Trắc nghiệm: Phản ứng nhiệt nhôm
Chuyên đề Hóa học lớp 9: Trắc nghiệm: Phản ứng nhiệt nhôm được VnDoc sưu tầm và giới thiệu tới các bạn học sinh cùng quý thầy cô tham khảo. Nội dung tài liệu sẽ giúp các bạn học sinh học tốt môn Hóa học lớp 9 hiệu quả hơn. Mời các bạn tham khảo.
Trắc nghiệm: Phản ứng nhiệt nhôm
Bài 1: Trộn 8,1 gam Al và 48 gam Fe2O3 rồi cho tiến hành phản ứng nhiệt nhôm trong điều kiện không có không khí, kết thúc thí nghiệm thu được m gam hỗn hợp rắn. Giá trị của m là:
A. 56,1 gam. B. 61,5 gam C. 65,1 gam D. 51,6 gam
Bài 2: Dùng m gam Al để khử hoàn toàn một lượng Fe2O3 sau phản ứng thấy khối lượng oxit giảm 0,58 g. Hỏi lượng nhôm đã dùng m là:
A. m = 0,27 g B. m = 2,7g C. m = 0,54 g D. m = 1,12 g.
Bài 3: Hỗn hợp X gồm Fe3O4 và Al có tỉ lệ mol tương ứng 1 : 3. Thực hiện phản ứng nhiệt nhôm X (không có không khí) đến khi phản ứng xảy ra hoàn toàn thu được hỗn hợp gồm:
A. Al, Fe, Fe3O4 và Al2O3 B. Al2O3, Fe và Fe3O4.
C. Al2O3 và Fe. D. Al, Fe và Al2O3.
Bài 4: Tiến hành phản ứng nhiệt nhôm hỗn hợp X gồm Fe2O3 và Al trong điều kiện không có không khí thu được hỗn hợp chất rắn Y. Cho Y tác dụng với dung dịch NaOH dư sẽ thu được 0,3 mol H2. Mặt khác nếu cho Y tác dụng với dung dịch HCl dư sẽ thu được 0,4 mol H2. Số mol Al trong X là:
A. 0,3 mol B. 0,6 mol C. 0,4 mol D. 0,25 mol
Bài 5: Nung m gam hỗn hợp Al, Fe2O3 đến phản ứng hoàn toàn thu được hỗn hợp rắn Y. Chia Y làm 2 phần bằng nhau. Phần 1 tác dụng với dung dịch H2SO4 loãng dư, sinh ra 3,08 lít khí H2 ở đktc. Phần 2 tác dụng với dung dịch NaOH dư, sinh ra 0,84 lít khí H2 ở đktc. Giá trị của m là:
A. 21,40 B. 29,40 C. 29,43 D. 22,75
Bài 6: Hỗn hợp X gồm Al, Fe2O3 có khối lượng 21,67 gam. Tiến hành phản ứng nhiệt nhôm trong điều kiện không có không khí (giả sử chỉ xảy ra phản ứng khử Fe2O3 thành Fe). Hòa tan hỗn hợp chất rắn sau phản ứng bằng dung dịch NaOH dư thu được 2,016 lít khí H2 (đktc) và 12,4 gam chất rắn không tan. Hiệu suất của phản ứng nhiệt nhôm là:
A. 45% B. 50% C. 71,43% D. 75%
Bài 7: Có 9,66 gam hỗn hợp bột nhôm và Fe3O4. Tiến hành nhiệt nhôm hoàn toàn rồi hòa tan hết hỗn hợp sau phản ứng bằng dung dịch HCl được 2,688 lít H2 (đktc). Khối lượng nhôm trong hỗn hợp ban đầu là?
A. 2,16 B. 2,7 C. 2,88 D. 0,54
Bài 8: Nung hỗn hợp gồm 15,2 gam Cr2O3 (Cr = 52) và m gam Al. Sau phản ứng hoàn toàn, được 23,3 gam hỗn hợp rắn X. Cho toàn bộ X phản ứng với axit HCl dư thoát ra V lít H2 (đktc). Tính giá trị của V?
A. 2,24 lít B. 3,36 lít C. 7,84 lít D. 1,12 lít
Bài 9: khi nung hoàn toàn hỗn hợp A gồm x gam Al và y gam Fe2O3 thu được hỗn hợp B. Chia B thành hai phần bằng nhau: Phần 1 tan trong dung dịch NaOH dư, không có khí thoát ra và còn lại 4,4 gam chất rắn không tan. Phần 2 trong dung dịch H2SO4 loãng dư thu được 1,12 lít khí(đktc). Giá trị của y là
A. 5,6 gam B. 11,2 gam C. 16 gam D. 8 gam
Bài 10: Nung Al và Fe3O4 (không có không khí, phản ứng xảy ra hoàn toàn) thu được hỗn hợp A. Nếu cho A tác dụng với dung dịch KOH dư thì thu được 0,672 lít khí (đktc). Nếu cho A tác dụng với H2SO4 đặc, nóng dư được 1,428 lít SO2 duy nhất (đktc). % khối lượng Al trong hỗn hợp ban đầu là:
A. 33,69% B. 26,33% C. 38,30% D. 19,88%
Đáp án và hướng dẫn giải
| 1. A | 2. C | 3. D | 4. A | 5. D |
| 6. D | 7. B | 8. C | 9. B | 10. C |
Bài 1:
Theo định luật bảo toàn khối lượng ta có:
∑ mtruoc pư = ∑ msau pư
⇔ mAl + mFe2O3 = mhh ran sau
⇔ 8,1 + 48 = 56,1 = mhh ran sau
⇒ Chọn A.
Bài 2:
2Al + Fe2O3 → Al2O3 + 2Fe
2a………a…………a………………..mol
Theo bài ta có:
mFe2O3 - mAl2O3 = 0,58g
⇔ 160a - 102a = 0,58g
⇔ 58a = 0,58
⇔ a = 0,01 mol
⇒ nAl = 2a = 0,02 mol
⇒ mAl = 0,02.27 = 0,54g
⇒ Chọn C.
Bài 3:
Theo bài, ta giả sử số mol của Fe3O4 là 1 mol, của Al là 3 mol.
8Al + 3Fe3O4 → 4Al2O3 + 9Fe
Ban đầu 3…………1………………………………mol
Phản ứng 2,67……..1……...........1,33…….3….mol
Sau phản ứng 0,33………0………….1,33……3……mol
Vậy sau phản ứng hỗn hợp gồm có Al dư, Al2O3, Fe.
⇒ Chọn D.
Bài 4:
Vì Y tác dụng với NaOH sinh ra khí H2 nên có Al còn dư → Fe2O3 phản ứng hết.
Vậy Y gồm có Al dư, Al2O3 và Fe.
- Y tác dụng với NaOH sinh khí H2.
2Al + 2NaOH + 2H2O → 2NaAlO2 + 3H2 (1)

