Đề thi học kì 1 lớp 12 môn Toán năm 2018 - 2019 trường THPT Cao Bá Quát - Hà Nội
Đề kiểm tra Toán 12 học kì 1
Lớp:
Lớp 12
Dạng tài liệu:
Đề thi
Thời gian:
Học kì 1
Loại File:
PDF
Phân loại:
Tài liệu Tính phí
Đề thi học kì 1 môn Toán lớp 12 năm 2018 - 2019
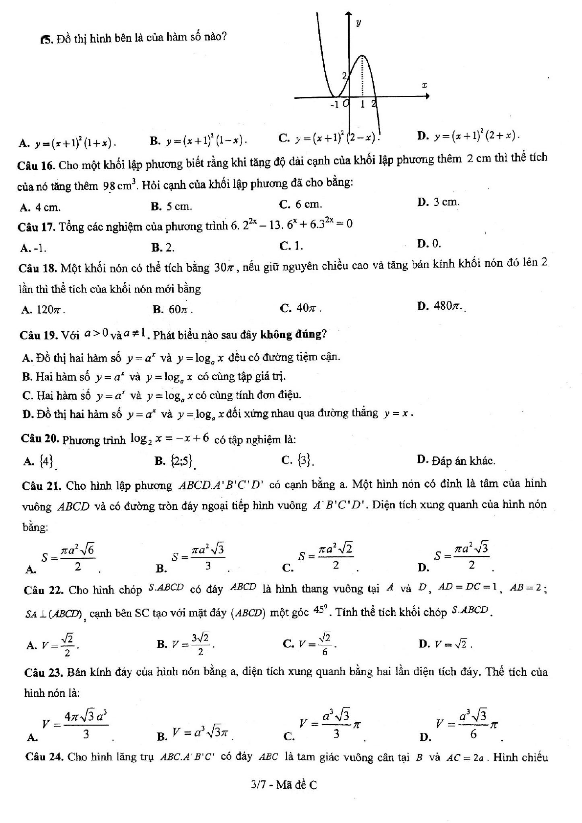
VnDoc xin giới thiệu tới bạn đọc Đề thi học kì 1 lớp 12 môn Toán năm 2018 - 2019 trường THPT Cao Bá Quát - Hà Nội. Tài liệu gồm 50 câu hỏi trắc nghiệm, thời gian làm bài 90 phút. Mời các bạn học sinh tham khảo.


