Đề thi học kỳ II lớp 12 trường THPT Phạm Văn Đồng năm 2012 - 2013 môn Toán
Vndoc.com xin gửi đến các bạn: Đề thi học kỳ II lớp 12 trường THPT Phạm Văn Đồng năm 2012 - 2013 môn Toán.
Đề thi học kỳ II môn Toán:
SỞ GIÁO DỤC VÀ ĐÀO TẠO PHÚ YÊN
|
ĐỀ THI HỌC KÌ II NĂM 2012-2013MÔN THI: TOÁN - LỚP 12 |
I . PHẦN CHUNG CHO TẤT CẢ THÍ SINH (7,0 điểm)
Câu 1 (3,0 điểm)
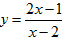
Cho hàm số ![]()
1) Khảo sát sự biến thiên và vẽ đồ thị (C) của hàm số.
2) Viết phương trình tiếp tuyến của đồ thị (C ) tại giao điểm của (C ) với trục hoành .
Câu 2 (3,0 điểm)
1) Giải phương trình 9x - 31-x.9x - 4 = 0
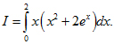
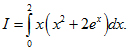
2) Tính tích phân 
3) Tìm a để hàm số
đồng biến trên đoạn [1; 2].
Câu 3 (1,0 điểm)
Cho hình chóp S.ABCD có đáy ABCD là hình bình hành , AB = 2a; AD = a, góc BAD = 60o, cạnh SA vuông góc với mặt đáy, biết góc giữa cạnh SD với mặt đáy bằng 60o. Tính thể tích của khối chóp S.ABCD theo a.
II. PHẦN RIÊNG- PHẦN TỰ CHỌN (3,0 điểm).
Thí sinh chỉ được làm một trong hai phần (phần 1 hoặc 2)
1. Theo chương trình chuẩn (3,0 điểm)
Câu 4.a (2,0 điểm)
Trong không gian với hệ tọa độ Oxyz, cho hai điểm A(1 ; 2; -1); B(2; 0; 1) và mặt phẳng (P) có phương trình 2x - y + 3z - 3 = 0.
1) Viết phương trình mặt phẳng (OAB).
2) Viết phương trình mặt cầu tâm A và tiếp xúc với mặt phẳng (P).
Câu 5.a (1,0 điểm)
Gọi là hai nghiệm của phương trình 2z2 -3z +2 = 0. Tính .
2. Theo chương trình nâng cao (3,0 điểm)
Câu 4.b (2,0 điểm)
Trong không gian với hệ tọa độ Oxyz, cho điểm A(2 ; -1; 3) và mặt phẳng (P) có phương trình x - 2y -2z - 10 = 0.
1) Viết phương trình đường thẳng d đi qua A và vuông góc với mặt phẳng (P).
2) Viết phương trình mặt phẳng (Q) chứa đường thẳng OA và vuông góc với mặt phẳng (P).
Câu 5.b (1,0 điểm)
Viết dạng lượng giác của số phức z = 2 - 2√3.i