Bộ đề thi thử tốt nghiệp THPT 2025 môn Sinh học bám sát đề minh họa - Số 1
Bộ đề thi thử bám sát đề minh họa 2025 môn Sinh học
Bộ đề thi thử tốt nghiệp THPT Quốc gia 2025 môn Sinh học bám sát đề minh họa được VnDoc.com tổng hợp gồm có 6 mã đề thi. Mỗi đề gồm có 18 câu hỏi trắc nghiệm nhiều phương án lựa chọn, 4 câu hỏi trắc nghiệm đúng sai và 6 câu hỏi trắc nghiệm trả lời ngắn. Thí sinh làm bài trong thời gian 50 phút. Đề có đáp án và lời giải chi tiết kèm theo. Mời các bạn cùng theo dõi để có thêm tài liệu ôn thi THPT Quốc gia nhé.
1. Đề thi thử THPT Quốc gia môn Sinh - Đề 1
PHẦN I. Thí sinh trả lời từ câu 1 đến câu 18. Mỗi câu hỏi thí sinh chỉ chọn một phương án.
Câu 1. Điểm khác nhau về chức năng giữa gene cấu trúc và gene điều hòa là:
A. Gene cấu trúc mã hóa protein; gene điều hòa kiểm soát quá trình biểu hiện gene khác.
B. Gene cấu trúc kiểm soát quá trình sao chép; gene điều hòa mã hóa các phân tử protein.
C. Gene cấu trúc mã hóa RNA; gene điều hòa chỉ mã hóa các phân tử protein chức năng.
D. Gene cấu trúc mã hóa lipid; gene điều hòa mã hóa các phân tử nucleic acid trong nhân.
Câu 2. Ở đậu Hà Lan có 2n = 14. Trong kỳ sau của quá trình nguyên phân, số nhiễm sắc thể có trong tế bào lưỡng bội của loài này là bao nhiêu?
A. 7 NST kép.
B. 14 NST kép.
C. 28 NST đơn.
D. 14 NST đơn.
Câu 3. Đồ thị dưới đây thể hiện lượng CO2 hấp thụ qua quang hợp ở cây rau dền đỏ (Amaranthus tricolor). Ở cường độ ánh sáng dưới 200 μmol/m²/s, khi nói về lợi thế trong việc hấp thụ CO₂, nhận định nào sau đây đúng?

A. Cây A lợi thế hơn cây B.
B. Cây B lợi thế hơn cây A.
C. Hai cây lợi thế như nhau.
D. Hai cây đều bất lợi như nhau.
Câu 4. Hình dưới đây mô tả các con đường vận chuyển các chất qua màng tế bào (X, Y, Z). Nhận định nào dưới đây là đúng?

A. Vitamin D không thể được vận chuyển qua X.
B. Ion Na+ và K+ có thể được vận chuyển qua X.
C. Protein kích thước lớn có thể được vận chuyển qua Y.
D. Các phân tử H2O có thể được vận chuyển qua Z.
Câu 5. Lĩnh vực nào dưới đây ít liên quan đến ứng dụng của sinh học?
A. Y - dược học.
B. Công nghệ thực phẩm.
C. Kỹ thuật xây dựng.
D. Bảo vệ môi trường.
Câu 6. Hình dưới đây thể hiện mối quan hệ tiến hóa giữa các loài bò sát khác nhau. Các nhánh và điểm phân nhánh cho thấy mức độ tiến hóa và tổ tiên chung của các loài này. Hai loài có quan hệ tiến hóa gần nhất là

A. thằn lằn giám sát và kỳ nhông.
B. thằn lằn thủy tinh và rắn.
C. thằn lằn giám sát và thạch sùng.
D. rắn và thằn lằn thủy tinh.
Câu 7. Theo thuyết tiến hóa tổng hợp hiện đại, yếu tố nào dưới đây góp phần lớn nhất vào sự đa dạng di truyền trong quần thể?
A. Đột biến gen.
B. Giao phối chọn lọc.
C. Chọn lọc tự nhiên.
D. Giao phối gần.
Câu 8. Yếu tố nào dưới đây làm thay đổi tần số allele của quần thể theo hướng tăng khả năng sống sót và sinh sản của các cá thể?
A. Đột biến gen.
B. Chọn lọc tự nhiên.
C. Phiêu bạt di truyền.
D. Dòng gen.
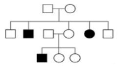
Câu 9. Sơ đồ phả hệ dưới đây mô tả sự di truyền một bệnh ở người do một gen có hai allele quy định. Có tối đa bao nhiêu người trong gia đình có kiểu gen đồng hợp?

