Đề thi thử THPT Quốc gia 2024 môn Sinh học bám sát đề minh họa - Đề 3
Đề thi thử bám sát đề minh họa 2024 môn Sinh - Đề 3
Đề thi thử THPT Quốc gia 2024 môn Sinh học bám sát đề minh họa - Đề 3 được VnDoc.com sưu tầm và xin gửi tới bạn đọc cùng tham khảo. Bài viết được tổng hợp gồm cso 40 câu hỏi trắc nghiệm, thí sinh làm bài trong thời gian 50 phút. Đề thi có đáp án và lời giải chi tiết kèm theo. Mời các bạn cùng theo dõi bài viết dưới đây để có thêm tài liệu ôn thi THPT Quốc gia nhé.
1. Đề thi thử bám sát đề minh họa 2024 môn Sinh
Câu 81: Cá mập con khi mới nở ra sử dụng ngay các trứng chưa nở làm thức ăn. Đây là ví dụ về mối quan hệ
A. hỗ trợ khác loài
B. sinh vật này ăn sinh vật khác
C. cạnh tranh cùng loài
D. hỗ trợ cùng loài.
Câu 82: Axit amin Serin có 6 codon (UXU, UXX, UXA, UXG, AGU, AGX) cùng giải mã, điều này chứng tỏ mã di truyền có tính
A. đặc hiệu
B. phổ biến
C. đa dạng.
D. thoái hóa.
Câu 83: Nhân tố sinh thái nào sau đây bị chi phối bởi mật độ cá thể của quần thể cải xanh (Brassica sp.)?
A. Rệp xám.
B. Độ pH.
C. Nhiệt độ.
D. Ánh sáng.
Câu 84: Thành phần nào sau đây thuộc thành phấn cấu trúc của hệ sinh thái mà không thuộc thành phần cấu trúc của quần xã?
A. Các loài thực vật.
B. Xác chết sinh vật.
C. Các loài động vật.
D. Các loài vi sinh vật.
Câu 85: Một loài thực vật có bộ NST lưỡng bội (2n). Cây đột biến dạng thể một được phát sinh từ loài này có bộ NST là
A. n.
B. n – 1.
C. 2n - 1.
D. 2n + 1.
Câu 86: Các vụ cháy rừng, bão lũ, dịch bệnh là các ví dụ về loại nhân tố tiến hoá
A. giao phối không ngẫu nhiên.
B. các yếu tố ngẫu nhiên.
C. giao phối ngẫu nhiên.
D. chọn lọc tự nhiên.
Câu 87: Trong một quần thể ngẫu phối ở trạng thái cân bằng di truyền, xét một lôcut gồm 2 alen A và a, tần số alen A là 0,2 thì cấu trúc di truyền của quần thể này là
A. 0,64 AA : 0,32 Aa : 0,04 aa.
B. 0,01 AA : 0,18 Aa : 0,81 aa.
C. 0,25 AA : 0,5 Aa : 0,25 aa.
D. 0,04 AA : 0,32 Aa : 0,64 aa.
Câu 88: Quá trình tạo giống lai có ưu thế lai dựa trên nguồn biến dị nào?
A. Đột biến số lượng NST.
B. Biến dị tổ hợp.
C. Đột biến cấu trúc NST.
D. Đột biến gen.
Câu 89: Ở một loài thực vật, khi trong kiểu gen có cả gen A và gen B thì hoa có màu đỏ. Nếu trong kiểu gen chỉ có A hoặc chỉ có B thì hoa có màu vàng. Nếu không có gen A và B thì hoa có màu trắng. Tính trạng di truyền theo quy luật
A. tương tác cộng gộp.
B. trội hoàn toàn
C. tương tác bổ sung.
D. gen đa hiệu.
Câu 90: Gen ban đầu có cặp nuclêôtit chứa T dạng hiếm (T*) là A – T*, sau đột biến cặp này biến đổi thành cặp:
