Xác định chất là dẫn xuất của hydrocarbon
Chất nào sau đây là dẫn xuất hydrocarbon?
Dẫn xuất của hydrocarbon là những hợp chất hữu cơ mà trong phân tử ngoài nguyên tố carbon còn có các nguyên tố như oxygen, nitrogen, sulfur, halogen,...
Vndoc.com xin gửi tới bạn đọc Đề thi khảo sát chất lượng Hóa 11 tháng 2, cùng nhau luyện tập và xem kết quả nha!
Điểm khả dụng: 0 điểm
Bạn sẽ dùng 50 điểm để đổi lấy 1 lượt làm bài.
Bạn không đủ điểm để đổi.
Xác định chất là dẫn xuất của hydrocarbon
Chất nào sau đây là dẫn xuất hydrocarbon?
Dẫn xuất của hydrocarbon là những hợp chất hữu cơ mà trong phân tử ngoài nguyên tố carbon còn có các nguyên tố như oxygen, nitrogen, sulfur, halogen,...
Tìm phát biểu không đúng

Phương pháp chiết để tách các chất lỏng không tan vào nhau, trong phễu chiết thì chất lỏng nào nhẹ hơn ở trên, chất lỏng nào nặng ở dưới và được chiết ra trước.
Tính số phát biểu đúng
Cho các phát biểu sau:
Trong phân tử hợp chất hữu cơ
(1) carbon có hóa trị IV.
(2) các nguyên tử liên kết với nhau theo đúng hóa trị và theo một thứ tự nhất định.
(3) tính chất của các chất chỉ phụ thuộc vào thành phần phân tử.
(4) các nguyên tử liên kết với nhau theo đúng số oxi hóa và một số thứ tự nhất định.
Số phát biểu đúng là
(1) đúng.
(2) đúng.
(3) sai. Tính chất của các chất phụ thuộc vào thành phần phân tử và cấu tạo hóa học.
(4) sai. Trong phân tử hợp chất hữu cơ, các nguyên tử liên kết với nhau theo đúng hóa trị và thứ tự nhất định.
Alkane đơn giản nhất
Bề mặt đầm lầy thường xuất hiện các bong bóng khí, đó là alkane đơn giản nhất, có tên gọi là
Bề mặt đầm lầy thường xuất hiện các bong bóng khí, đó là alkane đơn giản nhất, có tên gọi là methane.
Xác định cặp chất đồng phân
Công thức đơn giản nhất của glucose
Glucose là hợp chất hữu cơ có nhiều trong các loại quả chín, đặc biệt là quả nho. Công thức phân tử của glucose là C6H12O6. Công thức đơn giản nhất của glucose là
Công thức đơn giản nhát của glucose là CH2O.
Đồng đẳng
Đồng đẳng là những chất có tính chất hóa học tương tự nhau và thành phần phân tử hơn kém nhau một hay nhiều nhóm
Đồng đẳng là những chất có tính chất hóa học tương tự nau và thành phần phân tử hơn kém nhau một hay nhiều nhóm CH2.
Xác định nhóm chức trong phân tử X
Chất X có công thức phân tử là C5H10O và có phổ hồng ngoại như sau:

Nhóm chức có trong phân tử X là
Nhóm chức có trong phân tử X là aldehyde (-CHO) (có số sóng là 1700 cm–1).
Công thức phân tử của acetaldehyde
Acetaldehyde chứa 2 nguyên tử C, 4 nguyên tử H và 1 nguyên tử O. Công thức phân tử của acetaldehyde là
Acetaldehyde chứa 2 nguyên tử C, 4 nguyên tử H và 1 nguyên tử O ⇒ công thức phân tử của acetaldehyde là C2H4O.
Tính số dẫn xuất monochloro thu được
Khi cho 2,2-dimethylbutane tác dụng với chlorine thu được tối đa bao nhiêu dẫn xuất monochloro?
2,2-dimethylbutane có công thức cấu tạo là (CH3)3–C–CH2–CH3.
Các sản phẩm thu được là: CH2Cl–C(CH3)2–CH2CH3; CH3–C(CH3)2–CHClCH3; CH3–C(CH3)2–CH2CH2Cl.