A. 7.
B. 6.
C. 4.
D. 5.
Câu 10. Lai xa giữa hai loài cây khác nhau thu được cây F1 bất thụ. Các nhà khoa học sử dụng kỹ thuật đa bội hóa để cây lai trở nên hữu thụ. Kỹ thuật này có ý nghĩa như thế nào?
A. Tạo điều kiện cho cây hấp thụ dinh dưỡng hiệu quả hơn từ đất.
B. Hình thành cặp nhiễm sắc thể tương đồng, giúp cây có thể sinh sản hữu tính.
C. Giảm số lượng nhiễm sắc thể, giúp cây dễ thích nghi hơn với môi trường.
D. Kích thích sự phát triển cơ quan sinh dưỡng mà không cần sinh sản hạt.
Câu 11. Để giảm sự cạnh tranh giữa các cây trưởng thành và cây con trong cùng loài có thể áp dụng biện pháp nào dưới đây?
A. Trồng xen kẽ các loài cây khác nhau để giảm mật độ của loài cây hiện tại.
B. Tăng cường bón phân và tưới nước để cây con có điều kiện sinh trưởng tốt hơn.
C. Cắt tỉa các cây trưởng thành để tăng cường ánh sáng cho các cây con bên dưới.
D. Giới hạn số lượng cây con bằng cách thu hoạch các cây non khi chúng mới nảy mầm.
Câu 12. Trong một ao nuôi, mối quan hệ nào có thể xảy ra giữa hai loài cá có cùng nhu cầu thức ăn?
A. Cạnh tranh.
B. Ký sinh.
C. Vật ăn thịt – con mồi.
D. Ức chế cảm nhiễm.
Câu 13. Hình ảnh dưới đây mô tả cấu trúc của một phân tử vòng. Dựa vào đặc điểm của nó, loại phân tử này thường được sử dụng trong kỹ thuật sinh học nào?

A. Sao chép và nhân đôi DNA của tế bào nhân thực.
B. Phiên mã tạo ra các phân tử ARN thông tin.
C. Chuyển gen vào tế bào vi khuẩn để sản xuất protein.
D. Truyền thông tin di truyền giữa các thế hệ sinh vật.
Câu 14. Ở người, sự hình thành nhóm máu ABO do hoạt động phối hợp của 2 gen H và I, được thể hiện trong sơ đồ hình bên dưới. Allele lặn h và allele lặn IO đều không tổng hợp được enzyme tương ứng. Gene H và gene I nằm trên hai nhiễm sắc thể khác nhau. Khi trên bề mặt hồng cầu có cả kháng nguyên A và kháng nguyên B sẽ biểu hiện nhóm máu AB, khi không có cả hai loại kháng nguyên thì biểu hiện nhóm máu O. Cho biết các gen phân li độc lập. Một người có nhóm máu O có tối đa bao nhiêu loại kiểu gene về hai gene nói trên?