A. T – A.
B. A – T.
C. G – X.
D. X – G.
Câu 91: Tính đa dạng về loài của quần xã thể hiện ở:
A. độ phong phú về số lượng loài và số lượng cá thể của mỗi loài trong quần xã.
B. mật độ cá thể của từng loài trong quần xã.
C. tỉ lệ % số địa điểm bắt gặp một loài trong tổng số địa điểm quan sát.
D. số loài đóng vai trò quan trọng trong quần xã.
Câu 92: Ở một loài thực vật, các đổ biến thể một nhiễm vẫn có sức sống và khả năng sinh sản. Cho thể đột biến (2n – 1) tự thụ phấn, biết rằng các giao từ (n – 1) vẫn có khả năng thụ tinh những các thể đột biến không nhiễm (2n – 2) đều bị chết. Tính theo lí thuyết, trong số các hợp tử sống sót tỉ lệ các hợp tử mang bộ NST 2n được tạo ra là bao nhiêu?
A. 1/3
B. 1/2
C. 1/4
D. 2/3.
Câu 93: Tất cả các loài sinh vật hiện nay đều dùng chung 1 loại mã di truyền, đều dùng cùng 20 loại axit amin để cấu tạo nên prôtêin chứng tỏ các loài có chung nguồn gốc. Đây là bằng chứng tiến hóa nào?
A. Sinh học phân tử.
B. Tế bào học.
C. Hóa thạch.
D. Giải phẫu so sánh.
Câu 94: Trong vùng mã hóa của phân tử mARN, côđon nào sau đây mã hóa axit amin?
A. 5’UAA3’.
B. 5’UGA3’.
C. 5’AUG3’.
D. 5’UAG3’.
Câu 95: Ở đậu Hà Lan, alen A quy định thân cao trội hoàn toàn so với alen a quy định thân thấp; alen B quy định hoa đỏ trội hoàn toàn so với alen b quy định hoa trắng. Theo lí thuyết, phép lai nào sau đây tạo ra đời con có cây thân thấp, hoa trắng chiếm tỉ lệ 12,5%?
A. AaBb × AaBb.
B. Aabb × aaBb.
C. AABb × AaBb.
D. AaBb × Aabb.
Câu 96: Ở một loài động vật, xét hai gen phân li độc lập, mỗi gen quy định một tính trạng, các alen trội là trội hoàn toàn và cả hai gen đều biểu hiện ở cả hai giới. Cho biết ở loài này có cặp NST giới tính là XX và XY. Nếu không xét tính đực và tính cái thì quần thể có tối đa sáu loại kiểu hình về hai tính trạng này; số loại kiểu gen ở giới đực gấp hai lần số loại kiểu gen ở giới cái. Theo lí thuyết, phát biểu nào sau đây đúng?
A. Trong quần thể, số loại giao tử cái nhiều hơn số loại giao tử đực.
B. Trong quần thể có tối đa 378 kiểu phép lai về hai gen trên.
C. Hai gen này nằm trên hai cặp NST thường khác nhau.
D. Một cá thể giảm phân tạo ra tối đa 8 loại giao tử về hai gen trên.
Câu 97: Tế bào nào của rễ cây trên cạn có đai Caspari?
A. Tế bào biểu bì.
B. Tế bào vỏ rễ.
C. Tế bào trung trụ.
D. Tế bào nội bì.
Câu 98: Khi nói về chọn lọc tự nhiên, phát biểu nào sau đây sai?
A. Trong một quần thể, sự chọn lọc tự nhiên làm giảm tính đa dạng của quần thể sinh vật.
B. Cạnh tranh cũng là một trong những nhân tố gây ra chọn lọc tư nhiên.
C. Chọn lọc tự nhiên tác động chống lại kiểu hình trung gian thì không làm thay đổi tần số alen.
D. Chọn lọc tự nhiên là nhân tố quy định chiều hướng tiến hóa của sinh giới.
Câu 99: Sơ đồ dưới đây mô tả một kỹ thuật trong công nghệ tế bào thực vật được sử dụng để sản xuất cà rốt:

Quá trình nào quyết định những tính trạng có trong “cụm tế bào”?
