Đề thi thử THPT Quốc gia 2024 môn Sinh học bám sát đề minh họa - Đề 2
Đề thi thử bám sát đề minh họa 2024 môn Sinh - Đề 2
VnDoc.com xin gửi tới bạn đọc bài viết Đề thi thử THPT Quốc gia 2024 môn Sinh học bám sát đề minh họa - Đề 2 để bạn đọc cùng tham khảo. Bài viết được tổng hợp gồm có 40 câu hỏi trắc nghiệm, thí sinh làm bài trong thời gian 50 phút. Đề có đáp án và lời giải chi tiết kèm theo. Mời các bạn cùng theo dõi và tham khảo thêm đề thi các môn tại mục Thi THPT Quốc gia nhé.
1. Đề thi thử bám sát đề minh họa 2024 môn Sinh
Câu 81: Tập hợp những con bọ ngựa sống trong một khu vườn có thể là
A. Hệ sinh thái bọ ngựa.
B. Cá thể bọ ngựa.
C. Quần thể bọ ngựa.
D. Quần xã bọ ngựa.
Câu 82: Ở loài có bộ NST lưỡng bội 2n = 14, một cơ thể có số NST trong nhân tế bào sinh dưỡng bằng 15. Cơ thể này là thể đột biến dạng
A. thể ba.
B. thể tứ bội.
C. thể tam bội.
D. thể một.
Câu 83: Một số loài chim nhỏ thường đậu trên lưng và nhặt các loài kí sinh trên cơ thể động vật móng guốc làm thức ăn. Mối quan hệ giữa chim nhỏ và động vật móng guốc nói trên thuộc mối quan hệ
A. cộng sinh.
B. hợp tác.
C. hội sinh.
D. sinh vật ăn sinh vật khác.
Câu 84: Thành phần nào sau đây thuộc thành phấn cấu trúc của hệ sinh thái mà không thuộc thành phần cấu trúc của quần xã?
A. Các loài thực vật.
B. Xác chết sinh vật.
C. Các loài động vật.
D. Các loài vi sinh vật.
Câu 85: Tiếp hợp và trao đổi chéo cân giữa 2 cromatit khác nguồn gốc sẽ gây ra hiện tượng
A. đảo đoạn NST.
B. mất đoạn và lặp NST.
C. đa bội.
D. hoán vị gen
Câu 86: Nhân tố tiến hóa nào sau đây không làm thay đổi tần số alen của quần thể?
A. Yếu tố ngẫu nhiên.
B. Di – nhập gen.
C. Giao phối không ngẫu nhiên.
D. Chọn lọc tự nhiên.
Câu 87: Quần thể nào sau đây đạt trạng thái cân bằng di truyền?
A. 0,3AA + 0,6Aa + 0,1aa = 1.
B. 0,49AA + 0,40Aa + 0,11aa = 1.
C. 0,36AA + 0,48Aa + 0,16aa = 1.
D. 0,5AA + 0,5aa = 1.
Câu 88: Trong công nghệ tế bào, phương pháp nuôi cấy hạt phấn, sau đó gây lưỡng bội hóa tạo ra giống cây trồng có đặc điểm nào sau đây?
A. Thuần chủng.
B. Có nguồn gen từ 2 loài khác nhau.
C. Có kiểu gen dị hợp
D. Có ưu thế lai cao.
Câu 89: Cho biết cơ thể tứ bội giảm phân chỉ sinh ra giao tử lưỡng bội. Cơ thể AAaaBBbb sẽ cho giao tử mang 2 alen trội chiếm tỉ lệ là?
A.50%.
B. 25%.
C. 37,5%.
D. 75%.
Câu 90: Sự biến đổi trong cấu trúc của gen được gọi là
A. trao đổi chéo.
B. thường biến.
C. đột biến NST.
D. đột biến gen.
Câu 91: Tài nguyên nào sau đây là tài nguyên tái sinh?
A. Phi kim.
B. Năng lượng thủy triều.
C. Năng lượng sóng.
D. Đa dạng sinh học
Câu 92: Theo thuyết tiến hóa hiện đại, quá trình tiến hóa nhỏ xảy ra ở cấp độ nào?
