Bộ đề thi cuối kì 2 Toán 6
Đây là tài liệu Cao cấp - Chỉ dành cho Thành viên VnDoc ProPlus.
- Tải tất cả tài liệu lớp 6 (Trừ Giáo án, bài giảng)
- Trắc nghiệm không giới hạn
Tài liệu gồm:
05 đề Toán 6 KNTT theo CV 7991
05 đề Toán 6 CTST theo CV 7991
05 đề Toán 6 Cánh diều theo CV 7991
Bộ đề tham khảo cấu trúc cũ
Bộ đề thi cuối kì 2 môn Toán lớp 6 được tổng hợp từ ba bộ sách giáo khoa mới gồm Kết nối tri thức với cuộc sống, Chân trời sáng tạo và Cánh diều, mang đến nguồn tài liệu ôn tập phong phú và sát với chương trình học. Các đề thi được biên soạn đa dạng về dạng bài, giúp học sinh làm quen với nhiều kiểu câu hỏi khác nhau. Thông qua việc luyện tập với bộ đề này, các em có thể củng cố kiến thức, rèn luyện kỹ năng làm bài và tự tin hơn khi bước vào kì kiểm tra cuối kì 2 sắp tới.
Trọn bộ các đề thi, đáp án, ma trận đều có trong file tải về, các bạn tải về tham khảo trọn bộ.
Bản xem thử - Bộ đề thi học kì 2 môn Toán lớp 6 – KNTT theo CV 7991
Bộ đề tham khảo cấu trúc cũ
1. Đề thi cuối kì 2 Toán 6 Chân trời sáng tạo
Đề thi học kì 2 Toán 6 Chân trời sáng tạo - Đề 1
Đề thi học kì 2 Toán 6 CTST
A. PHẦN TRẮC NGHIỆM: (3.0 điểm)
Chọn phương án trả lời đúng trong các phương án A, B, C, D .
Câu 1 . (TN1- NB) Trong các cách viết sau đây, cách viết nào cho ta phân số?
A. ![]()
B. ![]()
C. ![]()
D. ![]()
Câu 2. (TN2- NB) Số đối của phân số
là phân số nào sau đây?
A. ![]()
B. ![]()
C. ![]()
D. ![]()
Câu 3. (TN3- NB) Tìm tất cả các hình có trục đối xứng trong các hình sau.

A. a,b,c.
B. a,c,d,e .
C.b,c,d ,g
D. a,b,d,e
...............
Câu 12. (TN1- VDT) Giá trị của biểu thức
là:
A. ![]()
B. ![]()
C. 0.
D. 1.
B. PHẦN TỰ LUẬN: (7 điểm)
Câu 1.(0,75)
a)(TL1-NB ) Vẽ trục đối xứng của hình sau

b)(TL2-NB )kể tên tất cả bộ 3 điểm thẳng hàng có trong hình vẽ.

c) (TL3-NB ) Vẽ góc vuông xAy.
..................
Câu 5. (TL10-VDC )
Gía điện tháng 9 thấp hơn giá điện tháng 8 là 10%, giá điện tháng 10 cao hơn giá điện tháng 9 là 10%. Hỏi giá điện tháng 10 so với tháng 8 cao hơn hay thấp hơn bao nhiêu phần trăm?
2. Đề thi cuối kì 2 Toán 6 Kết nối tri thức
2.1 Đề thi học kì 2 Toán 6 KNTT cấu trúc mới
MA TRẬN ĐỀ KIỂM TRA CUỐI HỌC KỲ 2 MÔN TOÁN 6
|
TT |
Chủ đề/Chương |
Nội dung/Đơn vị kiến thức |
Mức độ đánh giá |
Tổng |
Tỷ lệ % điểm |
||||||||||||||
|
Trắc nghiệm khách quan |
Tự luận |
||||||||||||||||||
|
Nhiều lựa chọn |
Đúng/Sai |
|
|
|
|||||||||||||||
|
Biết |
Hiểu |
Vận dụng |
Biết |
Hiểu |
Vận dụng |
Biết |
Hiểu |
Vận dụng |
Biết |
Hiểu |
Vận dụng |
||||||||
|
1 |
Chương VI. Phân số
|
Phân số. Tính chất cơ bản của phân số. So sánh phân số. |
3 (C5,6,7) |
|
|
|
|
|
|
|
|
3 |
|
|
22,5% |
||||
|
Các phép tính với phân số. |
|
2 (C8,9) |
2 (C10,11) |
|
|
|
|
|
1TL (C23) |
|
2 |
3 |
|||||||
|
2 |
Chương VII. Số thập phân.