A. Giảm phân.
B. Nguyên phân.
C. Thụ tinh.
D. Phân hóa.
Câu 100: Ở cá riếc, tiến hành các phép lai sau đây:
♀ không râu x ♂ có râu → F1 100% không râu.
♀ có râu x ♂ không râu → F1 100% có râu.
Cho rằng số lượng con F1 và tỷ lệ đực cái tạo ra là 1:1, nếu cho tất cả các con F1 ở 2 phép lai
ngẫu phối với nhau thì tỷ lệ đời F2 sẽ thu được tỷ lệ:
A. 1 không râu: 1 có râu
B. 3 có râu: 1 không râu.
C. 3 không râu: 1 có râu
D. 100% không râu.
Câu 101: Cho sơ đồ minh hoạ về sự truyền năng lượng qua các bậc dinh dưỡng như sau: Mặt Trời → Sinh vật a → Sinh vật b → Sinh vật c → Sinh vật d. Sinh vật nào sau đây thuộc bậc dinh dưỡng cấp 2?
A. Sinh vật a.
B. Sinh vật b.
C. Sinh vật d.
D. Sinh vật c.
Câu 102: Phát biểu nào sau đây đúng về tiêu hoá ở động vật?
A. Ruột khoang có ống tiêu hoá và chỉ có tiêu hoá ngoại bào.
B. Tiêu hoá là quá trình biến đổi thức ăn thành các chất dinh dưỡng và tạo ra năng lượng.
C. Ở động vật đơn bào, thức ăn được tiêu hoá trong túi tiêu hoá.
D. Động vật có xương sống và nhiều loài động vật không xương sống có ống tiêu hoá.
Câu 103: Hình vẽ dưới đây mô tả một dạng đột biến cấu trúc NST, biết rằng A, B, C, D, E, F là kí hiệu các đoạn NST.

Dạng đột biến phù hợp nhất là
A. mất đoạn.
B. lặp đoạn.
C. đảo đoạn.
D. chuyển đoạn.
Câu 104: Các cây hoa cẩm tú cầu mặc dù có cùng một kiểu gen nhưng màu hoa có thể biểu hiện ở các dạng trung gian khác nhau giữa tím và đỏ tuỳ thuộc vào
A. độ pH của đất.
B. cường độ ánh sáng.
C. nhiệt độ môi trường.
D. hàm lượng phân bón.
Câu 105: Hình vẽ dưới đây mô tả quá trình săn mồi của một con diều dâu trong 3 tháng ở một quần thể chuột. Sự thay đổi trong quần thể chuột có thể được giải thích hợp lý bằng

A. phiêu bạt di truyền.
B. đột biến gen.
C. chọn lọc tự nhiên.
D. giao phối không ngẫu nhiên.
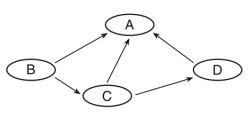
Câu 106: Sơ đồ dưới đây mô tả một lưới thức ăn bao gồm sinh vật sản xuất, sinh vật tiêu thụ và sinh vật phân giải. Trong đó A, B, C, D là tên các loài sinh vật có trong quẫn xã. Loài sinh vật nào phù hợp nhất cho sinh vật phân giải?

A. Loài B.
B. Loài C.
C. Loài D.
D. Loài A.
Câu 107: Bộ NST của một loài thực vật có các cặp gen được kí hiệu là Aa; Bb; Dd; Ee. Cho các cá thể có kiểu bộ nhiễm sắc thể như sau:
(1) AaaBbdddEe. (2) aaBbDdEe. (3) AaaBBbDddEEe.
(4) AAABBBDDD. (5) AaBbbDdEe. (6) aaBbDDEEe.