A. 10.
B. 4.
C. 6.
D. 8.
Câu 15. Một kỹ thuật y khoa được thực hiện trong thai kỳ, thường là vào giai đoạn từ tuần thứ 15 đến 20, nhằm thu thập một mẫu chất lỏng bao quanh thai nhi từ tử cung của thai phụ. Mẫu chất lỏng này chứa các tế bào và các chất khác từ thai nhi, giúp các bác sĩ kiểm tra và chẩn đoán các bất thường di truyền, bệnh lý nhiễm sắc thể hoặc các vấn đề khác liên quan đến sức khỏe của thai nhi. Đây là một phương pháp hiệu quả để tầm soát hội chứng Down, bệnh hồng cầu hình liềm, và nhiều bệnh di truyền khác. Phương pháp này được gọi là gì?
A. Siêu âm.
B. Sinh thiết tua nhau.
C. Chọc dò dịch ối.
D. Đo độ mờ da gáy.
Câu 16. Hình dưới đây mô tả số lượng NST ở một tế bào soma thuộc đột biến đa bội cùng nguồn. Bộ NST lưỡng bội của loài này là

A. 2n=12.
B. 2n=8.
C. 2n=6.
D. 2n=9.
Dùng thông tin sau để trả lời câu 17 và câu 18: Biến đổi khí hậu hiện đang là một trong những thách thức lớn nhất mà nhân loại phải đối mặt, với những hậu quả nghiêm trọng đối với môi trường, sức khỏe, kinh tế, và đa dạng sinh học.
Câu 17. Sự tăng nhiệt độ toàn cầu có thể ảnh hưởng đến diễn thế sinh thái của các hệ sinh thái núi cao như thế nào?
A. Các loài ưa lạnh có xu hướng di chuyển lên cao hơn hoặc có thể bị tuyệt chủng.
B. Các loài ưa nhiệt độ cao sẽ có xu hướng di chuyển xuống thấp những khu vực thấp.
C. Các hệ sinh thái núi cao sẽ hoàn toàn không bị ảnh hưởng khi trái đất nóng lên.
D. Đa dạng sinh học sẽ tăng lên ở các vùng núi cao nên môi trường sẽ ổn định hơn.
Câu 18. Biến đổi khí hậu toàn cầu có thể gây ra những tác động nào đến con người?
A. Giảm nguy cơ lây lan các bệnh truyền nhiễm do muỗi và côn trùng.
B. Tăng nguy cơ mắc các bệnh hô hấp và tim mạch do ô nhiễm không khí.
C. Tăng khả năng tiếp cận nguồn nước sạch và thực phẩm dinh dưỡng.
D. Giảm số lượng các đợt nắng nóng và sóng nhiệt tại các thành phố lớn.
PHẦN II. Thí sinh trả lời từ câu 1 đến câu 4. Trong mỗi ý a), b), c), d) ở mỗi câu, thí sinh chọn đúng hoặc sai.
Câu 1. Một operon X có các vùng trình tự quy định chức năng được ký hiệu M, N, P, Q, tổng hợp các enzyme 1 và enzyme 2 phân giải chất X. Trong đó, mỗi vùng trình tự đã ký hiệu từ M đến Q sẽ là một trong các vị trí sau:
(1) Gene tổng hợp enzyme 1. (2) Gene tổng hợp enzyme 2. (3) Vùng khởi động (promoter). (4) Vùng vận hành (operator). Biết rằng, gene điều hòa điều khiển hoạt động operon X tổng hợp protein điều hòa có chức năng bình thường. Kết quả chọn lọc các chủng vi khuẩn thu được ở bảng dưới đây khi nuôi cấy trong điều kiện môi trường có chất X và không có chất X, biết (+) enzyme được tổng hợp; (-) enzyme không được tổng hợp.
|
Các chủng vi khuẩn |
Không có chất X |
Có chất X |
||
|
Enzyme 1 |
Enzyme 2 |
Enzyme 1 |
Enzyme 2 |
|
|
Không mang đột biến |
― |
― |
+ |
+ |
|
Đột biến ở vùng M |
― |
― |
― |
+ |
|
Đột biến ở vùng N |
― |
― |
― |
― |
|
Đột biến ở vùng P |
― |
― |
+ |
― |
|
Đột biến ở vùng Q |
+ |
+ |
+ |
+ |
a) Trình tự M trong operon X là gene tổng hợp enzyme 1.
b) Vùng P trong operon X là gene mã hóa enzyme 2.
c) Nếu vùng N bị đột biến, enzyme 2 sẽ không được tổng hợp khi có chất X, nhưng enzyme 1 vẫn có thể được tổng hợp.
d) Khi đột biến xảy ra ở vùng Q của operon, enzyme 1 và enzyme 2 vẫn được tổng hợp ngay cả khi không có chất X.
Câu 2. Cấu trúc tuổi của quần thể có tính đặc trưng và phụ thuộc vào môi trường sống. Khi điều tra quần thể chim trĩ (Phasianus colchicus) tại các khu rừng trên đảo sau hai năm bị săn bắt, người ta thu thập được các số liệu số lượng cá thể ở độ tuổi trước sinh sản và sinh sản; không xuất hiện nhóm tuổi sau sinh sản.