|
Số thập phân và các phép tính với số thập phân. Tỉ số và tỉ số phần trăm. |
2 (C13,15) |
4 (C12,16,17,18) |
1 (C14) |
|
|
|
|
|
1TL (C24) |
2 |
4 |
2 |
22,5% |
||||
|
3 |
Chương VIII. Những hình hình học cơ bản.
|
Điểm, đường thẳng, tia. |
1 (C19) |
|
|
1 (C 21) |
|
|
1TL (C26a) |
|
|
3 |
|
|
25% |
||||
|
Đoạn thẳng. Độ dài đoạn thẳng |
|
|
|
|
2 (C 21) |
1 (C 21) |
|
1TL (C26b) |
|
|
3 |
1 |
|||||||
|
Góc. Các góc đặc biệt. Số đo góc. |
1 (C20) |
|
|
|
|
|
|
|
|
1 |
|
|
|||||||
|
4 |
Chương IX. Dữ liệu và xác suất thực nghiệm.
|
Thu thập và tổ chức dữ liệu. |
|
1 (C2) |
|
|
|
|
|
|
|
|
1 |
|
30% |
||||
|
Phân tích và xử lí dữ liệu. |
2 (C1,3) |
|
1 (C4) |
|
|
|
|
1TL (C25a) |
|
2 |
1 |
1 |
|||||||
|
Một số yếu tố xác suất. |
|
|
|
2 (C22) |
1 (C22) |
1 (C22) |
|
|
1TL (C25b) |
2 |
1 |
2 |
|||||||
|
Tổng số câu |
9 |
7 |
4 |
3 |
3 |
2 |
1 |
2 |
3 |
13 |
12 |
9 |
34 |
||||||
|
Tổng số điểm |
5 |
2 |
3 |
3,5 |
3,5 |
3 |
10 |
||||||||||||
|
Tỷ lệ % |
50% |
20% |
30% |
35% |
35% |
30% |
100% |
||||||||||||
Đề kiểm tra
I. PHẦN TRẮC NGHIỆM (7,0 điểm). Chọn đáp án đúng trong các câu sau:
Câu 1. Dữ liệu nào sau đây là dữ liệu số?
|
A. Bảng danh sách học tên học sinh lớp 6C. |
B. Cân nặng của các bạn trong lớp 6C. |
|
C. Bảng xếp loại hạnh kiểm học sinh lớp 6C. |
D. Tên các lớp trong trường. |
Câu 2. Nhà bạn Minh mở tiệm kem và Minh thu thập thông tin về các loại kem yêu thích của 30 khách hàng trong sáng chủ nhật và thu được kết quả như sau:
|
Loại kem |
Kiểm đếm |
|
Dâu |
11 |
|
Nho |
4 |
|
Sầu riêng |
8 |
|
Sô – cô – la |
5 |
|
Va – ni |
2 |
Từ bảng kiểm đếm của Minh, em hãy cho biết Minh đang điều tra về vấn đề gì?
A. Người ăn nhiều kem nhất.
B. Số loại kem của nhà Minh hiện có.
C. Loại kem nhà Minh được khách hàng yêu thích.
D, Loại lem bán được trong 30 ngày.
Cho biểu đồ cột dưới đây thể hiện xếp loại học lực của khối 6 của một trường THCS. Quan sát biểu đồ và trả lời câu 3 và câu 4:
Câu 3. Hãy cho biết khối 6 có bao nhiêu học sinh giỏi ?
A. 32
B. 30
C. 40
D. 25
Câu 4. Tổng số học sinh khối 6 là bao nhiêu ?
A. 140
B. 144
C. 214
D. 220
.......................................
II. TRẮC NGHIỆM ĐÚNG SAI (2 điểm):
Học sinh trả lời từ Câu 21 đến Câu 22. Trong mỗi ý a), b), c), d) ở mỗi câu học sinh chỉ trả lời đúng hoặc sai và ghi chữ "đúng" hoặc "sai" đó vào bài làm
.................
Câu 22. (1,0 điểm) Cho hình vẽ, biết ; .

Khi đó:
A. Điểm Ilà trung điểm của đoạn thẳng EF.
B. Tia EI và tia EF là hai tia đối nhau.
C. Độ dài của EF là 8 cm.
D. Trong ba điểm E, I, F, điểm I nằm giữa hai điểm còn lại.
TỰ LUẬN (3 điểm)
......
Câu 25. (1,0 điểm): Trong hộp có một số bi xanh và một số bi đỏ và 1 số bi vàng. Bạn Nam lấy ngẫu nhiên 1 viên bi từ hộp, xem màu rồi trả lại. Lặp lại hoạt động trên 60 lần, ta được kết quả như sau:
|
Loại viên bi |
Màu xanh |
Màu đỏ |
Màu vàng |
|
Số lần |
27 |
12 |
21 |
a) Liệt kê tất cả các kết quả có thể.
b) Tính xác suất thực nghiệm của sự kiện lấy được viên bi màu xanh.
Câu 26. (1,0 điểm): Cho tia Ox và Oy là hai tia đối nhau. Trên tia Ox lấy điểm A và trên tia Oy lấy điểm B sao cho OA = 4cm, OB = 4cm.
a) Vẽ hình và viếttên các tia trong hình.
b) Điểm O có là trung điểm của đoạn thẳng AB không ? Vì sao ?
Xem tiếp đề thi và đáp án trong file tải
2.2 Đề thi học kì 2 Toán 6 KNTT cấu trúc cũ
Đề thi Toán 6 học kì 2 Kết nối tri thức Số 1
Câu 1. Phép tính: (-2,5) + (-7,5) bằng:
A. 10
B. -10
C. -5
D. 5
Câu 2. Phần tô màu hình được biểu diễn phân số nào dưới đây?

A. ![]()
B. ![]()
C. ![]()
D. ![]()
Câu 3 Tổng
bằng:
A. ![]()
B. -1
C. ![]()
D..1
Câu 4. Giá trị của biểu thức: (-0,4). (0,5) bằng:
A. -0,02
B. 0,002
C. - 0,2
D. 0,2
Câu 5. Sau khi dùng số tiền tiết kiệm được để ủng hộ quỹ vì bạn nghèo thì số tiền còn lại của bạn Đức là 240.000đ. Hỏi ban đầu bạn Đức có bao nhiêu tiền ?
A. 160.000đ
B. 360.000đ
C. 80.000đ
D. 720.000đ
Câu 6. Khi tung một đồng xu 13 lần liên tiếp, có 7 lần xuất hiện mặt sấp (S). Khi đó xác suất thực nghiệm xuất hiện mặt ngửa (N) là bao nhiêu.
A. ![]()
B. ![]()
C. ![]()
D. ![]()
Câu 7: Mỗi xúc xắc có 6 mặt, số chấm ở mỗi mặt là một trong các số nguyên dương từ 1 đến 6. Gieo xúc xắc một lần. Mặt xuất hiện của xúc xắc là phần tử của tập hợp nào dưới đây?
A. {1; 6}
B. {0; 1; 2; 3; 4; 5; 6}
C. {0; 1; 2; 3; 4; 5}
D. {1; 2; 3; 4; 5; 6}
Câu 8 Bạn Lương giúp mẹ thống kê số lượng các cỡ Giày mà cửa hàng nhà bạn đã bán được trong tháng đầu tiên khai trương cửa hàng như bảng sau.
|
Cỡ Giày |
37 |
38 |
39 |
40 |
41 |
42 |
|
Số đôi bán được |
23 |
31 |
29 |
75 |
32 |
56 |
Quan sát bảng hãy cho biết cỡ giày bán được nhiều nhất là cỡ nào ?
A. 44
B.75
C.40
D. 37
Câu 9. Tỉ số phần trăm của 374 và 425 là:
A. 88%
B. 8,8%
C. 0,88%
D. 0,8%
Câu 10. Góc có số đo lớn hơn 00 và nhỏ hơn 900 là góc gì?
A. Góc vuông
B. Góc nhọn
C. Góc tù
D. Góc bẹt
Câu 11. Cho đoạn thẳng AB = 10 cm, C là điểm nằm giữa A, B. Gọi M là trung điểm của AC và N là trung điểm của CB. Tính MN.
A. MN = 20 cm
B. MN = 5 cm
C. MN = 8 cm
D. MN = 10 cm
Câu 12. Điểm M là trung điểm của đoạn thẳng AB nếu:
A. MA = MB
B. M nằm giữa A và B
C. MA = MB = ![]()
D. AM + MB = AB
TỰ LUẬN(7,0 điểm)
Câu 13. Tính một cách hợp lý (nếu có thể)

Câu 14. Tìm x biết:

Câu 15. Bạn an đọc một quyển sách có 120 trang trong ba ngày thì xong. Ngày thứ nhất bạn An đọc được
tổng số trang và bằng
ngày thứ hai. Hỏi mỗi ngày bạn An đọc được bao nhiêu trang sách?
Câu 16. Trên đường thẳng xy lấy điểm O. Trên tia Ox lấy điểm A sao cho OA = 3cm.
Trên tia Oy lấy điểm B và C sao cho OB = 3cm và OC = a (cm), với 0< a< 3.
a) Điểm O có là trung điểm của đoạn thẳng AB không? Vì sao?
b) Xác định giá trị của a để C là trung điểm của đoạn thẳng OB.
Câu 17. Tính

----------------- HẾT -----------------
Học sinh không được sử dụng tài liệu. Cán bộ coi thi không giải thích gì thêm.
Đáp án đề thi học kì 2 Toán 6 Kết nối tri thức
TRẮC NGHIỆM (3 điểm) Mỗi câu chọn đúng được 0.25 điểm.
|
CÂU |
1 |
2 |
3 |
4 |
5 |
6 |
7 |
8 |
9 |
10 |
11 |
12 |
|
ĐÁP ÁN |
B |
A |
A |
C |
D |
C |
D |
C |
A |
B |
C |
C |
Mời các bạn xem toàn bộ đề và đáp án đề 1 trong file tải về
4. Đề thi Toán 6 học kì 2 Kết nối tri thức Số 4
* Trắc nghiệm khách quan (5 điểm)
Khoanh vào chữ cái in hoa đứng trước câu trả lời đúng
Câu 1: Nghịch đảo của
là:
A. ![]()
B. ![]()
C. ![]()
D. ![]()
Câu 2: Rút gọn phân số
đến tối giản bằng
A. ![]()
B. ![]()
C. ![]()
D. ![]()
Câu 3: Góc bẹt bằng
A. 900
B. 1800
C. 750
D. 450
Câu 4: Viết số thập phân 0,25 về dạng phân số ta được:
A. ![]()
B. ![]()
C. ![]()
D. ![]()
Câu 5: Góc phụ với góc 320 bằng
A. 1480
B. 1580
C. 580
D. 480
Câu 6: Viết hỗn số
dưới dạng phân số
A. ![]()
B. ![]()
C. ![]()
D. ![]()
Câu 7: Kết quả của phép tính ![]()
A. ![]()
B. ![]()
C. ![]()
D. ![]()
Câu 8: Tính: 25% của 12 bằng
A. 2
B. 3
C. 4
D. 6
Câu 9: Có bao nhiêu phút trong
giờ?
A. 28 phút
B. 11 phút
C. 4 phút
D. 60 phút
Câu 10: Góc nào lớn nhất
A. Góc nhọn
B. Góc Vuông
C. Góc tù
D. Góc bẹt
Câu 11: Góc là hình gồm
A. Hai tia cắt nhau
B. Hai tia cùng thuộc một mặt phẳng
C. Hai tia ở giữa hai nửa mặt phẳng đối nhau.
D. Hai tia chung gốc
Câu 12: Mai nói rằng: “Dữ liệu là số được gọi là số liệu". Theo em Mai nói thế đúng hay sai?
A. Đúng
B. Sai
Câu 13: Linh đo nhiệt độ cơ thể (đơn vị 0C) của 5 bạn trong lớp thu được dãy số liệu sau
37 36,9 37,1 36,8 36,9
Linh đã dùng phương pháp nào để thu thập số liệu trên
A. Quan sát
B. Làm thí nghiệm
C. Lập bảng hỏi
D. Phỏng vấn
Câu 14: Kết quả của phép tính ![]()
A. ![]()
B. ![]()
C. ![]()
D. ![]()
Câu 15: Kết quả của phép tính ![]()
A. ![]()
B. ![]()
C. ![]()
D. ![]()
Câu 16: Hai phân số gọi là nghịch đảo của nhau nếu tích của chúng bằng
A. 0
B. 2
C. 1
D. -1
Câu 17: Trong biểu đồ cột, biểu đồ cột kép, khẳng định nào sau đây không đúng
A. Cột nào cao hơn biểu diễn số liệu lớn hơn
B. Cột nằm dưới trục ngang biểu diễn số liệu âm
C. Các cột cao như nhau biểu diễn các số liệu bằng nhau
D. Độ rộng các cột không như nhau
Câu 18: Trong các câu sau câu nào sai
A. Tổng của hai số thập phân dương là một số thập phân dương
B. Tích của hai số thập phân dương là một số thập phân dương
C. Hiệu của hai số thập phân dương là một số thập phân dương
D. Thương của hai số thập phân dương là một số thập phân dương
Câu 19: Tích 214,9 . 1,09 là
A. 234,241
B. 209,241
C. 231,124
D. -234,241
Câu 20: Làm tròn số a = 131,2956 đến chữ số thập phân thứ hai ta được số thập phân nào sau đây:
A. 131,29
B. 131,31
C. 131,30
D. 130
* Tự luận (6 điểm)
Câu 21 (2 điểm):
Minh gieo một con xúc sắc 100 lần và ghi lại số chấm xuất hiện ở mỗ lần gieo được kết quả như sau:
| Số chấm xuất hiện | 1 | 2 | 3 | 4 | 5 | 6 |
| Số lần | 15 | 20 | 18 | 22 | 10 | 15 |
Tính xác suất thực nghiệm của các sự kiện sau:
a. Số chấm xuất hiện là số chẵn
b. Số chấm xuất hiện lớn hơn 2
Câu 22 (2 điểm): Khi điều tra về số m3 nước dùng trong một tháng của mỗi hộ gia đình trong xóm người điều tra ghi lại bảng sau
| 16 | 18 | 17 | 16 | 17 | 16 | 16 | 18 | 16 | 17 |
| 16 | 13 | 40 | 17 | 16 | 17 | 17 | 20 | 16 | 16 |
a. Hãy nêu đối tượng thống kê và tiêu chí thống kê
b. Hãy lập bảng thông kê số m3 nước dùng trong một tháng của mỗi hộ gia đình. Có bao nhiêu gia đình tích kiệm nước sách (dưới 15m3/tháng)
Câu 23 (1 điểm): Trên cùng một nửa mặt phẳng bờ chứa tia Ox vẽ góc xOz = 50o và
xOy = 100o.
a) Tính góc yOz?
b) Tia Oz có là tia phân giác của góc xOy không? Vì sao?
Đáp án đề thi toán lớp 6 cuối học kì 2
* Trắc nghiệm khách quan (5 điểm)
| Câu | 1 | 2 | 3 | 4 | 5 | 6 | 7 | 8 | 9 | 10 |
| Đáp án | A | D | B | A | C | B | B | B | A | D |
| Câu | 11 | 12 | 13 | 14 | 15 | 16 | 17 | 18 | 19 | 20 |
| Đáp án | D | B | A | A | B | C | D | C | A | C |
* Tự luận (6 điểm)
| Câu | Nội dung | Điểm | |||||||||||||||
| 21 | a) |
Số lần gieo mà số chấm xuất hiện là số chẵn là: 20 + 22 +15 = 57 Xác suất thực nghiệm của sự kiện số chất xuất hiện là số chẵn là:
|
0,5 0,5 |
||||||||||||||
| b) |
Số lần gieo có số chấm xuất hiện lớn hơn 2 là: 100 – ( 15+ 20) = 65 Xác suất thực nghiệm của sự kiện số chất xuất hiện lớn hơn 2 là:
|
0,5 0,5 |
|||||||||||||||
| 22 |
a. Đối tượng thống kê: số m3 nước dùng trong một tháng của mỗi hộ gia đình trong xóm Tiêu chí thống kê: Số hộ gia đình dùng cùng số m3 nước b. Bảng thống kê
- Có 1 hộ gia đình tiết kiệm nước sạch (Dưới 15m3/tháng). |
0,5
0,5
0,75
0,25 |
|||||||||||||||
| 23 | a) |
Tia Ot nằm giữa hai tia Ox và Oy (vì ∠xOz < ∠xOy ) ∠zOy = ∠xOy - ∠xOz = 1000 - 500 = 500 |
0,25 0,5 |
||||||||||||||
| b) |
Tia Oz là tia phân giác của góc xOy Vì tia Oz nằm giữa hai tia Ox và Oy và ∠zOy = ∠xOz |
0,25 |
3. Đề thi cuối kì 2 Toán 6 Cánh Diều
Đề thi học kì 2 lớp 6 môn Toán số 1
Ma trận đề thi học kì 2 Toán 6 Cánh Diều
|
TT |
Chủ đề |
Nội dung/ Đơn vị kiến thức |
Mức độ đánh giá |
Tổng % điểm |
|||||||
|
Nhận biết |
Thông hiểu |
Vận dụng |
Vận dụng cao |
||||||||
|
TNKQ |
TL |
TNKQ |
TL |
TNKQ |
TL |
TNKQ |
TL |
||||
|
1 |
Thu thập và tổ chức dữ liệu |
Thu thập, phân loại, biểu diễn dữ liệu theo các tiêu chí cho trước |
1 |
|
|
|
|
|
|
|
2.5% |
|
Mô tả và biểu diễn dữ liệu trên các bảng, biểu đồ |
1 |
|
|
|
|
|
|
|
2.5% |
||
|
2 |
Phân tích và xử lí dữ liệu |
Hình thành và giải quyết vấn đề đơn giản xuất hiện từ các số liệu và biểu đồ thống kê đã có |
1 |
|
|
|
|
|
|
|
2.5% |
|
3 |
Một số yếu tố xác suất |
Làm quen với một số mô hình xác suất đơn giản. Làm quen với việc mô tả xác suất (thực nghiệm) của khả năng xảy ra nhiều lần của một sự kiện trong một số mô hình xác suất đơn giản |
1 |
|
|
|
|
|
|
|
2.5% |
|
Mô tả xác suất (thực nghiệm) của khả năng xảy ra nhiều lần của một sự kiện trong một số mô hình xác suất đơn giản |
|
|
|
|
|
1 |
|
|
10% |
||
|
4 |
Phân số |
Phân số. Tính chất cơ bản của phân số. So sánh phân số |
2 |
|
|
1 |
|
|
|
|
15% |
|
Các phép tính với phân số |
|
|
|
|
|
3 |
|
1 |
40% |
||
|
5 |
Số thập phân |
Số thập phân và các phép tính với số thập phân. Tỉ số và tỉ số phần trăm |
2 |
|
|
1 |
|
|
|
|
15% |
|
6 |
Các hình hình học cơ bản |
Điểm, đường thẳng, tia |
1 |
|
|
|
|
|
|
|
2.5% |
|
Đoạn thẳng. Độ dài đoạn thẳng |
1 |
|
|
|
|
|
|
|
2.5% |
||
|
Góc. Các góc đặc biệt. Số đo góc |
2 |
|
|
|
|
|
|
|
5% |
||
|
Tổng |
12 |
|
|
|
|
|
|
|
|
||
|
Tỉ lệ % |
30 |
|
|
20 |
|
40 |
|
10 |
100 |
||
|
Tỉ lệ chung |
50% |
50% |
100 |
||||||||
Đề thi học kì 2 Toán 6 Cánh Diều
Phần 1. Trắc nghiệm khách quan (3 điểm)
Hãy khoanh tròn vào phương án mà em cho là đúng.
Câu 1: Hằng nói rằng: “Dữ liệu là số được gọi là số liệu “. Theo em Hằng nói thế đúng hay sai?
|
A. Đúng |
B. Sai |
Câu 2: Linh đo nhiệt độ cơ thể (đơn vị 0C) của 5 bạn trong lớp thu được dãy số liệu sau
37 36,9 37,1 36,8 36,9
Linh đã dùng phương pháp nào để thu thập số liệu trên
A. Quan sát
B. Làm thí nghiệm
C. Lập bảng hỏi
D. Phỏng vấn
Câu 3: Trong biểu đồ cột, biểu đồ cột kép, khẳng định nào sau đây không đúng
A. Cột nào cao hơn biểu diễn số liệu lớn hơn
B. Cột nằm dưới trục ngang biểu diễn số liệu âm
C. Các cột cao như nhau biểu diễn các số liệu bằng nhau
D. Độ rộng các cột không như nhau
Câu 4: Nếu tung đồng xu 13 lần liên tiếp, có 5 lần xuất hiện mặt S thì xác suất thực nghiệm xuất hiện mặt N là:
A. ![]()
B. ![]()
C. ![]()
D. ![]()
Câu 5: Khẳng định nào sau đây là sai ?
A. Trong 3 điểm thẳng hàng, luôn có 1 điểm nằm giữa hai điểm còn lại.
B. Hai tia chung gốc thì luôn là hai tia đối nhau.
C. Hai tia đối nhau thì luôn có chung điểm gốc.
D. Khi hai điểm A và B nằm khác phía so với điểm C thì điểm Cnằm giữa hai điểm A và B.
Câu 6: Nghịch đảo của là: ![]()
|
A. |
B. |
C. |
D. |
Câu 7: Số đối của -0,024 là
|
A. -0,24 |
B. 0,24 |
C. 0,024 |
D. -0,024 |
Câu 8: Viết số thập phân 0,25 về dạng phân số ta được:
|
A. |
B. |
C. |
D. |
Câu 9: Góc bẹt bằng
|
A. 900 |
B. 1800 |
C. 750 |
D. 450 |
Câu 10: Góc là hình gồm
A. Hai tia cắt nhau
B. Hai tia cùng thuộc một mặt phẳng
C. Hai tia ở giữa hai nửa mặt phẳng đối nhau.
D. Hai tia chung gốc
Câu 11: Viết hỗn số
dưới dạng phân số
|
A. |
B. |
C. |
D. |
Câu 12: Điền từ thích hợp vào chỗ trống: Trung điểm M của đoạn thẳng AB là điểm nằm giữa A, B sao cho:
A. AM = AB
B. AB = MB
C. MA = MB
D. AM > AB
Phần 2. Tự luận (7 điểm)
Câu 13. (1 điểm)
Hoan gieo một con xúc sắc 100 lần và ghi lại số chấm xuất hiện ở mỗ lần gieo được kết quả như sau:
|
Số chấm xuất hiện |
1 |
2 |
3 |
4 |
5 |
6 |
|
Số lần |
15 |
20 |
18 |
22 |
10 |
15 |
Tính xác suất thực nghiệm của các sự kiện sau:
Số chấm xuất hiện là số chẵn
Số chấm xuất hiện lớn hơn 2
Câu 14. (2 điểm) So sánh:
a) 407,99 và 408,01
b)
và ![]()
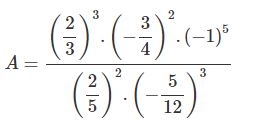
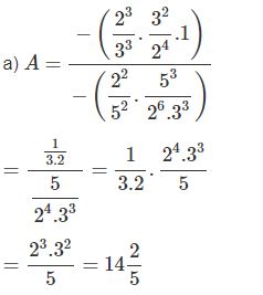
Câu 15. (2 điểm) Thực hiện phép tính:

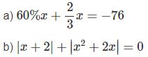
Câu 16. (1 điểm) Tìm x biết:

Câu 17. (1 điểm) Có 9 quả cam chia cho 12 người. Làm cách nào mà không phải cắt bất kỳ quả nào thành 12 phần bằng nhau?
Xem tiếp đáp án phần tự luận trong file tải về