Theo lí thuyết, số loại thể đột biến thuộc dạng thể ba nhiễm và thể tam bội lần lượt là:
A. 2 và 1.
B. 5 và 3.
C. 3 và 1.
D. 3 và 2.
Câu 108: Một học sinh đã thực hiện một thí nghiệm như sau: chuẩn bị 3 bình thủy tinh có nút kín A, B và C. Bình B và C có treo hai cành cây có diện tích lá lần lượt là là 40 cm2 và 60 cm2. Bình B và C chiếu sáng trong 30 phút. Sau đó lấy các cành cây ra và cho vào các bình A, B và C mỗi bình một lượng Ba(OH)2 như nhau, lắc đều sao cho khí CO2 trong bình hấp thụ hết. Trong số các phát biểu sau, có bao nhiêu phát biểu đúng?

I. Sau 30 phút chiếu sáng, hàm lượng CO2 trong bình A là cao nhất.
II. Sau 30 phút chiếu sáng, hàm lượng CO2 trong bình B cao hơn bình C.
III. Sau khi hấp thụ CO2 thì hàm lượng Ba(OH)2 còn dư trong bình B là ít nhất.
IV. Có thể thay thế dung dịch Ba(OH)2 trong thí nghiệm bằng dung dịch nước vôi trong.
A. 1.
B. 2.
C. 3.
D. 4.
Câu 109: Phát biểu nào sau đây về dòng năng lượng trong hệ sinh thái là sai?
A. Bậc dinh dưỡng phía sau tích luỹ khoảng 90% năng lượng nhận từ bậc dinh dưỡng liền kề thấp hơn.
B. Trong chu trình dinh dưỡng, năng lượng truyền từ bậc dinh dưỡng thấp lên bậc dinh dưỡng cao.
C. Hiệu suất sinh thái là tỉ lệ phần trăm (%) chuyển hoá năng lượng giữa các bậc dinh dưỡng trong hệ sinh thái.
D. Năng lượng được truyền theo một chiều từ sinh vật sản xuất qua các bậc dinh dưỡng tới môi trường.
Câu 110: Trong hệ tuần hoàn của người, máu được di chuyển theo chiều nào sau đây?
A. Động mạch → mao mạch → tĩnh mạch.
B. Động mạch → tĩnh mạch → mao mạch.
C. Tĩnh mạch → động mạch → mao mạch.
D. Mao mạch → tĩnh mạch → động mạch.
Câu 111: Sơ đồ phả hệ dưới đây mô tả sự di truyền hai bệnh ở người là bệnh P và bệnh M. Alen A quy định không bị bệnh P trội hoàn toàn so với alen a quy định bệnh P; Alen B quy định không bị bệnh M trội hoàn toàn so với alen b quy định bệnh M. Các gen này nằm ở vùng không tương đồng của nhiểm sắc thể giới tính X.

Cho rằng không xảy ra đột biến và không có hoán vị gen. Theo lí thuyết, có bao nhiêu phát biểu sau đây đúng?
I. Người số 1 có kiểu gen dị hợp về ít nhất một bệnh.
II. Người số 5 có kiểu gen dị hợp về cả hai cặp gen.
III. Có thể biết được kiểu gen của 6 người trong số 8 người nói trên.
IV. Xác suất sinh con thứ 2 là con trai bị bệnh của cặp vợ 5-6 là 50%.
A. 1.
B. 2.
C. 3.
D. 4.
Câu 112: Người ta làm thí nghiệm trên giống thỏ Himalaya như sau: Cạo một phần lông trắng trên lưng thỏ và buộc vào đó một cục nước đá; sau một thời gian, tại vị trí này, lông mọc lên lại có màu đen. Phát biểu nào sau đây đúng khi giải thích về hiện tượng này?
A. Nhiệt độ thấp làm bất hoạt các enzim cần thiết để sao chép các gens quy định màu lông.
B. Nhiệt độ thấp làm cho alen quy định lông trắng bị biến đổi thành alen quy định lông đen.
C. Nhiệt độ thấp gây ra đột biến làm tăng hoạt động của gen quy định lông đen.
D. Nhiệt độ thấp làm thay đổi biểu hiện của gen quy định màu lông thỏ.
Câu 113: Có bao nhiêu phát biểu sau đây đúng về ổ sinh thái của các loài?
I. Ổ sinh thái của một loài biểu hiện cách sinh sống còn nơi ở chỉ nơi cư trú.
II. Chim ăn sâu và chim ăn hạt sống trên cùng một cây thì có cùng nơi ở nhưng ổ sinh thái khác nhau.
III. Cạnh tranh là một trong những nguyên nhân chủ yếu dẫn đến sự hình thành các ổ sinh thái.
IV. Nhờ có sự phân hoá ổ sinh thái nên giảm bớt sự cạnh tranh về thức ăn và nơi ở.
A. 4.
B. 1.
C. 2.
D. 3.
Câu 114: Đồ thị dưới đây biểu diễn mối quan hệ giữa tần số các kiểu gen AA, Aa và aa với tần số các alen A và a trong một quần thể.

Quan sát đồ thị và cho biết có bao nhiêu phát biểu sau đây đúng?
I. Nhiều khả năng quần thể được khảo sát là quần thể tự phối.
II. Đường cong (3) biểu diễn sự thay đổi tần số kiểu gen aa.
III. Khi tần số alen A và a bằng nhau thì tần số các kiểu gen dị hợp là lớn nhất.
IV. Khi tần số alen A cao hơn tần số alen a thì tần số kiểu gen AA luôn cao hơn tần số kiểu gen Aa.
A. 2.
B. 1.
C. 3.
D. 4.
Câu 115: Ở một loài thực vật, xét 2 gen, mỗi gen có 2 alen, thực hiện một phép lai giữa một cây có kiểu gen dị hợp tử về 2 cặp gen (Aa, Bb) với một cây khác cùng loài (P), ở thế hệ F1 thu được kiểu hình phân li theo tỉ lệ 3: 3: 1: 1. Biết không xảy ra đột biến, sự biểu hiện của kiểu gen không phụ thuộc vào môi trường. Theo lý thuyết, trong các trường hợp tỉ lệ phân li kiểu gen sau đây, trường hợp nào không phù hợp kết quả F1?
A. 3:3:1:1.
B. 1:1:1:1:2:2.
C. 1:1:1:1:1:1:2.
D. 1:1:1:1:1:1:1:1.
Câu 116: Ở một loài thực vật, alen A quy định hoa đỏ là trội hoàn toàn so với alen a quy định hoa trắng. Một thể đột biến tam nhiễm Aaa được hình thành do hiện tượng rối loạn không phân ly NST trong nguyên phân. Thể tam nhiễm có quá trình giảm phân tạo giao tử, các hạt phấn thừa 1 NST bị rối loạn quá trình sinh ống phấn nên ống phấn không phát triển. Nếu cây tam nhiễm trên tự thụ phấn, theo lý thuyết tỷ lệ kiểu hình xuất hiện ở đời con:
A. 3 đỏ: 1 trắng
B. 5 đỏ: 1 trắng
C. 11 đỏ: 1 trắng
D. 2 đỏ: 1 trắng.
Câu 117: Alen A có chiều dài 5100 A0 và có số nuclêôtit loại guanin chiếm 20% tổng số nuclêôtit của gen. Alen A bị đột biến điểm thành alen a. Alen a có 3601 liên kết hiđrô. Dạng đột biến nào sau đây đã xảy ra với alen A?
A. Mất một cặp A - T.
B. Thay thế một cặp A - T bằng một cặp G - X.
C. Thay thế một cặp G - X bằng một cặp A - T.
D. Mất một cặp G - X.
Câu 118: Ở một loài thực vật, màu sắc hoa do hai cặp gen không alen quy định (A, a; B, b). Khi có mặt cả hai loại alen trội trong kiểu gen thì quy định hoa đỏ, các kiểu gen còn lại quy định hoa trắng. Cho một cây hoa đỏ lai với một cây hoa trắng, đời con thu được kiểu hình: 1: 1. Không xét đến phép lai thuận nghịch, kiểu gen của (P) có thể là một trong bao nhiêu trường hợp?
