Đề kiểm tra học kì II lớp 6 môn Toán - Phòng Giáo dục Quận 3 TPHCM
Đề thi học kì 2 lớp 6 môn Toán
Đề thi học kì 2, kiểm tra học kì 2 môn Toán dành cho học sinh THCS lớp 6 của Phòng Giáo dục Quận 3 TP. Hồ Chí Minh là đề kiểm tra rất hay. Đề thi này được VnDoc sưu tầm và giới thiệu tới các em học sinh giúp các em có thêm kiến thức tổng hợp để chuẩn bị thật tốt cho bài thi cuối học kì của mình.
Đề kiểm tra học kì II lớp 6 môn Tiếng Anh phòng GD&ĐT Bảo Lộc - Lâm Đồng
Đề kiểm tra học kì II lớp 6 môn Toán - Phòng Giáo dục Bảo Lộc, Lâm Đồng (Đề 3)
| PHÒNG GIÁO DỤC QUẬN 3 THÀNH PHỐ HỒ CHÍ MINH |
ĐỀ KIỂM TRA HỌC KỲ II MÔN TOÁN LỚP 6 Thời gian làm bài: 90 phút |
I. Trắc nghiệm khách quan (2 điểm)
Trong mỗi câu từ câu 1 đến câu 8 đều có 4 phương án trả lời A, B, C, D; trong đó chỉ có một phương án đúng. Hãy khoanh tròn vào chữ cái đứng trước phương án đúng.
Câu 1: Số đối của -4/5 là:
A. 4/5 B. -5/-4 C. -(4/5) D. -5/4
Câu 2: Hai số nào sau đây là nghịch đảo của nhau?
A. 1,3 và 3,1; B. -2/3 và 3/2 C. -0,2 và -5 D. 1 và -1
Câu 3: Trong các khẳng định sau, khẳng định nào là đúng?
A. 20/11 = -20/11 B. -5/9 = 5/-9 C. 25/35 = 2/3 D. -30/4 = -15/-2
Câu 4. Trong các phân số -3/4, 6/-7, -7/-8, -11/12 phân số nhỏ nhất là:
A. -3/4 B. 6/-7 C. -7/-8 D. -11/12
Câu 5. Cho x là số nguyên âm và thỏa mãn x/3 = 12/x, khi đó x bằng:
A. 6; B. 36; C. -18; D. –6
Câu 6: Giá trị của biểu thức –10 – (–10) + (75)o. (–1)3+ (–2)3: (–2) bằng:
A. 3; B. –24; C. –9; D. 5
Câu 7: Với hai góc phụ nhau, nếu một góc có số đo 80o thì góc còn lại có số đo bằng:
A. 10o; B. 40o; C. 90o; D. 100o.
Câu 8: Hình gồm các điểm cách điểm O một khoảng 6cm là
A. hình tròn tâm O, bán kính 6cm. B. đường tròn tâm O, bán kính 3cm.
C. đường tròn tâm O, bán kính 6cm. D. đường tròn tâm O, bán kính 3cm.
II. Tự luận: (8 điểm)
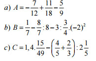
Câu 9: (3 điểm) Tính:

Câu 10: (2,5 điểm)
a) Tìm x biết -11x/12 + 3/4 = -1/6
b) Tìm x biết 3 - (1/6 - x).2/3 = 2/3
c, Tìm tất cả số nguyên x biết: 1/-2 < x/2 ≤ 0.
Câu 11: (0,75 điểm)

Câu 12: (1,75 điểm) Cho góc bẹt xOy. Vẽ tia Ot sao cho yOt = 40o.
a) Tính số đo của góc xOt.
b) Trên nửa mặt phẳng bờ xy chứa tia Ot, vẽ tia Om sao cho xOm =100o. Tia Ot có phải là tia phân giác của góc yOm không? Vì sao?