Trắc nghiệm: Phản ứng tráng gương của glucozo
Chuyên đề Hóa học lớp 9: Trắc nghiệm: Phản ứng tráng gương của glucozo được VnDoc sưu tầm và giới thiệu tới các bạn học sinh cùng quý thầy cô tham khảo. Nội dung tài liệu sẽ giúp các bạn học sinh học tốt môn Hóa học lớp 9 hiệu quả hơn. Mời các bạn tham khảo.
Bài tập: Phản ứng tráng gương của glucozo
Bài 1: Đun nóng dd chứa 9g glucozơ với dd AgNO3 đủ pứ trong dd NH3 thấy Ag tách ra. Tính lượng Ag thu được.
A. 10,8g B. 20,6 C. 28,6 D. 26,1
Bài 2: Đun nóng dd chứa 36g glucozơ với ddAgNO3/NH3 thì khối lượng Ag thu đươc tối đa là:
A. 21,6g B. 32,4 C. 19,8 D. 43.2
Bài 3: Đun nóng dd chứa m g glucozơ với ddAgNO3/NH3 thì thu được 32,4 g Ag .giá trị m là:
A. 21,6g B. 108 C. 27 D. Số khác.
Bài 4: Đun nóng dd chứa m g glucozơ với dd AgNO3/NH3 thì thu được 16,2 Ag giá trị m là (H= 75%):
A. 21,6g B. 18 g C. 10,125g D. số khác
Bài 5: Tính lượng kết tủa bạc hình thành khi tiến hành tráng gương hoàn toàn dd chứa 18g glucozơ.(H=85%)
A. 21,6g B. 10,8 C. 18,36 D. 2,16
Bài 6: Cho 200ml dd glucozơ phản ứng hoàn toàn với dd AgNO3 trong NH3 thấy có 10,8g Ag tách ra. Tính nồng độ mol/lít của dd glucozo đã dùng.
A. 0,25M B. 0,05M C. 1M D. số khác
Bài 7: Đun nóng dd chứa 54g glucozơ với lượng dư dd AgNO3 /NH3 thì lượng Ag tối đa thu đựơc là m gam. Hiệu suất phản ứng đạt 75%. Giá trị m là.
A. 32,4 B. 48,6 C. 64,8 D. 24,3g.
Bài 8: Cho 10,8 gam glucozơ phản ứng hoàn toàn với dung dịch AgNO3/NH3 (dư) thì khối lượng Ag thu được là:
A.2,16 gam B.3,24 gam C.12,96 gam D.6,48 gam
Bài 9: Hòa tan 6,12 gam hỗn hợp glucozo và saccarozo vào nước thu được 100ml dung dịch X. Cho X tác dụng với AgNO3/NH3 dư thu được 3,24 gam Ag. Khối lượng saccarozo trong hỗn hợp ban đầu là:
A. 2,7gam B. 3,42gam C. 32,4 gam D. 2,16gam
Bài 10: Đun nóng 37,5 gam dung dịch glucozơ với lượng AgNO3/dung dịch NH3 dư, thu được 6,48 gam bạc. Nồng độ % của dung dịch glucozơ là
A. 11,4 % B. 14,4 % C. 13,4 % D. 12,4 %
Đáp án và hướng dẫn giải
| 1. A | 2. D | 3. C | 4. B | 5. C |
| 6. A | 7. B | 8. C | 9. B | 10. B |
Bài 1:
nglucozo = 9/180 = 0,05 mol
⇒ nAg = 2nglucozo = 0,1 mol
⇒ mAg = 10,8g
⇒ Chọn A.
Bài 2:

⇒ Chọn D.
Bài 3:

⇒ Chọn C.
Bài 4:
nAg = 16,2/108 = 0,15 mol
Vì H = 75% nên ta có:

⇒ mglucozo = 0,1.180 = 18g
⇒ Chọn B.
Bài 5: Tương tự bài 4.
⇒ Chọn C.
Bài 6:

⇒ Chọn A.
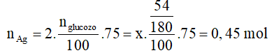
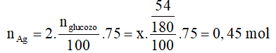
Bài 7:
Vì H = 75% nên:

⇒ mAg = 0,45.108 = 48,6g
⇒ Chọn B.
Bài 8: Tương tự bài 1.
⇒ Chọn C.
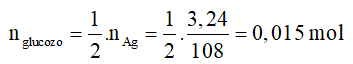
Bài 9:

⇒ mglucozo = 0,015.180 = 2,7g
⇒ msaccarozo = mhh - mglucozo = 6,12 - 2,7 = 3,42g
⇒ Chọn B.
Bài 10:

⇒ Chọn B.
Trên đây VnDoc đã giới thiệu tới các bạn lý thuyết Hóa học 9: Trắc nghiệm: Phản ứng tráng gương của glucozo. Để có kết quả cao hơn trong học tập, VnDoc xin giới thiệu tới các bạn học sinh tài liệu Chuyên đề Hóa học 9, Giải bài tập Hóa học lớp 9, Giải bài tập Vật Lí 9, Tài liệu học tập lớp 9 mà VnDoc tổng hợp và giới thiệu tới các bạn đọc