A. Cá thể.
B. Quần thể.
C. Loài.
D. Quần xã.
Câu 93: Một phân tử ADN ở vi khuẩn có tỉ lệ (A + T)/(G + X) = 2/3. Theo lí thuyết, tỉ lệ nuclêôtit loại G của phân tử này là
A. 20%.
B. 60%.
C. 30%.
D. 15%.
Câu 94: Một NST có trình tự các gen là ABCDE*GHIK bị đột biến, NST sau đột biến có trình tự gen ABE*GHIK. NST trên đã bị đột biến cấu trúc dạng
A. đảo đoạn.
B. chuyển đoạn.
C. lặp đoạn.
D. mất đoạn.
Câu 95: Biết mỗi cặp gen quy định một cặp tính trạng tương phản, alen trội là trội hoàn toàn, theo lí thuyết, phép lai nào sau đây cho đời con có 4 loại kiểu gen, 4 loại kiểu hình?
A. AaBb × Aabb.
B.
\(\frac{AB}{ab} \times \frac{AB}{ab}\).
C. Aabb x aaBB.
D.
\(\frac{Ab}{ab} \times \frac{aB}{ab}\).
Câu 96: Khi theo dõi tính trạng màu mắt ở ruồi giấm, Moocgan đã làm thí nghiệm như sau:
|
Phép lai thuận |
Phép lai nghịch |
|
Pt/c: ♀ Mắt đỏ × ♂ Mắt trắng |
Pt/c: ♀ Mắt trắng × ♂ Mắt đỏ |
|
F1: 100% ♂, ♀ mắt đỏ. |
F1: 100% ♀ mắt đỏ: 100% ♂ mắt trắng. |
|
F2: 100% ♀ mắt đỏ: 50% ♂ mắt đỏ: 50% ♂ mắt trắng. |
F2: 50% ♀ mắt đỏ: 50% ♀ mắt trắng: 50% ♂ mắt đỏ: 50% ♂ mắt trắng. |
Kết luận đúng về gen quy định tính trạng màu mắt là
A. gen nằm trên NST thường.
B. gen nằm trên vùng không tương đồng của NST X.
C. gen nằm trên vùng không tương đồng của NST Y.
D. gen nằm trong tế bào chất.
Câu 97: Trong hô hấp ở thực vật, năng lượng của chất hữu cơ được giải phóng ra ở dạng
A. điện năng.
B. nhiệt năng và ATP.
C. cơ năng.
D. quang năng.
Câu 98: Xác voi Mamut được bảo quản gần như nguyên vẹn trong các lớp băng là bằng chứng tiến hoá nào sau đây?
A. Sinh học phân tử.
B. Hóa thạch.
C. Giải phẫu so sánh.
D. Tế bào học.
Câu 99: Người ta thực hiện dung hợp 2 tế bào sinh dưỡng của 2 cây khác loài (cây M có kiểu gen Aabb và cây N có kiểu gen EeGg), tiếp đó nuôi tế bào lai trong môi trường thích hợp thành cây hoàn chỉnh. Theo lí thuyết, kết quả sẽ tạo được cây lai có kiểu gen là
A. AabbeeGG.
B. AabbEg.
C. AbEG.
D. AabbEeGg.
Câu 100: Ở một loài thực vật, tính trạng màu sắc hoa do hai gen không alen phân li độc lập quy định. Trong kiểu gen, khi có đồng thời cả hai loại alen trội A và B thì cho hoa đỏ, khi chỉ có một loại alen trội A hoặc B thì cho hoa hồng, còn khi không có alen trội nào thì cho hoa trắng. Cho cây hoa trắng giao phấn với cây hoa đỏ (P), thu được F1 3 loại kiểu hình. Biết rằng không xảy ra đột biến. Có bao nhiêu kiểu gen của cây hoa đỏ ở P thỏa mãn phép lai trên?
A. 1.
B. 2.
C. 3.
D. 4.
Câu 101: Cá rô phi Việt Nam chịu lạnh đến 5,60C, dưới nhiệt độ này cá chết. Khả năng chịu nóng đến 420C, trên nhiệt độ này cá cũng sẽ chết, các chức năng sống biểu hiện tốt nhất từ 200C đến 350C. Khoảng thuận lợi trong giới hạn sinh thái về nhiệt độ của cá rô phi nuôi ở nước ta là
A. 5,60C – 420C.
B. 350C – 420C.
C. 250C – 300C.
D. 200C – 350C.
Câu 102: Động vật nào sau đây có dạ dày 4 ngăn?
A. Mèo.
B. Dê.
C. Thỏ.
D. Ngựa.
Câu 103: Khi nói về đột biến gen, phát biểu nào sau đây đúng?