Phương pháp có thể dùng để tách benzenevà acetic acid
Để tách benzene (nhiệt độ sôi là 80°C) và acetic acid (nhiệt độ sôi là 118°C) ra khỏi nhau, có thể dùng phương pháp
Để tách benzene (nhiệt độ sôi là 80°C) và acetic acid (nhiệt độ sôi là 118°C) ra khỏi nhau, có thể dùng phương pháp chưng cất ở áp suất thấp vì:
- Benzene và acetic acid là những chất lỏng có nhiệt độ sôi khác nhau.
- Benzene và acetic acid là những chất dễ bị phân hủy ở nhiệt độ cao, do đó ta cần thực hiện chưng cất ở áp suất thấp.
Tên gọi của alkyne
Alkyne CH3−C≡C−CH3 có tên là
Alkyne CH3−C≡C−CH3 có tên là but-2-yne.
Tính số alkene có đồng phân hình học
Cho các alkene sau:
CH2=CH–CH2–CH3; (CH3)2C=C(CH3)2;
CH3–CH2–CH=CH–CH3;
CH3–CH2–CH=CH–CH2–CH3.
Số alkene có đồng phân hình học là
Trong phân tử của hai alkene CH2=CH–CH2–CH3, (CH3)2C=C(CH3)2, ta thấy nguyên tử C trong liên kết đôi liên kết với hai nhóm thế giống nhau nên chúng không có đồng phân hình học.
Trong phân tử của hai alkene CH3–CH2–CH=CH–CH3, CH3–CH2–CH=CH–CH2–CH3, ta thấy nguyên tử C trong liên kết đôi liên kết với hai nhóm thế khác nhau nên chúng có đồng phân hình học.
Điều chế ethylene trong phòng thí nghiệm
Trong phòng thí nghiệm ethylene được điều chế bằng cách
Trong phòng thí nghiệm alkene được điều chế bằng cách dehydrate hóa alcohol alcohol no, đơn chức, mạch hở tương ứng.
Xác định công thức phân tử của A
Hydrocarbon A có tỉ khối so với He bằng 14. Công thức phân tử của A là
Ta có dA/He = 14 ⇒ MA = 56 (g/mol)
⇒ A là C4H8.
Số đồng phân của alkyne C5H8 thỏa mãn tính chất
Alkyne C5H8 có bao nhiêu đồng phân tác dụng được với dung dịch AgNO3 trong NH3 tạo kết tủa?
Chỉ các alkyne có liên kết ba đầu mạch mới tác dụng được với dung dịch AgNO3 trong NH3 tạo kết tủa.
→ Các alkyne thỏa mãn là:
CH≡C–CH2–CH2–CH3; CH3–CH(CH3)–C≡(CH3).
Xác định sản phẩm của phản ứng trùng hợp
Trùng hợp ethylene, sản phẩm thu được có cấu tạo là:
Phản ứng trùng hợp:
nCH2=CH2 (-CH2-CH2-)n
Tính giá trị của m
Hấp thụ hoàn toàn 2,479 lít (đkc) khí C2H2 vào lượng dư dung dịch AgNO3 trong NH3, sau phản ứng thu được m gam kết tủa. Giá trị của m là
nC2H2 = 0,1 mol
HC≡CH + 2AgNO3 + 2NH3 → CAg≡CAg + 2NH4NO3
mol: 0,1 → 0,1
⇒ mCAg≡CAg = 0,1.240 = 24 (g)
Xác định sản phẩm chính của phản ứng
Khi cho but–1–ene tác dụng với dung dịch HBr, theo quy tắc Markovnikov sản phẩm nào sau đây là sản phẩm chính?
Quy tắc Markovnikov: Nguyên tử hydrogen ưu tiên cộng vào nguyên tử carbon chưa no có nhiều hydrogen hơn, còn nguyên tử X ưu tiên cộng vào nguyên tử carbon chưa no có ít hydrogen hơn.
→ Sản phẩm chính của phản ứng là: CH3–CH2–CHBr–CH3.
