ cấp và thứ cấp N1=1000 vòng, N2=2000 vòng. Điện áp hiệu dụng của cuộn sơ cấp U1=110V và cuộn thứ cấp khi để hở là U2216V. Tỉ số giữa điện trở thuần và cảm kháng của cuộn sơ cấp là
A. 0,19
B. 10,8
C. 20,86
D. 19
Câu 32: Cho mạch R, L, C mắc nối tiếp, với R=100Ω, C=100/π(μF) và L=2/π(H). Tổng trở của mạch là?
A. 100 Ω
B. 200 Ω
C. 150 Ω
D. 100√2 Ω
Câu 33: Cho đoạn mạch điện xoay chiều RLC nối tiếp. Điện áp giữa hai đầu đoạn mạch có biểu thức u=150√2π Biết R=100 Ω, L=0,318H, C=15,7μF. Công suất tiêu thụ của mạch là?
A. 112,5W
B. 200W
C. 150W
D. 100√2W
Câu 34: Một đoạn mạch A1B1 có R1, L1, C1 mắc nối tiếp cộng hưởng điện với tần số f1=30Hz. Một đoạn mạch khác A2B2 có R2, L2, C2 mắc nối tiếp cộng hưởng điện với tần số f2=40Hz. Biết C1=C2. Nêu mắc nối tiếp hai đoạn mạch đó với nhau thì đoạn mạch mới sẽ cộng hưởng với tần số
A. 50Hz
B. 70Hz
C. 35√2Hz
D. 24√2Hz
Câu 35: Một đoạn mạch điện mắc nối tiếp gồm điện trở thuần R=75Ω tụ điện có điện dung C=10-4/π và có cuộn cảm thuần có độ tự cảm thay đổi được. Đặt vào hai đầu đoạn mạch điện áp u=120√2 cos100πt Điều chỉnh L sao cho điện áp hiệu dụng giữa hai đầu cuộn cảm đạt cực đại, giá trị cực đại đó bằng?
A. 200V
B. 150V
C. 120V
D. 220V
Câu 36: Một thấu kính hội tụ có bề mặt lồi có bán kính giống nhau bằng 10cm. Chiết suất của chất làm thấu kính đối với ánh sáng đỏ và áng sáng tím ở cùng phía đối với thấu kính nà nd1 =5; nt=1,54. Khoảng cách giữa tiêu điểm đối với tia đỏ và tiêu điểm đối với tia tím ở cùng phía đối với thấu kính là?
A. 1,48cm
B. 0,74cm
C. 10cm
D. 9,26cm
Câu 37: Chiếu một chùm sáng trắng song song, hẹp vào mặt bên của một lăng kính thuỷ tinh có góc chiết quang là 5,73o theo phương vuông góc với mặt phẳng phân giác P của góc chiết quang. Sau lăng kính đặt một màn hứng ánh song song với mặt phẳng P và cách P một khoảng 1,5m. Cho biết chiết suất của lăng kính đối với tia đỏ là 1,5 và đối với tia tím là 1,54. Độ rộng quang phổ từ đỏ đến tím là?
A. 8mm
B. 6mm
C. 5mm
D. 4mm
Câu 38: Dùng ánh sáng từ một đèn hơi thuỷ ngân chiếu vào kim loại natri có công thoát 2,48eV. Cho biết bước sóng của các bức xạ do đèn hơi thuỷ ngân phát ra có các giá trị λ1=491,6nm ; λ2=405nm. Vận tốc ban đầu cực đại của các quang electron khi thoát ra khỏi kim loại là
A. 0,491.106m/s
B. 0,77.106m/s
C. 0,54.106m/s
D. 0,405.106m/s
Câu 39: Một phòng thí nghiệm ban đầu mua về một mẫu phóng xạ nguyên chất có khối lượng mo Chu kì bán rã của mẫu chất đó là 3465 giây. Kể từ lúc mua, thời gian để 75% chất đó biến thành chất khác là
A. 6930s
B. 3465s
C. 2598s
D. 866s
Câu 40: Một con lắc điện đang đứng yên trong điện trường đều. Biết dây treo lệch góc a=5o so với phương thẳng đúng. Nếu ta đột ngột đổi chiều điện trường mà không thay đổi độ lớn của cường độ điện trường thì trong chuyển động sau đó, dây treo con lắc lệch góc cực đại so với phương thẳng đứng là
A. 5o
B. 10o
C. 15o
D. 20o
2. Đáp án câu hỏi trắc nghiệm ôn thi Đại học môn Vật Lí
| Câu | 1 | 2 | 3 | 4 | 5 | 6 | 7 | 8 | 9 | 10 |
| Đáp án | C | D | A | A | D | C | C | C | B | A |
| Câu | 11 | 12 | 13 | 14 | 15 | 16 | 17 | 18 | 19 | 20 |
| Đáp án | A | A | C | D | A | A | B | B | C | B |
| Câu | 21 | 22 | 23 | 24 | 25 | 26 | 27 | 28 | 29 | 30 |
| Đáp án | B | B | B | D | A | D | C | A | A | B |
| Câu | 31 | 32 | 33 | 34 | 35 | 36 | 37 | 38 | 39 | 40 |
| Đáp án | A | D | A | D | A | A | B | C | A | C |
3. Hướng dẫn giải câu hỏi trắc nghiệm ôn thi Đại học môn Vật Lí
Câu 25:
Phương trình dao động x =5 cos 4πt
Theo bài ra x =0, v>0
Có cos 4πt =0
Sin4πt <0
4πt = π+2kπ
T= 1/4 + 1/2 k
Câu 26:

Câu 27:
V =wR =wA =vmax
Aht = w2R =amax
=>w =amax/vmax = 5 rad/s
A = vmax/w= 6cm
Câu 28:

Câu 29:
Số đoạn λ/2 ở 1/2 đoạn MN là n = MN/ λ = 13
Số cực đại trên đoạn MN là: n = 13.2 + 1 = 27 trong đó M, N cực đại
Vì n lẻ số cực đại ngược pha ít hơn
=> Có 13 điểm dao động có pha giống O
=> Số điểm dao động cùng pha với O là 12 điểm
Câu 30:

Câu 34:

Câu 36:
fd = R/2(nđ-1)
ft = R/2(nt-1)
F= fd – fr = 1,48cm
Câu 37:

D = A(n-1)
ΔD = 0,23o
L = OT – OD = OA.ΔD = 0,006m
Câu 39:
75% chất đó đã biến thành chất khác (tức là số hạt nhân chưa phân rã còn lại là 25% No
Nt/No = 2-2 => t= 2T = 6930s
Câu 40:
Khi đổi chiều điện trường, vị trí cân bằng mới đối xứng với vị trí cũ qua đường thẳng đứng, con lắc có biên độ góc là 2α nên góc lệch cần tìm là 3 α=15o
Mời các bạn tham khảo thêm các bài viết dưới đây của chúng tôi:
- Phương pháp làm bài thi trắc nghiệm môn Vật lí
- Ôn thi Đại học môn Vật Lí có đáp án - Đề số 1
- Ôn thi Đại học môn Vật Lí có đáp án - Đề số 2
- Đề thi học kì 2 lớp 12 môn Vật lý năm 2018 - 2019 Sở GD&ĐT Đồng Tháp
- Đề thi học kì 2 lớp 12 môn Vật lý năm 2018 - 2019 trường THPT Lý Thái Tổ - Bắc Ninh
- Đề thi học kì 2 lớp 12 môn Vật lý năm 2018 - 2019 trường THPT Yên Lạc 2 - Vĩnh Phúc
- Đề thi học kì 2 lớp 12 môn Vật lý ban KHTN năm 2018 - 2019 trường THPT Nguyễn Chí Thanh - TP. HCM
Trên đây VnDoc đã giới thiệu tới các bạn Ôn thi Đại học môn Vật Lí có đáp án - Đề số 3. Để có kết quả cao hơn trong học tập, VnDoc xin giới thiệu tới các bạn học sinh tài liệu Soạn bài lớp 12, Giải bài tập Toán lớp 12, Giải bài tập Hóa học lớp 12, Giải bài tập Vật Lí 12, Tài liệu học tập lớp 12 mà VnDoc tổng hợp và đăng tải.