Trắc nghiệm: Axit tác dụng với kim loại
Chuyên đề Hóa học lớp 9: Trắc nghiệm: Axit tác dụng với kim loại được VnDoc sưu tầm và giới thiệu tới các bạn học sinh cùng quý thầy cô tham khảo. Nội dung tài liệu sẽ giúp các bạn học sinh học tốt môn Hóa học lớp 9 hiệu quả hơn. Mời các bạn tham khảo.
Bài tập: Axit tác dụng với kim loại
Bài 1: Khi cho sắt tác dụng với H2SO4 đặc nóng thì ta thu được muối sắt (III) sunfat, khí SO2 và H2O. Phương trình phản ứng thể hiện quá trình trên là:
A. 2Fe + 4H2SO4 (đặc) → Fe2(SO4)3+ SO2 + H2O
B. 2Fe + 6H2SO4 (đặc) → Fe2(SO4)3 + 3SO2 + H2O
C. 4Fe + 3H2SO4 (đặc) → Fe2(SO4)3 + 5SO2 + H2O
D. 2Fe + 6H2SO4 (đặc) → Fe2(SO4)3 + 3SO2 + 6H2O
Bài 2: Cho các kim loại được ghi bằng các chữ cái: A, B, C, D tác dụng riêng biệt với dung dịch HCl. Hiện tượng quan sát được ghi trong bảng dưới đây:
| Kim loại | Tác dụng của dung dịch HCl |
| A | Giải phóng hidro chậm |
| B | Giải phóng hidro nhanh, dung dịch nóng dần |
| C | Không có hiện tượng gì xảy ra |
| D | Giải phóng hidro rất nhanh, dung dịch nóng lên |
Theo em nếu sắp xếp 4 kim loại trên theo chiều hoạt động hoá học giảm dần, thì cách sắp xếp nào đúng trong các cách sắp xếp sau:
A. D, B, A, C B. C, B, A, D C. A, B, C, D D. B, A, D, C
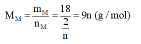
Bài 3: Hòa tan hoàn toàn 18 gam một kim loại M cần dùng 800ml dung dịch HCl 2,5M. Kim loại M là kim loại nào sau đây? (biết hóa trị của kim loại trong khoảng từ I đến III).
A. Ca B. Mg C. Al D. Fe
Bài 4: Cho hỗn hợp Al và Fe tác dụng với hỗn hợp dung dịch chứa AgNO3 và Cu(NO3)2 thu được dung dịch B và chất rắn D gồm 3 kim loại. Cho D tác dụng với dung dịch HCl dư, thấy có khí bay lên. Thành phần chất rắn D là:
A. Al, Fe, Cu B. Fe, Cu, Ag C. Al, Cu, Ag D. Kết quả khác
Bài 5: Để hòa tan hoàn toàn 1,3 gam kẽm thì cần 14,7 gam dung dịch H2SO4 20%. Khi phản ứng kết thúc khối lượng hiđro thu được là:
A. 0,03 gam B. 0,06 gam C. 0,04 gam D. 0,02 gam
Bài 6: Hòa tan 2,7 gam kim loại A bằng dung dịch H2SO4 loãng dư. Sau phản ứng thu được 3,36 lít H2 (đktc). Kim loại A là:
A. Fe B. Sn C. Zn D. Al
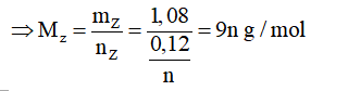
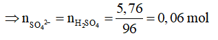
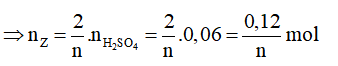
Bài 7: Cho 1,08 gam kim loại Z vào dung dịch H2SO4 loãng dư. Lọc dung dịch, đem cô cạn thu được 6,84 gam một muối khan duy nhất. Vậy kim loại Z là:
A. Niken B. Canxi C. Nhôm D. Sắt
Bài 8: Có 4 kim loại X, Y, Z, T đứng sau Mg trong dãy hoạt động hoá học. Biết rằng:
-X và Y tác dụng với dung dịch HCl giải phóng khí hidro.
-Z và T không phản ứng với dung dịch HCl.
-Y tác dụng với dung dịch muối của X và giải phóng X.
-T tác dụng được với dung dịch muối của Z và giải phóng Z.
Hãy xác định thứ tự sắp xếp nào sau đây là đúng (theo chiều hoạt động hóa học giảm dần)
A. Y, T, Z, X B. T, X, Y, Z C. Y, X, T, Z D. X, Y, Z, T
Bài 9: Để hòa tan hoàn toàn 3,01 gam bột gồm nhôm và bari thì cần vừa đủ 350ml dung dịch HCl 0,2M. Theo em khối lượng mỗi kim loại trong hỗn hợp ban đầu là bao nhiêu?
A. 0,19 g và 2,82 g B. 0,95 g và 2,06 g
C. 0,27 g và 2,74 g D. 3 g và 0,01 g
Bài 10: Cho 0,84 gam sắt vào dung dịch HCl dư. Sau phản ứng ta được muối clorua và khí H2, biết hiệu suất phản ứng là 85%. Thể tích H2 thu được (đktc) là:
A. 0,15 lit B. 0,1256 lit C. 0,2856 lit D. kết quả khác.
Đáp án và hướng dẫn giải
| 1. A | 2. A | 3. C | 4. B | 5. C |
| 6. D | 7. C | 8. C | 9. C | 10. C |
Bài 2:
Kim loại cho tác dụng với HCl không có hiện tượng gì xảy ra Kim loại không tác dụng với HCl → C là kim loại yếu đứng sau Hidro.
Kim loại càng mạnh (càng hoạt động hóa học) khi tác dụng với HCl phản ứng xảy ra càng mãnh liệt, rõ ràng. (Khí thoát ra nhiều, dung dịch nóng lên).
→ Thứ tự kim loại hoạt động hóa học giảm dần là: D, B, A, C.
⇒ Chọn A.
Bài 3:
2M + 2nHCl → 2MCln + nH2
2/n <…...2 …………………………..mol