Xác định CTPT của alkane và alkene
Một hỗn hợp khí gồm alkane và alkene có cùng số nguyên tử C trong phân tử và có cùng số mol. Lấy m gam hỗn hợp này thì làm mất màu vừa đủ 80 gam dung dịch 20% Br2 trong dung môi CCl4. Đốt cháy hoàn toàn m gam hỗn hợp đó thu được 0,6 mol CO2. Alkane và alkene đó có công thức phân tử là:
Do alkane và alkene có cùng số nguyên tử C nên gọi CTPT của akane và alkene là CnH2n+2 và CnH2n với số mol là a (mol).
nBr2 = 0,1 mol
Chỉ có alkene phản ứng với Br2 theo tỉ lệ mol 1:1 nên:
⇒ nCnH2n = nCnH2n+2 = nBr2 = a = 0,1 mol
BTNT C: 0,1.n + 0,1.n = 0,6 ⇒ n = 3
Vậy công thức phân tử của alkane và alkene là C3H8 và C3H6.
Ở mỗi ý (a), (b), (c), (d), hãy chọn đúng hoặc sai.
Ở mỗi ý (a), (b), (c), (d), hãy chọn đúng hoặc sai.
Cho alkane X có công thức cấu tạo: CH3–CH(C2H5)–CH2–CH(CH3)–CH3.
(a) Trong phân tử của X có 2 nguyên tử carbon bậc ba. Đúng || Sai
(b) Alkane X có mạch carbon không phân nhánh. Sai || Đúng
(c) Alkane X có tên thay thế là 2,4-dimethylhexane. Đúng || Sai
(d) Trong phân tử của X có 1 nhóm CH2. Sai || Đúng
Ở mỗi ý (a), (b), (c), (d), hãy chọn đúng hoặc sai.
Cho alkane X có công thức cấu tạo: CH3–CH(C2H5)–CH2–CH(CH3)–CH3.
(a) Trong phân tử của X có 2 nguyên tử carbon bậc ba. Đúng || Sai
(b) Alkane X có mạch carbon không phân nhánh. Sai || Đúng
(c) Alkane X có tên thay thế là 2,4-dimethylhexane. Đúng || Sai
(d) Trong phân tử của X có 1 nhóm CH2. Sai || Đúng
(a) đúng.
(b) sai. X có 2 nhánh là –CH3.
(c) đúng.
(d) sai. Trong phân tử của X có 2 nhóm CH2.
Ở mỗi ý (a), (b), (c), (d) chọn đúng hoặc sai.
Ở mỗi ý (a), (b), (c), (d), hãy chọn đúng hoặc sai.
Hydrogen hóa alkene và alkyne thu được alkane tương ứng. Phản ứng thường được thực hiện dưới áp suất cao, nhiệt độ cao và có mặt các chất xúc tác kim loại như platium, nickel và palladium.
(a) Acetylene (ethyne) + H2 (t°, Lindlar) thu được ethane. Sai || Đúng
(b) Phản ứng cộng hydrogen của propylene theo phương trình sau:
CH2=CH – CH3+ H2
CH3–CH2–CH3 Đúng || Sai
(c) Isobutylene (methylpropene) + H2 thu được butane. Sai || Đúng
(d) Khi cộng hydrogen (xúc tác Ni, t°) vào but-1-ene và but-2-yne thu được cùng một sản phẩm. Đúng || Sai
Ở mỗi ý (a), (b), (c), (d), hãy chọn đúng hoặc sai.
Hydrogen hóa alkene và alkyne thu được alkane tương ứng. Phản ứng thường được thực hiện dưới áp suất cao, nhiệt độ cao và có mặt các chất xúc tác kim loại như platium, nickel và palladium.
(a) Acetylene (ethyne) + H2 (t°, Lindlar) thu được ethane. Sai || Đúng
(b) Phản ứng cộng hydrogen của propylene theo phương trình sau:
CH2=CH – CH3+ H2
CH3–CH2–CH3 Đúng || Sai
(c) Isobutylene (methylpropene) + H2 thu được butane. Sai || Đúng
(d) Khi cộng hydrogen (xúc tác Ni, t°) vào but-1-ene và but-2-yne thu được cùng một sản phẩm. Đúng || Sai
(a) Sai. Acetylene (ethyne) + H2 (t°, Lindlar) thu được ethene.
(b) đúng.
(c) Isobutylene (methylpropene) + H2 thu được methylpropane.
(d) đúng.
