Trắc nghiệm: Phản ứng lên men của glucozo
Chuyên đề Hóa học lớp 9: Trắc nghiệm: Phản ứng lên men của glucozo được VnDoc sưu tầm và giới thiệu tới các bạn học sinh cùng quý thầy cô tham khảo. Nội dung tài liệu sẽ giúp các bạn học sinh học tốt môn Hóa học lớp 9 hiệu quả hơn. Mời các bạn tham khảo.
Bài tập: Phản ứng lên men của glucozo
Bài 1: Khi lên men 360 gam glucozơ với hiệu suất 100%, khối lượng ancol etylic thu được là
A.184 gam B.138 gam C.276 gam D.92 gam
Bài 2: Cho m gam glucozơ lên men, khí thoát ra được dẫn vào dd nước vôi trong dư thu được 55,2g kết tủa trắng. Tính khối lượng glucozơ đã lên men, biết hiệu suất lên men là 92%.
A. 54 B. 58 C. 84 D. 46
Bài 3: Cho 360gam glucozơ lên men, khí thoát ra được dẫn vào dd nước vôi trong dư thu được m g kết tuả trắng. Biết hiệu suất của quá trình lên men đạt 80%. Giá trị của m là:
A. 400 B. 320 C. 200 D.160
Bài 4: Lên men glucozơ thành ancol etylic. Toàn bộ khí CO2 sinh ra trong quá trình này được hấp thụ hết vào dd Ca(OH)2 dư tạo ra 50 gam kết tủa, biết hiệu suất quá trình lên men đạt 80%. Vậy khối lượng glucozơ cần dùng là:
A. 33,7 gam B. 56,25 gam C. 20 gam D. 90 gam
Bài 5: Cho 18 gam glucozơ lên men thành ancol etylic. Khối lượng ancol thu được là bao nhiêu (H=100%)?
A. 9,2 am. B. 4,6 gam. C. 120 gam. D. 180 gam.
Bài 6: Glucozơ lên men thành ancol etylic, toàn bộ khí sinh ra được dẫn vào dung dịch Ca(OH)2 dư tách ra 40 gam kết tủa, biết hiệu suất lên men đạt 75%. Khối lượng glucozơ cần dùng bằng bao nhiêu gam?
A. 24 g B. 40 g C. 50 g D. 48 g
Bài 7: Lên men a gam glucozơ với hiệu suất 90%, lượng CO2 sinh ra hấp thụ hết vào dung dịch nước vôi trong thu được 10 gam kết tủa và khối lượng dd giảm 3,4 gam. a có giá trị là bao nhiêu?
A. 13,5 g B. 15,0 g C. 20,0 g D. 30,0 g
Bài 8: Cho m gam glucozơ lên men thành etanol với hiệu suất 80%.Hấp thụ hoàn toàn khí CO2 sinh ra vào dd nước vôi trong dư thu được 20g kết tủa.Giá trị m là
A. 45 B. 22,5 C. 11,25 D.14,4
Bài 9: Cho 2,88 kg glucozơ nguyên chất lên men thành ancol etylic. Hiệu suất quá trình lên men là 80%. Nếu pha rượu 40º thì thể tích rượu 40º thu được là bao nhiêu (biết khối lượng riêng của ancol etylic là 0,8 g/ml):
A.3,68lít B.3,86lít C.3,768lít D.4,58 lít
Bài 10: Cho 360 gam glucozơ lên men thành ancol etylic và cho toàn bộ khí CO2 sinh ra hấp thụ vào dung dịch NaOH dư được 318 gam muối. Hiệu suất phản ứng lên men là.
A. 80%. B. 75%. C. 62,5%. D. 50%.
Đáp án và hướng dẫn giải
| 1. A | 2. A | 3. B | 4. B | 5. A |
| 6. D | 7. B | 8. B | 9. A | 10. B |
Bài 1:
C6H12O6 −to, men rượu→ 2C2H5OH + 2CO2
Theo PTHH ta có:
nancoletylic = 2nglucozo = 2.360/180 = 4 mol
→ mancoletylic = 4.46=184g
→ Chọn A.
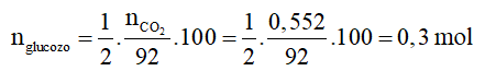
Bài 2:
C6H12O6 −to, men rượu→ 2C2H5OH + 2CO2 (1)
CO2 + Ca(OH)2 (dư) → CaCO3 + H2O (2)
Theo PTHH (2) ta có:
nCO2 = n↓ = 55,2/100 = 0,552 mol
Biết hiệu suất của phản ứng (1) là 92%. Vậy ta có:

→ mglucozo = 0,3.180 = 54g
→ Chọn A.
Bài 3: Tương tự bài 2, ta có:

→ nCO2 = n↓ = 3,2 mol
→ m↓ = 3,2.100 = 320g
→ Chọn B.
Bài 4: Tương tự bài 2.
→ Chọn B.
Bài 5: Tương tự bài 1.
→ Chọn A.
Bài 6: Tương tự bài 2.
→ Chọn D.
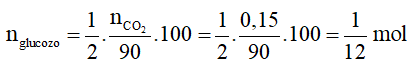
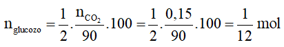
Bài 7:
Theo định luật bảo toàn khối lượng, ta có:
mCO2 + mdd trước pư = mdd sau pư + m↓
→ mdd trước pư - mdd sau pư = m↓ - mCO2
→ 3,44 = 10 - mCO2
→ mCO2 = 10-3,4 = 6,6g
→ nCO2 = 6,6/44 = 0,15 mol
Vì H = 90% nên:

→ mglucozo = 180/2 = 15g
→ Chọn B.
Bài 8: Tương tự bài 2.
→ Chọn B.
Bài 9: Vì hiệu suất phản ứng lên men là 80%

→ Chọn A.
Bài 10:
Ta có: nNa2CO3 = nCO2(thực tế) = 318/106 = 3 mol
Theo lý thuyết:

→ Chọn B.
Trên đây VnDoc đã giới thiệu tới các bạn lý thuyết Hóa học 9: Trắc nghiệm: Phản ứng lên men của glucozo. Để có kết quả cao hơn trong học tập, VnDoc xin giới thiệu tới các bạn học sinh tài liệu Chuyên đề Hóa học 9, Giải bài tập Hóa học lớp 9, Giải bài tập Vật Lí 9, Tài liệu học tập lớp 9 mà VnDoc tổng hợp và giới thiệu tới các bạn đọc