Giao diện mới của VnDoc Pro: Dễ sử dụng hơn - chỉ tập trung vào lớp bạn quan tâm. Vui lòng chọn lớp mà bạn quan tâm: Lưu và trải nghiệm
Đóng
Điểm danh hàng ngày
  • Hôm nay +3
  • Ngày 2 +3
  • Ngày 3 +3
  • Ngày 4 +3
  • Ngày 5 +3
  • Ngày 6 +3
  • Ngày 7 +5
Bạn đã điểm danh Hôm nay và nhận 3 điểm!
Nhắn tin Zalo VNDOC để nhận tư vấn mua gói Thành viên hoặc tải tài liệu Hotline hỗ trợ: 0936 120 169

Đề thi học sinh giỏi lớp 9 THCS tỉnh Vĩnh Phúc năm 2014

Lớp: Lớp 9
Dạng tài liệu: Đề thi HSG
Loại File: PDF
Phân loại: Tài liệu Tính phí

SỞ GIÁO DỤC & ĐÀO TẠO
VĨNH PHÚC

ĐỀ THI CHÍNH THỨC

KỲ THI CHỌN HSG LỚP 9 NĂM HỌC 2013-2014
ĐỀ THI MÔN: TOÁN

(Thời gian làm bài: 150 phút, không kể thời gian giao đề)

Câu 1 (3,0 điểm).

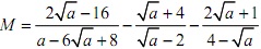
a) Cho biểu thức: Đề thi học sinh giỏi lớp 9 THCS tỉnh Vĩnh Phúc năm 2014. Tìm tất cả các giá trị nguyên của a để giá trị của M là một số nguyên.

b) Cho đa thức P(x) = ax2 + bx + c thỏa mãn đồng thời các điều kiện P(x) ≥ 0 với mọi số thực x và b > a. Tìm giá trị nhỏ nhất của biểu thức: Đề thi học sinh giỏi lớp 9 THCS tỉnh Vĩnh Phúc năm 2014

Câu 2 (2,0 điểm).

Tìm tất cả các giá trị của tham số m để phương trình sau vô nghiệm: Đề thi học sinh giỏi lớp 9 THCS tỉnh Vĩnh Phúc năm 2014

Câu 3 (1,0 điểm).

Cho p là số nguyên tố lớn hơn 5. Chứng minh rằng số Đề thi học sinh giỏi lớp 9 THCS tỉnh Vĩnh Phúc năm 2014 chia hết cho 60.

Câu 4 (3,0 điểm).

Cho đường tròn (O) có tâm là O và bán kính bằng R. Hai điểm phân biệt B, C cố định nằm trên (O) sao cho BC = a < 2R. Gọi A là điểm bất kì thuộc cung lớn BC của (O), A không trùng với B, C. Gọi D là chân đường phân giác trong kẻ từ A của tam giác ABC. Hai điểm E, F lần lượt là tâm đường tròn ngoại tiếp các tam giác ADB và ADC.

a) Chứng minh rằng hai tam giác AEO và ADC đồng dạng.

b) Tính diện tích tứ giác AEOF theo a và R .

c) Chứng minh rằng khi điểm A thay đổi thì E di chuyển trên một đường thẳng cố định.

Câu 5 (1,0 điểm).

Trên một đường tròn cho 21 điểm phân biệt. Mỗi một điểm được tô bởi một trong 4 màu: xanh, đỏ, tím, vàng. Giữa mỗi cặp điểm nối với nhau bằng một đoạn thẳng được tô bởi một trong 2 màu: nâu hoặc đen. Chứng minh rằng luôn tồn tại một tam giác có ba đỉnh được tô cùng một màu (xanh, đỏ, tím hoặc vàng) và ba cạnh cũng được tô cùng một màu (nâu hoặc đen).

Chọn file muốn tải về:
Đóng Chỉ thành viên VnDoc PRO/PROPLUS tải được nội dung này!
Đóng
79.000 / tháng
Đặc quyền các gói Thành viên
PRO
Phổ biến nhất
PRO+
Tải tài liệu Cao cấp 1 Lớp
30 lượt tải tài liệu
Xem nội dung bài viết
Trải nghiệm Không quảng cáo
Làm bài trắc nghiệm không giới hạn
Mua cả năm Tiết kiệm tới 48%

Có thể bạn quan tâm

Xác thực tài khoản!

Theo Nghị định 147/2024/ND-CP, bạn cần xác thực tài khoản trước khi sử dụng tính năng này. Chúng tôi sẽ gửi mã xác thực qua SMS hoặc Zalo tới số điện thoại mà bạn nhập dưới đây:

Số điện thoại chưa đúng định dạng!
Số điện thoại này đã được xác thực!
Bạn có thể dùng Sđt này đăng nhập tại đây!
Lỗi gửi SMS, liên hệ Admin
Sắp xếp theo
🖼️

Thi học sinh giỏi lớp 9

Xem thêm
🖼️

Gợi ý cho bạn

Xem thêm