Xác định phát biểu đúng hoặc sai
Ở mỗi ý (a), (b), (c), (d), hãy chọn đúng hoặc sai.
Thí nghiệm điều chế và thử tính chất của ethylene được tiến hành theo các bước sau:
Bước 1: Cho 2 ml ethanol khan vào ống nghiệm khô đã có sẵn vài viên đá bọt (ống số 1) rồi thêm từ từ 4 ml dung dịch H2SO4 đặc và lắc đều. Nút ống số 1 bằng nút cao su có ống dẫn khí rồi lắp lên giá thí nghiệm.
Bước 2: Lắp lên giá thí nghiệm khác một ống hình trụ được đặt nằm ngang (ống số 2) rồi nhồi một nhúm bông tẩm dung dịch NaOH đặc vào phần giữa ống. Cắm ống dẫn khí của ống số 1 xuyên qua nút cao su rồi nút vào một đầu của ống số 2. Nút đầu còn lại của ống số 2 bằng nút cao su có ống dẫn khí, nhúng ống dẫn khí của ống số 2 vào dung dịch KMnO4 đựng trong ống nghiệm (ống số 3).
Bước 3: Dùng đèn cồn đun nóng hỗn hợp trong ống số 1.
Ở mỗi phát biểu sau, hãy chọn đúng hoặc sai:
(a) Đá bọt có vai trò là chất xúc tác của phản ứng. Sai || Đúng
(b) Bông tẩm dung dịch NaOH đặc có tác dụng loại bớt tạp chất trong khí sinh ra. Đúng || sai
(c) Phản ứng trong ống số 3 sinh ra ethylene glycol. Đúng || sai
(d) Nếu thu khí ethylene đi ra từ ống dẫn khí của ống số 2 thì dùng phương pháp dời nước. Đúng || sai
Ở mỗi ý (a), (b), (c), (d), hãy chọn đúng hoặc sai.
Thí nghiệm điều chế và thử tính chất của ethylene được tiến hành theo các bước sau:
Bước 1: Cho 2 ml ethanol khan vào ống nghiệm khô đã có sẵn vài viên đá bọt (ống số 1) rồi thêm từ từ 4 ml dung dịch H2SO4 đặc và lắc đều. Nút ống số 1 bằng nút cao su có ống dẫn khí rồi lắp lên giá thí nghiệm.
Bước 2: Lắp lên giá thí nghiệm khác một ống hình trụ được đặt nằm ngang (ống số 2) rồi nhồi một nhúm bông tẩm dung dịch NaOH đặc vào phần giữa ống. Cắm ống dẫn khí của ống số 1 xuyên qua nút cao su rồi nút vào một đầu của ống số 2. Nút đầu còn lại của ống số 2 bằng nút cao su có ống dẫn khí, nhúng ống dẫn khí của ống số 2 vào dung dịch KMnO4 đựng trong ống nghiệm (ống số 3).
Bước 3: Dùng đèn cồn đun nóng hỗn hợp trong ống số 1.
Ở mỗi phát biểu sau, hãy chọn đúng hoặc sai:
(a) Đá bọt có vai trò là chất xúc tác của phản ứng. Sai || Đúng
(b) Bông tẩm dung dịch NaOH đặc có tác dụng loại bớt tạp chất trong khí sinh ra. Đúng || sai
(c) Phản ứng trong ống số 3 sinh ra ethylene glycol. Đúng || sai
(d) Nếu thu khí ethylene đi ra từ ống dẫn khí của ống số 2 thì dùng phương pháp dời nước. Đúng || sai
(a) sai. Đá bọt có vai trò làm cho chất lỏng sôi đều và không trào lên khi đun nóng.
(c) đúng. Bông tẩm dung dịch NaOH đặc có tác dụng loại bớt khí SO2, CO2 sinh kèm theo.
(d) đúng: C2H4 + H2O + KMnO4 → C2H4(OH)2 + MnO2 + KOH.
(e) đúng, vì ethylene không tan trong nước nên thu bằng phương pháp đẩy nước.