A. Đột biến gen có thể xảy ra ở tế bào sinh dưỡng và tế bào sinh dục.
B. Đột biến thay thế 1 cặp nuclêôtit làm tăng tổng số nuclêôtit của gen.
C. Đa số đột biến điểm có hại, một số đột biến điểm trung tính, một số có lợi.
D. Đột biến gen cung cấp nguyên liệu thứ cấp cho quá trình tiến hóa và chọn giống.
Câu 104: Hiện tượng 4 cặp gen không alen tương tác với nhau quy định kiểu hình chiều cao của cây, trong đó mỗi alen lặn đều làm cho cây thấp thêm 2 cm là
A. tác động đa hiệu của gen.
B. tương tác cộng gộp.
C. tương tác bổ sung 9: 6: 1.
D. tương tác bổ sung 9: 7.
Câu 105: Trong quá trình tiến hóa của sự sống, prôtêin được hình thành từ chất vô cơ ở giai đoạn
A. tiến hoá sinh học.
B. tiến hoá tiền sinh học.
C. tiến hoá hoá học.
D. tiến hoá nhỏ.
Câu 106: Khi nghiên cứu một quần thể cá, người ta ghi nhận được 54% số cá thể đang ở giai đoạn trước sinh sản; 28% số cá thể đang ở giai đoạn sinh sản và 18% số cá thể đang ở giai đoạn sau sinh sản. Đây là một ví dụ về đặc trưng nào của quần thể?
A. Tỷ lệ đực/cái.
B. Thành phần nhóm tuổi.
C. Sự phân bố cá thể.
D. Mật độ cá thể.
Câu 107: Hình dưới đây thể hiện một nhóm gồm 7 tế bào sinh tinh đều có kiểu gen AaBb đang ở kì giữa và kì cuối giảm phân I theo 3 trường hợp; trong đó có 4 tế bào diễn ra theo trường hợp 1; 1 tế bào diễn ra theo trường hợp 2; 2 tế bào diễn ra theo trường hợp 3; các giai đoạn còn lại của giảm phân diễn ra bình thường.

Trong số các giao tử tạo ra khi kết thúc giảm phân, loại giao tử đột biến chiếm tỉ lệ bằng
A. 1/5.
B. 2/7.
C. 1/14.
D. 1/7.
Câu 108: Khi nói về quang hợp ở thực vật, phát biểu nào sau đây sai?
A. Giai đoạn cố định CO2 diễn ra trong tế bào chất.
B. Pha sáng cung cấp ATP và NADPH cho pha tối.
C. Pha sáng diễn ra ở màng thilacôit, pha tối diễn ra ở chất nền lục lạp.
D. Quá trình quang hợp cần sử dụng năng lượng ánh sáng.
Câu 109: Hiện tượng khống chế sinh học có vai trò
A. tiêu diệt các loài bất lợi cho sinh vật.
B. làm giảm độ đa dạng của quần xã.
C. thiết lập trạng thái cân bằng sinh học trong tự nhiên.
D. làm tăng độ đa dạng của quần xã.
Câu 110: Khi nói về chuyển hóa vật chất và năng lượng ở động vật, có bao nhiêu phát biểu sau đây đúng?
I. Ở môi trường nước, cá xương là nhóm trao đổi khí hiệu quả nhất.
II. Ở thú, máu trong các động mạch đều là máu đỏ tươi.
III. Tất cả các động vật có túi tiêu hóa đều tiêu hóa ngoại bào và nội bào.
IV. Tất cả các loài có hệ tuần hoàn hở đều thực hiện trao đổi khí bằng ống khí.
A. 2.
B. 3.
C. 4.
D. 1.
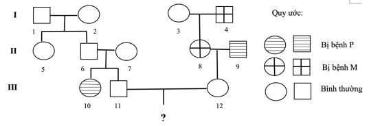
Câu 111: Phả hệ sau mô tả sự di truyền 2 bệnh: bệnh P do 1 trong 2 alen của gen quy định, bệnh M do gen lặn nằm trên vùng không tương đồng của NST giới tính X quy định.

