Cách viết công thức cấu tạo của các hợp chất hữu cơ
Chuyên đề Hóa học lớp 9: Cách viết công thức cấu tạo của các hợp chất hữu cơ được VnDoc sưu tầm và giới thiệu tới các bạn học sinh cùng quý thầy cô tham khảo. Nội dung tài liệu sẽ giúp các bạn học sinh học tốt môn Hóa học lớp 9 hiệu quả hơn. Mời các bạn tham khảo.
Lý thuyết: Cách viết công thức cấu tạo của các hợp chất hữu cơ
I/ Lý thuyết và phương pháp giải
Lý thuyết cần nhớ
- Các hợp chất hữu cơ có cùng công thức phân tử nhưng có cấu tạo hóa học khác nhau, dẫn tới tính chất hóa học khác nhau được gọi là các chất đồng phân của nhau.
- Ankan là những hidrocacbon no mạch hở có công thức chung CnH2n+2 (n ≥ 1).
- Xicloankan là hidrocacbon không no, mạch hở chứa 1 nối đôi C=C trong phân tử, có công thức chung là CnH2n (n ≥ 2).
- Ankadien: là hidrocacbon mạch hở, chứa 2 nối đôi trong phân tử, có công thức chung là CnH2n-2 (n ≥ 3).
- Ankin là hidrocacbon mạch hở, chứa một nối ba C ≡ C trong phân tử, có công thức chung CnH2n-2 (n ≥ 3).
- Hidrocacbon thơm (aren) là loại hidrocacbon trong công thức phân tử có một hay nhiều nhân bezen, đại diện cho dãy đồng đẳng aren là phân tử benzen có công thức tổng quát CnH2n-6 (n ≥ 6).
Phương pháp chung:
Bước 1: Tính độ bất bão hòa (số liên kết và vòng).
Bước 2: Viết cấu trúc mạch cacbon (không phân nhánh, có nhánh, vòng) và đưa liên kết bội (đôi, ba) vào mạch cacbon nếu có.
Bước 3: Đưa nhóm chức vào mạch cacbon (thông thường các nhóm chức chứa cacbon thường được đưa luôn vào mạch ở bước 3). Lưu ý đến trường hợp kém bền hoặc không tồn tại của nhóm chức (ví dụ nhóm –OH không bền và sẽ bị chuyển vị khi gắn với cacbon có liên kết bội).
Bước 4: Điền số H vào để đảm bảo đủ hóa trị của các nguyên tố, sau đó xét đồng phân hình học nếu có. Chú ý với các bài tập trắc nghiệm có thể không cần điền số nguyên tử H.
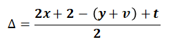
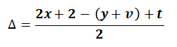
♦ Xác định độ bất bão hõa của hợp chất hữu cơ CxHyOzNtXv theo công thức:

Chú ý:
-Công thức tính ở trên chỉ áp dụng cho hợp chất cộng hóa trị.
-Các nguyên tố hóa trị II như oxi, lưu huỳnh không ảnh hưởng tới độ bất bão hòa.
II/ Bài tập vận dụng
Bài 1: Hợp chất C5H10 có bao nhiêu đồng phân cấu tạo của anken?
Hướng dẫn:

Vì C5H10 là anken nên C5H10 là mạch hở, có 1 liên kết pi.
Có 5 đồng phân anken của C5H10
CH3-CH2-CH2-CH=CH2
CH3-CH2-CH=CH-CH3
CH3-CH2-C(CH3)=CH2
CH3-CH=C(CH3)-CH3
CH3-CH(CH3)-CH=CH2
Bài 2: Có bao nhiêu đồng phân cấu tạo có công thức phân tử C6H14?
Hướng dẫn:

⇒ Ankan ⇒ Chỉ có liên kết đơn
Vậy C6H14 chỉ có 5 đồng phân cấu tạo.
CH3-CH2-CH2-CH2-CH2-CH3
CH3-CH(CH3)-CH2-CH2-CH3
CH3-CH2-CH(CH3)-CH2-CH3
CH3-CH(CH3)-CH(CH3)-CH3
CH3-C(CH3)2-CH2-CH3
Bài 3: Có bao nhiêu đồng phân ứng với công thức phân tử C4H10
Hướng dẫn:

⇒ Ankan ⇒ Chỉ có liên kết đơn
Vậy C4H10 có 2 đồng phân.
CH3-CH2-CH2-CH3
CH3-CH(CH3)-CH3
Với chuyên đề: Cách viết công thức cấu tạo của các hợp chất hữu cơ trên đây chúng ta có thể hiểu rõ về khái niệm, công thức viết công thức cấu tạo của hợp chất hữu cơ
Trên đây VnDoc đã giới thiệu tới các bạn lý thuyết Hóa học 9: Cách viết công thức cấu tạo của các hợp chất hữu cơ. Để có kết quả cao hơn trong học tập, VnDoc xin giới thiệu tới các bạn học sinh tài liệu Chuyên đề Hóa học 9, Giải bài tập Hóa học lớp 9, Giải bài tập Vật Lí 9, Tài liệu học tập lớp 9 mà VnDoc tổng hợp và giới thiệu tới các bạn đọc