Ở mỗi phát biểu, chọn đúng hoặc sai
Vitamin A (retinol) rất cần thiết đối với sức khỏe con người, vitamin A là chất không tan trong nước, hòa tan tốt trong chất béo. Công thức của vitamin A như sau:

(1) Hydrogen chiếm 10,72% khối lượng phân tử. Sai || Đúng
(2) Là một hợp chất carboxylic acid. Sai || Đúng
(3) Công thức phân tử là C20H30O. Đúng || Sai
(4) Có 1 vòng và 4 liên kết π trong phân tử. Sai || Đúng
Vitamin A (retinol) rất cần thiết đối với sức khỏe con người, vitamin A là chất không tan trong nước, hòa tan tốt trong chất béo. Công thức của vitamin A như sau:

(1) Hydrogen chiếm 10,72% khối lượng phân tử. Sai || Đúng
(2) Là một hợp chất carboxylic acid. Sai || Đúng
(3) Công thức phân tử là C20H30O. Đúng || Sai
(4) Có 1 vòng và 4 liên kết π trong phân tử. Sai || Đúng
(1) sai. Công thức phân tử của vitamin A là C20H30O ⇒ Hydrogen chiếm 10,49% khối lượng phân tử.
(2) sai. Vitamin A không có nhóm chức COOH.
(3) đúng.
(4) sai. Vitamin A có 1 vòng và 4 liên kết π trong phân tử.
Hoàn thành sơ đồ phản ứng
Hoàn thành sơ đồ chuyển hóa sau: (ghi rõ điều kiện nếu có)
CH4
C2H2
CH2=CH–Cl
Poly(vinyl chloride).
Hoàn thành sơ đồ chuyển hóa sau: (ghi rõ điều kiện nếu có)
CH4
C2H2
CH2=CH–Cl
Poly(vinyl chloride).
(1) 2CH4 C2H2 + 3H2
(2) C2H2 + HCl CH2=CH–Cl
(3) nCH2=CH–Cl (–CH2–CH2Cl–)n
Viết công thức cấu tạo của các chất
Viết công thức cấu tạo của các chất có công thức phân tử:
a) C4H10 (hợp chất chỉ có liên kết đơn, mạch hở).
b) C4H6 (hợp chất có 1 liên kết ba, mạch hở).
Viết công thức cấu tạo của các chất có công thức phân tử:
a) C4H10 (hợp chất chỉ có liên kết đơn, mạch hở).
b) C4H6 (hợp chất có 1 liên kết ba, mạch hở).
a) C4H10:
CH3–CH2–CH2–CH3
CH3–CH(CH3) – CH3
b) C4H6:
CH≡C–CH2–CH3
CH3–C≡C–CH3
Xác định công thức cấu tạo của A
Một hợp chất hữu cơ A có công thức thực nghiệm là CH2O. Bằng phổ MS, người ta xác định phân tử khối của A là 60. Bằng phổ IR, thấy có tín hiệu hấp thụ trong vùng 3400 – 2500 cm–1 và tín hiệu ở 1715 cm–1. Xác định công thức cấu tạo của A.
Một hợp chất hữu cơ A có công thức thực nghiệm là CH2O. Bằng phổ MS, người ta xác định phân tử khối của A là 60. Bằng phổ IR, thấy có tín hiệu hấp thụ trong vùng 3400 – 2500 cm–1 và tín hiệu ở 1715 cm–1. Xác định công thức cấu tạo của A.
Gọi công thức phân tử của A là (CH2O)n.
M = 30n = 60 ⟹ n = 2
⟹ công thức phân tử của A là C2H4O2.
A có tín hiệu hấp thụ trong vùng 3400 – 2500 cm–1, và tín hiệu ở 1715 cm–1 ⇒ A có nhóm –COOH.
Công thức cấu tạo của A là:

Lập công thức phân tử của (Y)
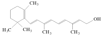
Hydrocarbon (Y) có tác dụng kích thích các tế bào thực vật tăng trưởng nên được sử dụng vào mục đích kích thích sự ra hoa, quả chín ở các loại cây ăn trái. Hãy lập công thức phân tử của (Y), biết kết quả phân tích nguyên tố của (Y) có 85,71% C về khối lượng. Phân tử khối của hợp chất này được xác định thông qua kết quả phổ khối lượng với peak ion phân tử có giá trị m/z lớn nhất.