Theo lí thuyết, xác suất sinh con bình thường của cặp vợ chồng 11-12 là
A. 5/8.
B. 5/18
C. 1/5.
D. 1/8.
Câu 112: Trong 3 hồ cá tự nhiên, xét 3 quần thể của cùng một loài, số lượng cá thể của mỗi nhóm tuổi ở mỗi quần thể như sau:
|
Quần thể |
Tuổi trước sinh sản |
Tuổi sinh sản |
Tuổi sau sinh sản |
|
Số 1 |
150 |
149 |
120 |
|
Số 2 |
250 |
70 |
20 |
|
Số 3 |
50 |
120 |
155 |
Có bao nhiêu kết luận đúng trong số các nhận định sau?
I. Quần thể số 2 có kích thước đang tăng lên.
II. Quần thể số 1 có kích thước bé nhất.
III. Quần thể số 3 được khai thác ở mức độ phù hợp.
IV. Quần thể số 3 đang có sự tăng trưởng số lượng cá thể.
A. 3
B. 2
C. 1
D. 4.
Câu 113: Một hệ sinh thái có hai loài sên biển Ba và Cc là động vật ăn tảo cùng sinh sống. Một thí nghiệm được tiến hành để tìm hiểu tác động của mật độ sên biển (tổng cộng cả hai loài) lên khả năng sinh trưởng (g/g sinh khối ban đầu) của chúng và mật độ của tảo (µm2 bề mặt tảo/µm2 diện tích đáy). Số liệu được trình bày ở hình dưới.

Có bao nhiêu nhận định sau đúng?
I. Khi các quần thể mới hình thành, quần thể Ba có khả năng sinh trưởng kém hơn quần thể Cc.
II. Tốc độ sinh trưởng của loài Ba giảm nhanh hơn so với loài Cc khi độ phong phú của sên biển trong môi trường tăng.
III. Loài Cc có ưu thế cạnh tranh cao hơn loài Ba khi nguồn thức ăn trong môi trường suy giảm.
IV. Khi nguồn sống giảm, khả năng sinh trưởng của một số loài tham gia cạnh tranh có thể giảm nhưng ưu thế cạnh tranh của chúng lại tăng.
A. 1.
B. 2.
C. 3.
D. 4.
Câu 114: Hình ảnh sau đây mô tả quá trình hình thành loài khác khu vực địa lí ở kỳ giông từ quần thể kỳ giông Oregon. Hãy nghiên cứu hình ảnh và sắp xếp các giai đoạn sau theo trình tự đúng

(1) Các quần thể sống trong hai môi trường khác nhau, không giao phối được với nhau và được chọn lọc tự nhiên tích lũy các đột biến, các biến dị tổ hợp theo các hướng khác nhau.
(2) Hình thành các nòi địa lí khác nhau.
(3) Quần thể Oregon (quần thể ban đầu) sống trong môi trường tương đối đồng nhất mở rộng khu phân bố.
(4) Các nòi địa lí trải qua những thay đổi di truyền đến mức vốn gen của mỗi quần thể được cách li hoàn toàn không thể giao phối với các cá thể của quần thể khác và với quần thể ban đầu thì loài mới hình thành.
(5) Các quần thể bị cách li bởi các chướng ngại vật địa lí.
A. (2)→(1)→(3)→(5)→(4).
B. (1)→(3)→(4)→(5)→(2).
C. (3)→(5)→(1)→(2)→(4).
D. (5)→(3)→(1)→(2)→(4).
Câu 115: Một loài thực vật lưỡng bội, xét 3 gen trên 2 cặp nhiễm sắc thể, trong đó cặp gen A,a và B,b nằm trên 1 cặp NST, cặp Dd nằm trên cặp NST còn lại, các gen liên kết hoàn toàn và trội hoàn toàn, cho biết không có hoán vị gen xảy ra. Cho 2 cây (P) có kiểu hình trội về cả 3 tính trạng giao phấn với nhau, tạo ra F1 có tỉ lệ kiểu hình là 6:3:3:2:1:1. Theo lý thuyết, có bao nhiêu phép lai P thõa mãn kết quả ở F1?
A. 2.
B. 4.
C. 3.
D. 5.
Câu 116: Ở vi khuẩn E. coli, giả sử có 4 chủng mang đột biến liên quan đến Operon lac. Các đột biến này được mô tả trong bảng sau.
|
Chủng 1 |
R+ P+ O+ Z+ Y+ A- |
|
Chủng 3 |
R- P+ O+ Z+ Y+ A+ |
|
Chủng 2 |
R+ P- O+ Z+ Y+ A+ |
Chủng 4 |
R+ P+ O- Z+ Y+ A+ |
|
|
R: gen điều hòa; P: vùng khởi động, O: vùng vận hành, Z, Y, A: các gen cấu trúc. |
||||
Trong đó, các dấu cộng (+) chỉ gen /thành phần có chức năng bình thường, dấu trừ (–) chỉ gen /thành phần bị đột biến mất chức năng. Theo lý thuyết, khi môi trường có lactose, có bao nhiêu chủng sẽ tiến hành phiên mã các gen cấu trúc?