Vậy
⇒ nH2 = nFe pư = 0,01275 mol
⇒ VH2 = 0,01275.22,4 = 0,2856 mol

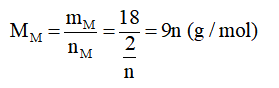
Nếu n = 1 thì MM = 9 → loại
Nếu n = 2 thì MM = 18 → loại
Nếu n = 3 thì MM = 27 → M là kim loại Al
⇒ Chọn C.
Bài 4:
Al là kim loại mạnh nhất nên Al sẽ phản ứng đầu tiên → Al sẽ bị hòa tan hết → 3 kim loại thu được là Ag, Cu và Fe dư.
⇒ Chọn B.
Bài 5:
Zn + H2SO4 → ZnSO4 + H2

⇒ Zn phản ứng hết, dd axit còn dư
⇒ nH2 = nZn = 0,02 mol
⇒ mH2 = 2.0,02 = 0,04 g
⇒ Chọn C.
Bài 6: HS làm tương tự bài 3.
⇒ Chọn D.
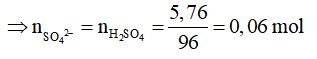
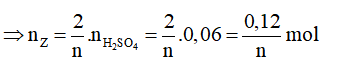
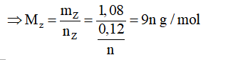
Bài 7:
2Z + nH2SO4 → Z2(SO4)n + nH2
Ta có:
mZ + mSO42- = mmuoi
mSO42- = mmuoi - mZ = 6,84-1,08=5,76g



Thử chọn lần lượt n=1, 2, 3 ta được Z là kim loại Al hóa trị III
⇒ Chọn C.
Bài 8:
- X và Y tác dụng với dung dịch HCl giải phóng khí hidro → X, Y đứng trước Hidro trong dãy hoạt động hóa học.
- Z và T không phản ứng với dung dịch HCl → Z, T đứng sau Hidro trong dãy hoạt động hóa học.
→ X, Y là kim loại mạnh hơn Z, T.
- Y tác dụng với dung dịch muối của X và giải phóng X → Y là kim loại mạnh hơn X.
- T tác dụng được với dung dịch muối của Z và giải phóng Z → T là kim loại mạnh hơn Z.
→ thứ tự sắp xếp các kim loại (theo chiều hoạt động hóa học giảm dần) là: Y, X, T, Z
⇒ Chọn C.
Bài 9:
Gọi số mol của Al và Ba lần lượt là x, y (mol)
Theo đề bài và theo phương trình phản ứng, ta lập được hệ sau:

Giải hệ, ta được: x = 0,01 mol, y = 0,02 mol

⇒ Chọn C.
Bài 10:
Fe + 2HCl → FeCl2 + H2
Vì H = 85% nên:

nH2 = nFe pư = 0,01275 mol
VH2 = 0,01275.22,4= 0,2856 lit
⇒ Chọn C.
Trên đây VnDoc đã giới thiệu tới các bạn lý thuyết Hóa học 9: Trắc nghiệm: Axit tác dụng với kim loại. Để có kết quả cao hơn trong học tập, VnDoc xin giới thiệu tới các bạn học sinh tài liệu Chuyên đề Hóa học 9, Giải bài tập Hóa học lớp 9, Giải bài tập Vật Lí 9, Tài liệu học tập lớp 9 mà VnDoc tổng hợp và giới thiệu tới các bạn đọc.