Hydrocarbon (Y) có tác dụng kích thích các tế bào thực vật tăng trưởng nên được sử dụng vào mục đích kích thích sự ra hoa, quả chín ở các loại cây ăn trái. Hãy lập công thức phân tử của (Y), biết kết quả phân tích nguyên tố của (Y) có 85,71% C về khối lượng. Phân tử khối của hợp chất này được xác định thông qua kết quả phổ khối lượng với peak ion phân tử có giá trị m/z lớn nhất.

Gọi CTĐGN của Y là CxHy.
%mH = 100% – 85,71% = 14,29%
⇒ CTĐGN của Y là CH2 ⇒ CTPT của Y là (CH2)n.
Từ phổ khối lượng của (Y), ta có: MY = 28 ⇒ n = 2.
Vậy công thức phân tử của Y là C2H4.
Tính thể tích không khí cần dùng
C25H52 + 38O2 25CO2 + 26H2O
mol: 0,1 → 3,8
Thể tích không khí (20% oxygen) cần dùng là:
Tính thời gian học sinh B sử dụng hết bình gas
Một bình gas mini (khí hóa lỏng) chứa hỗn hợp propane và butane với tỉ lệ mol 2:1. Nhiệt lượng tỏa ra khi đốt cháy hoàn toàn 0,1898 kg khí gas trên ở điều kiện chuẩn theo các phản ứng sau:
C3H8(g) + 5O2(g)
3CO2(g) + 4H2O(l)
= −2220 kJ
C4H10(g) + 13/2O2(g)
4CO2(g) + 5H2O(l)
= −2874 kJ
Trung bình mỗi ngày, một học sinh B cần đốt gas để cung cấp 1000 kJ nhiệt (hiệu suất hấp thụ nhiệt của các quá trình là 80%). Hỏi
a) Sau bao nhiêu ngày học sinh B trên sẽ sử dụng hết bình gas 0,1898 kg trên?
b) Cần phải dùng bao nhiêu bình gas trên để đun sôi 200 lít nước từ 20°C? Biết để làm nóng 1 kg nước lên 1°C thì cần cung cấp nhiệt lượng là 4200J; khối lượng riêng của nước là 1 g/ml.
Một bình gas mini (khí hóa lỏng) chứa hỗn hợp propane và butane với tỉ lệ mol 2:1. Nhiệt lượng tỏa ra khi đốt cháy hoàn toàn 0,1898 kg khí gas trên ở điều kiện chuẩn theo các phản ứng sau:
C3H8(g) + 5O2(g)
3CO2(g) + 4H2O(l)
= −2220 kJ
C4H10(g) + 13/2O2(g)
4CO2(g) + 5H2O(l)
= −2874 kJ
Trung bình mỗi ngày, một học sinh B cần đốt gas để cung cấp 1000 kJ nhiệt (hiệu suất hấp thụ nhiệt của các quá trình là 80%). Hỏi
a) Sau bao nhiêu ngày học sinh B trên sẽ sử dụng hết bình gas 0,1898 kg trên?
b) Cần phải dùng bao nhiêu bình gas trên để đun sôi 200 lít nước từ 20°C? Biết để làm nóng 1 kg nước lên 1°C thì cần cung cấp nhiệt lượng là 4200J; khối lượng riêng của nước là 1 g/ml.
a) Đặt số mol C3H8 là 2a và số mol C4H10 là 1a.
Ta có: 44.2a + 58.1a = 189,8 ⇒ a = 1,3 mol
Nhiệt thu được khi đốt cháy 0,1898 kg gas là Q = 1,3.2.2220 + 1,3.2874 = 9508,2 (kJ)
Số ngày sử dụng hết bình gas là: (9508,2.80%/ 1000 = 7,6 (ngày)
b) Để đun sôi 200 lít nước từ nhiệt độ 20°C cần cung cấp nhiệt lượng là:
200. 4200. (100 – 20) = 67200000 (J) = 67200 (kJ)
Số bình gas cần dùng là: (67200.)/(9508,2.80%) = 8,83 bình (gần 9 bình)
Đang tải...
Theo Nghị định 147/2024/ND-CP, bạn cần xác thực tài khoản trước khi sử dụng tính năng này. Chúng tôi sẽ gửi mã xác thực qua SMS hoặc Zalo tới số điện thoại mà bạn nhập dưới đây: