Đề ôn thi học kì 2 môn Toán lớp 6 - Đề 2
Đề ôn thi học kì 2 lớp 6 môn Toán
Đề ôn thi học kì 2 lớp 6 môn Toán - Đề 2 bao gồm đáp án chi tiết cho từng dạng bài tập cho các em học sinh tham khảo, củng cố kỹ năng giải Toán, trong chương trình học lớp 6, chuẩn bị cho bài thi học kì 2 đạt kết quả cao.
Đề ôn tập học kì 2 môn Toán lớp 6 - Đề 1
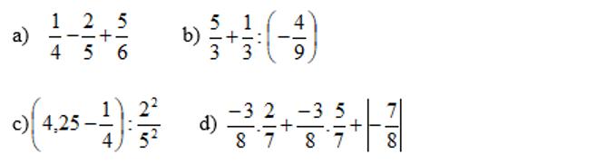
Bài 1. (3 điểm) Thực hiện phép tính

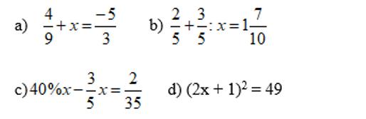
Bài 2. (2 điểm) Tìm x biết:

Bài 3. (2 điểm)
Hưởng ứng cuộc vận động “Gởi ấm áp cho Trường Sa”, giáo viên nữ ba bậc học Mầm non, Tiểu học và Trung học cơ sở Quận 9 đã đan được 960 chiếc khăn len gửi tặng các chiến sĩ. Trong đó, bậc Mầm non gửi tặng 25% tổng số khăn và bằng 5/8 số khăn bậc Tiểu học gởi tặng. Hỏi giáo viên mỗi bậc học đã gởi tặng được bao nhiêu chiếc khăn len cho các chiến sĩ Trường Sa?
Bài 4. (2 điểm)
Trên nửa mặt phẳng bờ chứa tia Ox vẽ 2 tia Oy và Oz sao cho ∠xOy = 60o, ∠xOz = 120o
a) Tính số đo góc yOz
b) Gọi Ot là tia đối của Oy. Tính số đo góc xOt
c) Trên hình vẽ có tia nào là tia phân giác của một góc? Vì sao? Tia Ox có là tia phân giác của góc zOt không? Vì sao?
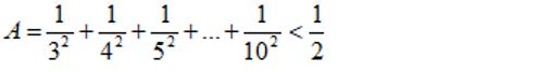
Bài 5. (1 điểm) Chứng tỏ rằng:

>> Tham khảo: Đề cương ôn tập học kì 2 môn Toán lớp 6 năm 2018 - 2019
Đáp án và Hướng dẫn giải đề ôn tập học kì 2 Toán lớp 6
Bài 1.

Bài 2.


d) (2x+1)2 = 49
2x + 1 = 7 hoặc 2x + 1 = -7
2x = 6 hoặc 2x = -8
x = 3 hoặc x = -4
Bài 3.
Số khăn bậc Mầm non tặng là: 960 . 25% = 260 (chiếc)
Số khăn bậc Tiểu học tặng là: 240 : 5/8 = 384 (chiếc)
Số khăn bậc THCS tặng là: 960 – (260 + 384) = 336 (chiếc)
Bài 4.

a) Tia Oy nằm giữa hai tia Ox và Oz nên:
∠xOy + ∠yOz = ∠xOz
60o + ∠yOz = 120o
∠yOz = 120o - 60o = 60o
b) Tia Ot là tia đối của tia Oy
nên hai góc xOy và xOt kề bù.
Ta có: ∠xOy + ∠xOt = ∠yOt
60o + ∠xOt = 180o
∠xOt = 180o - 60o = 120o
c) Tia Oy là tia phân giác của góc xOz vì:
Tia Oy nằm giữa hai tia Ox và Oz
∠xOy = ∠yOz = 60o
Tia Ox không là tia phân giác của góc zOt vì tia Ox không nằm giữa hai tia Oz và Ot.
Bài 5.

Ngoài Đề ôn tập học kì 2 môn Toán lớp 6 - Đề 2 mới nhất trên, các em học sinh tham khảo các bài giải bài tập môn Toán lớp 6, Ngữ văn 6, Vật lý 6, Sinh học 6, Lịch sử 6,.... và các dạng đề thi học kì 2 chi tiết đầy đủ được cập nhật thường xuyên trên trang VnDoc.com.