- Y tác dụng với HCl sinh khí H2.
2Al + 6HCl → 2AlCl3 +3H2 (2)
Fe + HCl → FeCl2 + H2 (3)
⇒ nH2(2) = 3/2 nAl dư = 3/2 . 0,2 = 0,3 mol
⇒ nH2(3) = nFe = nH2 - nH2(2) = 0,4-0,3= 0,1 mol
- Phản ứng nhiệt nhôm:
2Al + Fe2O3 → Al2O3 + 2Fe (4)
Theo phản ứng (4) ta có:
⇒ nAl ban đầu = nAl dư + nAl pư = 0,2+0,1 = 0,3 mol → m↓ = mAl(OH)3 = 0,1.78 = =7,8g
⇒ Chọn A.
Bài 5:
2Al + Fe2O3 → Al2O3 + 2Fe
nH2(p1) = 3,08/22,4 = 0,1375 mol
nH2(p2) = 0,84/22,4 = 0,0375 mol
Thấy phần 2 tác dụng với NaOH sinh ra khí, suy ra sản phẩm có Al dư.
Vậy rắn Y gồm Al2O3, Fe và Al dư.
Phần 2:
2Al + 2NaOH + 2H2O → 2NaAlO2 + 3H2
Theo PTPU ta có:
nAl (p2) = 2/3 nH2(p2) = 2/3 . 0,0375 = 0,025 mol
⇒ nAl(p1) = nAl(p2) = 0,025 mol
Phần 1:
Fe + H2SO4 → FeSO4 + H2 (*)
2Al + 3H2SO4 → Al2(SO4)3 + 3H2 (**)
Theo (**) ta có:
nH2(**) = 3/2 nAl(p1) = 3/2 . 0,025 = 0,0375 mol
⇒ nH2(*) = nH2(p1) - nH2(**) = 0,1375 - 0,0375 = 0,1 mol
⇒ nFe (p1) = nH2(*)=0,1 mol

⇒ nAL pư = nFe sp = 0,2 mol
⇒ nFe2O3 = 1/2 . nFe sp = 1/2 . 0,2 = 0,1 mol
⇒ mhh = mFe2O3 + mAl (pư) + mAl(dư) = 0,1.160+0,05.27+0,2.27=22,75g
⇒ Chọn D.
Bài 6:
2Al + Fe2O3 → Al2O3 + 2Fe
Sau phản ứng cho hỗn hợp rắn tác dụng với dd NaOH thấy có khí thoát ra, suy ra có Al dư.
Vậy hỗn hợp rắn: Fe, Al2O3, Al (dư) và Fe2O3 (nếu dư).
Theo định luật bảo toàn khối lượng, ta có:
mX = m ran tan - mran khong tan
⇒ m ran tan = mX - mran khong tan = 21,67 - 12,4 = 9,27g
Mà mran tan = mAl(dư) + mAl2O3
2Al + 2NaOH + 2H2O → 2NaAlO2 + 3H2 (1)
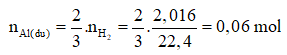
Theo PTHH (1), ta có:

⇒ mAl(dư) = 0,06.27 = 1,62g
⇒ mAl2O3 pư = m ran tan - mAl(dư) = 9,27-1,62=7,65 g
⇒ nAl2O3(pư) = 0,075mol
⇒ nAl(pư) = nFe(sp) = 2.nAl2O3(pư) = 0,075.2 = 0,15 mol
Ta có:
m ran khong tan = mFe (sp) = mFe2O3(neu dư)
⇒ mFe2O3(neu dư)=12,4-0,15.56 = 4g
⇒ nFe2O3 dư = 4/160 = 0,025 mol

Giả sử phản ứng hoàn toàn thì Al sẽ dư → Tính hiệu suất phản ứng nhiệt nhôm theo Fe2O3.
⇒ H = 0,075.100/0,1 = 75%
⇒ Chọn D.
Bài 7:
8Al + 3Fe3O4 → 4Al2O3 + 9Fe (1)
TH1: Al dư, vậy hỗn hợp sau phản ứng là: Al2O3, Fe, Al dư.
Gọi x và y lần lượt là số mol Al phản ứng và số mol Al dư.
2Al + 6HCl → 2AlCl3 +3H2 (2)
Fe + HCl → FeCl2 + H2 (3)
Theo PTHH (1), ta có:
nFe3O4 = 3/8 . x, nFe = 9/8 . x
Theo PTHH (2) và (3), ta có:
nH2(2) = 3/2 . y
nH2(3) = 9/8 . x
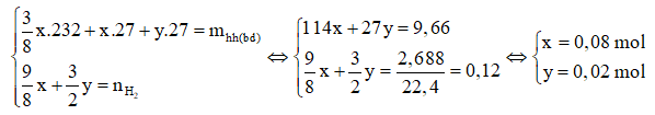
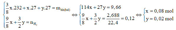
Từ trên ta có hệ pt:

⇒ nAl(bđ) = nAl(pư) + nAl(dư) = x+y = 0,08+0,02=0,1 mol
⇒ mAl(bđ) = 0,1.27 = 2,7g
TH2: Fe3O4 dư, suy ra hỗn hợp sau phản ứng: Al2O3, Fe, Fe3O4 dư.
Gọi a, b là số mol Al phản ứng và số mol Fe3O4 dư.
Theo PTHH (1) ta có:
nFe3O4(pư) = 3/8 . a, nFe(sp) = 9/8 . a
Fe + 2HCl → FeCl2 + H2 (4)
Theo PTHH (4), ta có:
nFe(sp) = nH2 = 9a/8 = 2,688/22,4 = 0,12 mol
⇒ a = 8/75 mol
![]()
⇒ b = 0,01(loại)
Vậy khối lượng Al ban đầu là 2,7 gam
⇒ Chọn B.
Bài 8:
Theo định luật bảo toàn khối lượng, ta có:
mCr2O3 + mAl = mhh ran(sau pư)
mAl = mhh ran(sau pư) - mCr2O3
mAl = 23,3 -15,2 = 8,1g
⇒ nAl = 0,3 mol
⇒ nCr2O3 = 15,2/152 = 0,1 mol
2Al + Cr2O3 → Al2O3 + 2Cr
Bđ: 0,3 0,1
Pư: 0,2 0,1 0,1 0,2
Sau pư: 0,1 0 0,1 0,2
Hỗn hợp sau phản ứng là Al dư (0,1 mol), Al2O3 (0,1 mol), Cr (0,2 mol).
2Al + 6HCl → 2AlCl3 +3H2
0,1……………………………..0,15
Cr + 2HCl → CrCl2 + H2
0,2…………………………..0,2
⇒ nH2 = 0,15+0,2 = 0,35 mol ⇒ VH2 = 0,35.22,4=7,84 lit
⇒ Chọn C.
Bài 9: Tương tự bài 4.
Lưu ý:Từ dữ liệu đề bài, ta suy ra hh B: Al2O3, Fe, Fe2O3 (nếu dư)
⇒ Chọn B.
Bài 10: Tương tự bài 4.
Lưu ý: Từ dữ kiện đề bài, ta suy ra sau phản ứng nhiệt nhôm hỗn hợp rắn thu được là: Al dư, Fe, Al2O3.
2Al +6H2SO4 (đ,n) → Al2(SO4)3 + 3SO2 + 6H2O
2Fe + 6H2SO4 (đ,n) → Fe2(SO4)3 + 3SO2 + 6H2O
⇒ Chọn C.
Trên đây VnDoc đã giới thiệu tới các bạn lý thuyết Hóa học 9: Trắc nghiệm: Phản ứng nhiệt nhôm. Để có kết quả cao hơn trong học tập, VnDoc xin giới thiệu tới các bạn học sinh tài liệu Chuyên đề Hóa học 9, Giải bài tập Hóa học lớp 9, Giải bài tập Vật Lí 9, Tài liệu học tập lớp 9 mà VnDoc tổng hợp và giới thiệu tới các bạn đọc