Đề ôn thi học kì 2 môn Toán lớp 6 - Đề 1
Đề ôn thi học kì 2 lớp 6 môn Toán
Đề ôn thi học kì 2 lớp 6 môn Toán - Đề 1 bao gồm đáp án chi tiết cho từng dạng bài tập cho các em học sinh tham khảo, củng cố kỹ năng giải Toán, trong chương trình học lớp 6, chuẩn bị cho bài thi học kì 2 đạt kết quả cao.
Đề thi học kì 2 lớp 6 mới nhất: 2019 - 2020
- Đề thi học kì 2 lớp 6 môn Toán năm 2019 - 2020 Có đáp án
- Đề thi học kì 2 lớp 6 môn Ngữ Văn năm 2019 - 2020 Có đáp án
- Đề thi học kì 2 lớp 6 môn Vật lý năm 2019 - 2020
- Đề thi học kì 2 lớp 6 môn Sinh học năm 2019 - 2020
- Đề thi học kì 2 lớp 6 môn Địa lý năm 2019 - 2020
- Đề thi học kì 2 lớp 6 môn Lịch sử năm 2019 - 2020
- Đề thi học kì 2 lớp 6 môn Công nghệ năm 2019 - 2020
- Đề thi học kì 2 lớp 6 môn Giáo dục công dân năm học 2019 - 2020
- Đề thi học kì 2 lớp 6 môn Tin học năm 2019 - 2020
Đề ôn tập học kì 2 môn Toán lớp 6 - Đề 1
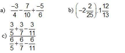
Bài 1. (3 điểm) Thực hiện phép tính:

Bài 2. (2,5 điểm) Tìm x, biết:

Bài 3. (2 điểm) Một mảnh vườn hình chữ nhật có chiều dài là 60 m, chiều rộng bằng 2/3 chiều dài.
a) Tính diện tích mảnh vườn
b) Người ta lấy 3/5 diện tích mảnh vườn để trồng cây. Tính diện tích phần còn lại của mảnh vườn.
Bài 4. (2điểm) Vẽ góc bẹt xOy. Trên cùng một nửa mặt phẳng bờ xy vẽ hai tia Om, On sao cho ∠xOm = 150o, ∠xOn = 30o.
a) Tính số đo góc mOn
b) Vẽ tia Op là tia đối của tia On. Tia Oy có phải là tia phân giác góc mOp không? Vì sao?
Bài 5. (0,5 điểm)

>> Tham khảo: Đề cương ôn tập học kì 2 môn Toán lớp 6 năm 2018 - 2019
Đáp án và Hướng dẫn giải đề ôn tập học kì 2 Toán lớp 6
Bài 1.

Bài 2.

c) |x – 1,2| = 2,5 hoặc x – 1,2 = - 2,5
x = 2,5 + 1,2 hoặc x = - 2,5 + 1,2
x = 3,7 hoặc x = - 1,3
Bài 3.
a) Chiều rộng mảnh vườn là:
60 . 2/3 = 40 (m)
Diện tích mảnh vườn là:
60 . 40= 2400 (m2)
b) Diện tích vườn còn lại là:
2400 - (2400 .
\(\frac{3}{5}\)) = 960 m2
Bài 4.

a) ∠mOn= 120o
b) Tia Oy là tia phân giác của góc mOp
Bài 5.

Tham khảo đề cương ôn tập học kì 2 môn Toán lớp 6:
- Đề ôn thi học kì 2 môn Toán lớp 6 - Đề 2
- Đề ôn thi học kì 2 môn Toán lớp 6 - Đề 3
- Đề ôn thi học kì 2 môn Toán lớp 6 - Đề 4
- Đề ôn thi học kì 2 môn Toán lớp 6 - Đề 5
Ngoài Đề ôn tập học kì 2 môn Toán lớp 6 - Đề 1 mới nhất trên, các em học sinh tham khảo các bài giải bài tập môn Toán lớp 6, Ngữ văn 6, Vật lý 6, Sinh học 6, Lịch sử 6,.... và các dạng đề thi học kì 2 chi tiết đầy đủ được cập nhật thường xuyên trên trang VnDoc.com.