Đề ôn thi học kì 2 môn Toán lớp 6 - Đề 5
Đề ôn thi học kì 2 lớp 6 môn Toán - Đề 5 bao gồm đáp án chi tiết cho từng dạng bài tập cho các em học sinh tham khảo, củng cố kỹ năng giải Toán, trong toàn bộ chương trình học lớp 6, chuẩn bị cho bài thi học kì 2 lớp 6 đạt kết quả cao.
Đề ôn tập môn Toán lớp 6 học kì 2
Đề ôn tập học kì 2 môn Toán lớp 6 - Đề 5
Bài 1: (3,0 điểm). Thực hiện phép tính (Tính hợp lý nếu có thể)

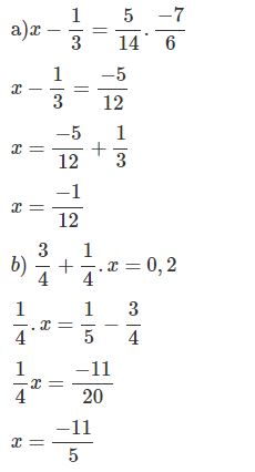
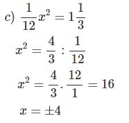
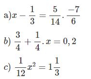
Bài 2: (2,0 điểm). Tìm x , biết:

Bài 3: (2,0 điểm). Lớp 6A có 45 học sinh. Trong giờ sinh hoạt lớp, để chuẩn bị cho buổi dã ngoại tổng kết năm học, cô giáo chủ nhiệm đã khảo sát địa điểm dã ngoại em yêu thích với ba khu du lịch sinh thái: Đầm Long, Khoang Xanh, Đảo Ngọc Xanh . Kết quả thu được như sau: 1/3 số học sinh cả lớp lựa chọn đi Đầm Long, số học sinh lựa chọn đi Khoang Xanh bằng 2/3 số học sinh còn lại.
a) Địa điểm nào được các bạn học sinh lớp 6A lựa chọn đi đông nhất?
b) Tính tỉ số phần trăm của số học sinh chọn đi Đảo Ngọc Xanh so với học sinh cả lớp.
Bài 4: (2,5 điểm).

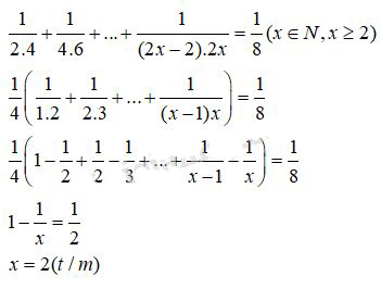
Bài 5: (0,5 điểm). Tìm x, biết:

Đáp án và Hướng dẫn giải đề ôn tập học kì 2 Toán lớp 6
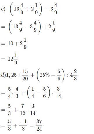
Bài 1:


Bài 2:


Bài 3:

Bài 4:


Bài 5:

Ngoài Đề ôn tập học kì 2 môn Toán lớp 6 - Đề 5 mới nhất trên, các em học sinh tham khảo các bài giải bài tập môn Toán lớp 6, Ngữ văn 6, Vật lý 6, Sinh học 6, Lịch sử 6,.... và các dạng đề thi học kì 2 chi tiết đầy đủ được cập nhật thường xuyên trên trang VnDoc.com.