Đề thi học kỳ 1 môn Toán lớp 12 năm học 2017 - 2018 trường THPT Lê Hồng Phong, Nam Định
VnDoc xin giới thiệu tới bạn đọc tài liệu: Đề thi học kỳ 1 môn Toán lớp 12 năm học 2017 - 2018 trường THPT Lê Hồng Phong, Nam Định. Với bộ câu hỏi trắc nghiệm gồm 50 câu kèm theo đáp án sẽ là nguồn thông tin hữu ích giúp các bạn học sinh lớp 12 học tốt hơn môn Toán.
Đề thi học kỳ 1 môn Toán lớp 12
Chi tiết đề thi học kỳ 1 môn Toán lớp 12
| TRƯỜNG THPT CHUYÊN LÊ HỒNG PHONG |
ĐỀ KHẢO SÁT CHẤT LƯỢNG HỌC KỲ I NĂM HỌC 2017- 2018 Môn: Toán - Lớp: 12 ABD Thời gian làm bài: 90 phút |
Câu 1: Cho hàm số y = x4 - 2mx2 + m (C) với m là tham số thực. Gọi A là điểm thuộc đồ thị (C) có hoành độ bằng 1. Tìm tham số m để tiếp tuyến với đồ thị (C) tại A cắt đường tròn (T ) : x2 + ( y - 1)2 = 4 tạo thành một dây cung có độ dài nhỏ nhất.
A. m = 16/13
B. m = - 13/16
C. m = 13/16
D. m = - 16/13
Câu 2: Có bao nhiêu loại khối đa điện đều mà mỗi mặt của nó là một tam giác đều?
A. 3
B. 1
C. 5
D. 2
Câu 3: Cho hàm số y = f ( x) có đồ thị y = f'( x) cắt trục Ox tại ba điểm có hoành độ a < b < c như hình vẽ. Xét 4 mệnh đề sau
(1): f (c) > f (a) > f (b)
(2): f (c) > f (b) > f (a)
(3): f (a) > f (b) > f (c)
(4): f (a) > f (b)
Trong các mệnh đề trên có bao nhiêu mệnh đề đúng?
A. 4
B. 1
C. 2
D. 3
Câu 4: Cho một đa giác đều 2n đỉnh (n ≥ 2, n ∈ ¥) . Tìm n biết số hình chữ nhật được tạo ra từ bốn đỉnh trong số 2n đỉnh của đa giác đó là 45.
A. n 12
B. n 10
C. n 9
D. n 45

A. I = 2
B. I = 5/2
C. I = 4
D. I = 3/2
Câu 6: Trong không gian với hệ tọa độ Oxyz , cho hai mặt phẳng (P ) : x + (m + 1) y - 2z + m = 0 và (Q ) : 2 x - y + 3 = 0, với m là tham số thực. Để (P) và (Q) vuông góc thì giá trị của m bằng bao nhiêu?
A. m = -5
B. m = 1
C. m = 3
D. m = -1
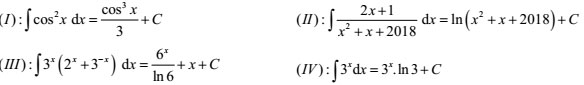
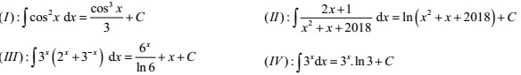
Câu 7: Cho bốn mệnh đề sau:

Trong các mệnh đề trên có bao nhiêu mệnh đề sai?
A. 3
B. 1
C. 2
D. 4
Câu 8: Cho hình chóp S.ABC có SA vuông góc mặt phẳng (ABC) tam giác ABC vuông tại B. Biết SA = 2a, AB = a, BC = a
\(\sqrt{3}\). Tính bán kính R của mặt cầu ngoại tiếp hình chóp đã cho.
A. a
B. 2a
C. a
\(\sqrt{2}\)
D. 2a
\(\sqrt{2}\)
Đề thi học kỳ 1 môn Toán lớp 12 năm học 2017 - 2018 trường THPT Sóc Sơn, Kiên Giang
Đề kiểm tra học kỳ 1 môn Toán 12 năm học 2017 - 2018, trường THPT chuyên Đại học Sư Phạm Hà Nội
Đề thi học kỳ 1 môn Toán lớp 12 năm học 2017 - 2018, trường THPT Yên Lạc 2, Vĩnh Phúc
Đề thi học kỳ 1 môn Toán lớp 12 năm học 2017 - 2018 trường THPT chuyên Trần Phú - Hải Phòng
------------------------------------
Trên đây VnDoc.com đã giới thiệu tới bạn đọc tài liệu: Đề thi học kỳ 1 môn Toán lớp 12 năm học 2017 - 2018 trường THPT Lê Hồng Phong, Nam Định. Để có kết quả cao hơn trong học tập, VnDoc xin giới thiệu tới các bạn học sinh tài liệu Đề thi học kì 1 lớp 12, Thi thpt Quốc gia môn Toán, Thi thpt Quốc gia môn Vật Lý mà VnDoc tổng hợp và đăng tải.
