Trắc nghiệm: Oxit axit tác dụng với bazo
Chuyên đề Hóa học lớp 9: Trắc nghiệm: Oxit axit tác dụng với bazo được VnDoc sưu tầm và giới thiệu tới các bạn học sinh cùng quý thầy cô tham khảo. Nội dung tài liệu sẽ giúp các bạn học sinh học tốt môn Hóa học lớp 9 hiệu quả hơn. Mời các bạn tham khảo.
Bài tập trắc nghiệm Oxit axit tác dụng với bazo
Bài 1: Sục x mol CO2 , với 0,12 mol ≤ x ≤ 0,26 mol, vào bình chứa 15 lit dd Ca(OH)2 0,01 M thu được m gam kết tủa thì giá trị của m:
A. 12 g ≤ m ≤ 15 g
B. 4 g ≤ m ≤ 12 g
C. 0,12 g ≤ m ≤ 0,24 g
D. 4 g ≤ m ≤ 15 g
Bài 2: Cho V lít CO2 (đktc) hấp thu hoàn toàn bởi 2 lít dd Ba(OH)2 0,015 M thu được 1,97 g kết tủa. Giá trị lớn nhất của V là:
A. 1,12 lít B. 6,72 lít C. 2,24 lít D. 0,672 lít
Bài 3: Cho 4,48 lít CO2 (đktc) vào 40 lit dd Ca(OH)2 thu được 12 g kết tủa. Nồng độ của dd nước vôi là:
A. 0,004 M B. 0,002 M C. 0,006 M D. 0,008 M
Bài 4: Sục V lít khí CO2 (đktc) vào bình chứa 2 lít dd nước vôi 0,01 M thu được 1 g kết tủa. Các giá trị của V là:
A. 0,112 lít và 0,336 lít
B. 0,112 lít và 0,224 lít
C. 0,336 lít và 0,672 lít
D. 0,224 lít và 0,672 lít
Bài 5: Cho 0,448 lít khí CO2 (đktc) hấp thu 100 lm dd chứa hỗn hợp NaOH 0,06 M và Ba(OH)2 0,12 M thu được m gam kết tủa, giá trị của m là:
A. 1,182 g B. 3,940 g C. 2,364 g D. 1,970 g
Bài 6: Sục V lít khí CO2 (đktc) vào dd 2 lít Ca(OH)2 0,1 M thu được 2,5 g kết tủa. Giá trị của V là:
A. 0,56 B. 8,4 C. 11,2 D. A hoặc B
Bài 7: Dẫn 33,6 lít khí H2S (đktc) vào 2 lít dd NaOH 1 M , sản phẩm thu được là:
A. NaHS B. Na2S C. NaHS và Na2S D. Na2SO3
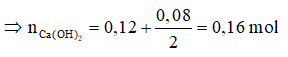
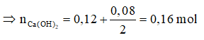
Bài 8: Nung 20 g đá vôi và hấp thụ hoàn toàn lượng khí CO2 tạo ra do sự nhiệt phân đá vôi vào 0,5 lit dd NaOH 0,56 M. Nồng độ của các muối Na2CO3 và NaHCO3 trong dung dịch là:
A. 0,12 M và 0,08 M
B. 0,16 M và 0,24 M
C. 0,4 M và 0 M
D. 0M và 0,4
Bài 9: Phải dùng bao nhiêu lit CO2 (đktc) để hòa tan hết 20 g CaCO3 trong nước, giả sử chỉ có 50% CO2 tác dụng. Phải thêm tối thiểu bao nhiêu lit dd Ca(OH)2 0,01 M vào dung dịch sau phản ứng để thu được kết tủa tối đa. Tính khối lượng kết tủa:
A. 4,48 lit CO2, 10 lit dd Ca(OH)2, 40 g kết tủa.
B. 8,96 lit CO2, 10 lit dd Ca(OH)2, 40 g kết tủa.
C. 8,96 lit CO2, 20 lit dd Ca(OH)2, 40 g kết tủa.
D. 4,48 lit CO2, 12 lit dd Ca(OH)2, 30 g kết tủa.
Bài 10: Cho 1,12 lit khí sunfurơ (đktc) hấp thụ vào 100 ml dd Ba(OH)2 có nồng độ aM thu được 6,51 g ↓ trắng, trị số của a là:
A. 0,3 B . 0,4 C. 0,5 D. 0,6
Đáp án và hướng dẫn giải
| 1. D | 2. A | 3. A | 4. D | 5. D |
| 6. D | 7. C | 8. B | 9. C | 10. B |
Bài 1:

Nếu nCO2 = x= 0,15 mol thì:

Chỉ tạo ra 1 muối CaCO3 và khối lượng kết tủa thu được là tối đa.
Ca(OH)2 + CO2 → CaCO3 + H2O
0,15 0,15 mol
Nếu nCO2 max = x = 0,26 mol thì:

⇒ Tạo ra 2 muối CaCO3 và Ca(HCO3)2 và khi đó khối lượng kết tủa thu được là tối thiểu.
CO2 + Ca(OH)2 → CaCO3 + H2O (1)
x………….x…………x………………..mol
2CO2 + Ca(OH)2 → Ca(HCO3)2 (2)
2y…………y……………………………mol
Ta được hệ phương trình:

⇒ nCaCO3 = x = 0,04 mol
⇒ m↓ = mCaCO3 = 0,04.100 = 4 gam
Vậy 4 ≤ m↓ ≤ 15
⇒ Chọn D.
Bài 2:
nBa(OH)2 = 0,15.2 = 0.03

VO2 lớn nhất cần dùng khi CO2 tạo kết tủa hết Ba(OH)2 và hòa tan một phần lượng kết tủa, khi đó 1 < T < 2.
CO2 + Ba(OH)2 → BaCO3 + H2O (1)
x………….x…………0,01………………..mol
2CO2 + Ba(OH)2 → Ba(HCO3)2 (2)
2y…………y……………………………mol
⇒ nBa(OH)2(1) = nBaSO3 = x = 0.01 mol
⇒ nBa(OH)2(2) = nBa(OH)2 - nBa(OH)2(1) = y = 0,03 - 0,01 = 0,02 mol
⇒ nCO2 = nCO2(1) + nCO2(2) = x + 2y = 0,1 + 0,02.2 = 0,05 mol
⇒ VCO2 = 0,05.22,4=1,12 lit
⇒ Chọn A.
Bài 3:
![]()
Vì nCaCO3 < nCO2 nên chứng tỏ Ca(OH)2 tạo kết tủa hoàn toàn với CO2 và một phần kết tủa bị hòa tan ⇒ 1 < T < 2.
CO2 + Ca(OH)2 → CaCO3 + H2O (1)
x………….x…………x………………..mol
2CO2 + Ca(OH)2 → Ca(HCO3)2 (2)
2y…………y……………………………mol
nCa(OH)2(1) = nCO2(1) = nCaCO3=x=0,12 mol
nCO2(2) = nCO2 - nCO2(1) = 2nCa(OH)2(2)=0,2-0,12=0,08 mol

⇒ Chọn A.
Bài 4: Tương tự bài 2 (Bài tập mẫu)
⇒ Chọn D.
Bài 5:

nNaOH = 0,06.0,1 = 0,006 mol
nBa(OH)2 = 0,12.0,1= 0,012 mol
nOH- = 0,006+0,012.2=0,03 mol

Vậy tạo 2 muối CO32- và HCO3-
CO2 + OH- → HCO3- (1)
x……..x…………x………………..mol
CO2 + 2OH- → CO32- + H2O (2)
y………2y………y……………………mol
Ta có hệ phương trình:

⇒ nCO32- = y = 0,01 mol
Vì nBa2+ > nCO32- nên nBaCO3 = nCO32- = 0,01 mol
⇒ mBaCO3 = m↓ = 0,01.197=1,97 g
⇒ Chọn D.
Bài 6: Tương tự bài 2(Bài tập mẫu)
⇒ Chọn D.
Bài 7:

nNaOH = 1.2= 2 mol

⇒ Tạo ra 2 muối NaHS và Na2S.
⇒ Chọn C.
Bài 8: Tương tự bài 1(Bài tập mẫu).
⇒ Chọn B.
Bài 9:

CO2 + CaCO3 + H2O → Ca(HCO3)2
x……….x………………………..x
Theo PTHH ta có:
nCO2lt = x = nCaCO3 = 0,2 mol

⇒ VCO2tt = 0,4.22,4 = 8,96 lit
Ta lại có:
Ca(OH)2 + Ca(HCO3)2 → 2CaCO3 + 2H2O
x………………..x…………………2x
Vậy tối thiểu cần là x = 0,2 mol ⇒

nCaCO3 = 2x = 0,4 mol
⇒ m↓ = 0,4.100 = 40g
⇒ Chọn C.
Bài 10: Tương tự bài 3.
⇒ Chọn B.
Trên đây VnDoc đã giới thiệu tới các bạn lý thuyết Hóa học 9: Trắc nghiệm: Oxit axit tác dụng với bazo. Để có kết quả cao hơn trong học tập, VnDoc xin giới thiệu tới các bạn học sinh tài liệu Chuyên đề Hóa học 9, Giải bài tập Hóa học lớp 9, Giải bài tập Vật Lí 9, Tài liệu học tập lớp 9 mà VnDoc tổng hợp và giới thiệu tới các bạn đọc.