A. 7.
B. 6.
C. 5.
D. 8.
Câu 119: Hình dưới đây minh hoạ tốc độ sinh trưởng giả định của ba loài cây ngập mặn thân gỗ lâu năm kí hiệu là loài (I), (II) và (III) tương ứng với các điều kiện độ mặn khác nhau. Số liệu trong bảng dưới đây cho biết độ mặn cao nhất tại ba bãi lầy ven biển A, B và C của địa phương H. Giả sử các điều kiện sinh thái khác của ba bãi lầy này là tương đồng nhau, không ảnh hưởng đến sức sống của các loài cây này và sự sai khác về độ mặn giữa các vị trí trong mỗi bãi lầy là không đáng kể. Các cây con của ba loài này khi trồng không thể sống được ở các dải độ mặn có tốc độ sinh trưởng bằng 0.

Địa phương H có kế hoạch trồng các loài cây (I), (II) và (III) để phục hồi rừng ngập mặn ở ba bãi lầy A, B và C. Dựa vào thông tin trong hình và bảng, có bao nhiêu nhận định sau đây đúng giúp địa phương H lựa chọn các loài cây này cho phù hợp?
I. Loài (I) có khả năng chịu độ mặn cao nhất trong ba loài.
II. Tốc độ sinh trưởng của loài (II) tỉ lệ nghịch với độ mặn của cả ba bãi lầy.
III. Bãi lầy B và C trồng xen được hai loài (I) và (II), bãi lầy A trồng xen được cả ba loài.
IV. Loài (III) có tốc độ sinh trưởng lớn hơn loài (I) và loài (II) ở độ mặn từ 22,5‰ đến 35‰.
A. 1.
B. 2.
C. 4.
D. 3.
Câu 120: Trong một quần thể chuột, alen A trên NST thường quy định lông đen trội hoàn toàn so với alen a quy định lông xám. Ở thế hệ (P), số con lông xám bằng số con lông đen dị hợp và chiếm 20%; các con cái có tỉ lệ kiểu gen: 0,4AA : 0,4Aa : 0,2aa. Trong mỗi thế hệ ngẫu phối, tỉ lệ phôi bị chết ở các kiểu gen AA; Aa; aa lần lượt là 25%; 50%; 25%. Biết tỉ lệ giới tính là 1 : 1. Theo lí thuyết, có bao nhiêu phát biểu sau đây đúng?
I. Tần số alen A tăng dần từ P tới F2.
II. Ở F1, số chuột lông đen chiếm 29/33.
III. Tỉ lệ phôi bị chết khi F1 sinh sản lớn hơn tỉ lệ phôi bị chết khi P sinh sản.
IV. Ở F2, các cá thể có kiểu gen aa chiếm tỉ lệ nhỏ nhất.
A. 2.
B. 4.
C. 3.
D. 1.
2. Đáp án đề thi thử bám sát đề minh họa 2024 môn Sinh
|
81. C |
82. D |
83. A |
84. B |
85. C |
86. B |
87. D |
88. B |
89. C |
90. C |
|
91. A |
92. A |
93. A |
94. C |
95. D |
96. A |
97. D |
98. C |
99. B |
100. A |
|
101. B |
102. D |
103. C |
104. A |
105. C |
106. D |
107. A |
108. C |
109. A |
110. A |
|
111. C |
112. D |
113. A |
114. B |
115. D |
116. D |
117. C |
118. D |
119. A |
120. C |
- Đáp án đề minh họa 2024 môn Sinh học
- Đề thi thử THPT Quốc gia 2024 môn Sinh học bám sát đề minh họa - Đề 4