A. 2.
B. 4.
C. 1.
D. 3.
Câu 117: Một loài vi sinh vật có bộ NST lưỡng bội 2n = 8. Khi phân tích bộ NST của 4 thể đột biến (A, B, C và D) người ta thu được kết quả như biểu đồ bên. Theo lý thuyết, trong các phát biểu sau, có bao nhiêu phát biểu đúng về các thể đột biến trên?

I. Thể đột biến A có thể được hình thành qua nguyên phân hoặc giảm phân.
II. Thể đột biến B có thể được hình thành qua nguyên phân hoặc giảm phân.
III. Thể đột biến C và D được hình thành do rối loạn phân bào trong quá trình tạo giao tử của một bên bố hoặc mẹ.
IV. Thể đột biến B ứng dụng trong tạo dưa hấu không hạt.
A. 4.
B. 3.
C. 1.
D. 2.
Câu 118: Ở một loài thực vật, cho cơ thể (P) có kiểu gen dị hợp 2 cặp gen tự thụ phấn thu được F1. Biết rằng mỗi gen quy định một tính trạng, trội lặn hoàn toàn, cả 2 gen đang xét cùng nằm trên 1 NST thường; trong quá trình giảm phân tạo giao tử chỉ xảy ra hoán vị gen ở 1 giới. Trong số các phát biểu được cho dưới đây, có bao nhiêu phát biểu đúng?
I. Tỉ lệ cây mang 3 alen trội bằng tỉ lệ cây mang 1 alen trội.
II. Cây mang 4 alen trội không thể có tỉ lệ bằng cây mang 3 alen trội.
III. Lấy ngẫu nhiên 1 cây mang 2 alen trội, xác suất thu được cây thuần chủng có thể là 50%.
IV. Có 2 phép lai (P) có thể xảy ra.
A. 2.
B. 3.
C. 1.
D. 4.
Câu 119: Khi quan sát về khả năng lọc nước của một loài thân mềm (sphaerium corneum), người ta có bảng số liệu sau:
|
Số lượng (con) |
1 |
5 |
10 |
15 |
20 |
|
Tốc độ lọc (ml/giờ) |
3,4 |
6,9 |
7,5 |
5,2 |
3,8 |
Căn cứ vào bảng trên, em hãy cho biết nhận xét nào sau đây không đúng?
A. Đây là ví dụ về hỗ trợ cùng loài.
B. Tốc độ lọc tốt nhất là 7,5 ml/giờ (10 con).
C. Số lượng cá thể càng nhiều thì tốc độ lọc càng nhanh.
D. Ví dụ trên phản ánh hiệu quả nhóm.
Câu 120: Một gen có 2 alen nằm trên NST giới tính X ở đoạn không tương đồng với Y, alen lặn quy định tính trạng bệnh, alen trội quy định tính trạng bình thường. Tỷ lệ người bị bệnh trong quần thể người là 0,0208. Hai người bình thường không có quan hệ họ hàng kêt hôn với nhau, cho rằng quần thể có sự cân bằng di truyền về tính trạng trên. Xác suất để sinh con bị bệnh của cặp vợ chồng trên là:
A. 1,92%
B. 1,84%
C. 0,96%
D. 0,92%
2. Đáp án đề thi thử bám sát đề minh họa 2024 môn Sinh
|
81. C |
82. A |
83. B |
84. B |
85. D |
86. C |
87. C |
88. A |
89. A |
90. D |
|
91. D |
92. B |
93. C |
94. D |
95. D |
96. B |
97. B |
98. B |
99. D |
100. A |
|
101. D |
102. B |
103. A |
104. B |
105. C |
106. B |
107. B |
108. A |
109. C |
110. A |
|
111. A |
112. C |
113. B |
114. C |
115. A |
116. D |
117. B |
118. B |
119. C |
120. A |
- Đáp án đề minh họa 2024 môn Sinh học
- Đề thi thử THPT Quốc gia 2024 môn Sinh học bám sát đề minh họa - Đề 3