a) Trước và sau khi bị săn bắt, quần thể chim trĩ (Phasianus colchicus) đều không xuất hiện nhóm tuổi sau sinh sản.
b) Sau hai năm bị khai thác, tỷ lệ các cá thể ở lứa tuổi sinh sản trong quần thể chim trĩ giảm mạnh, chủ yếu do khai thác các cá thể trưởng thành.
c) Việc khai thác đều đặn theo thời gian làm tăng khả năng sinh sản của quần thể, giúp quần thể nhanh chóng phục hồi kích thước ban đầu.
d) Nếu việc săn bắt dừng lại, quần thể sẽ điều chỉnh lại tỷ lệ nhóm tuổi, dẫn đến sự gia tăng số lượng các cá thể trước sinh sản.
Câu 3. Dưới đây là dữ liệu huyết áp được lấy từ một người phụ nữ 24 tuổi khỏe mạnh trong khi tập thể dục:
|
Thời gian (phút) |
Huyết áp tâm thu (mmHg) |
Huyết áp tâm trương (mmHg) |
Nhịp tim (nhịp/phút) |
|
Nghỉ ngơi |
110 |
76 |
64 |
|
1 |
140 |
78 |
104 |
|
2 |
146 |
80 |
110 |
|
3 |
150 |
82 |
116 |
|
4 |
158 |
80 |
124 |
|
5 |
160 |
78 |
128 |
|
6 |
164 |
78 |
134 |
|
7 |
166 |
76 |
138 |
|
8 |
168 |
78 |
144 |
|
9 |
170 |
78 |
142 |
|
10 |
172 |
76 |
144 |
a) Huyết áp tâm thu tăng từ mức 110 mmHg lúc nghỉ ngơi lên 172 mmHg sau 10 phút tập thể dục vì cơ thể cần ít oxy và năng lượng hơn khi bắt đầu tập thể dục.
b) Huyết áp tâm trương giảm từ 80 mmHg lúc xuống 76 mmHg sau khoảng 6 phút vì cung lượng tim tăng và giãn nở mao mạch, giúp giảm sức cản mạch máu.
c) Nhịp tim tăng từ 64 nhịp/phút khi nghỉ ngơi lên 144 nhịp/phút sau 10 phút tập thể dục cho thấy cơ thể cần ít oxy hơn trong quá trình tập.
d) Sau 10 phút tập thể dục, huyết áp tâm thu và nhịp tim đều đạt mức cao nhất, điều này phản ánh hệ tim mạch đang làm việc tích cực để cung cấp đủ oxy cho cơ bắp.
Câu 4. Khi cho hai dòng thuần chủng cùng loài là cây hoa đỏ và cây hoa trắng giao phấn với nhau, thu được thế hệ F₁ với 100% cây hoa đỏ. Cho F₁ tự thụ phấn, thu được thế hệ F₂ gồm 368 cây hoa trắng và 272 cây hoa đỏ.
a) Tính trạng màu hoa do hai gen quy định.
b) Cây bố hoặc mẹ thiếu một trong hai gen trội về tính trạng này.
c) Có tối đa 27 kiểu gen trong quần thể.
d) Cây hoa đỏ có số kiểu gen nhiều hơn cây hoa trắng.
PHẦN III. Thí sinh trả lời từ câu 1 đến câu 6. Thí sinh điền kết quả mỗi câu vào mỗi ô trả lời tương ứng theo hướng dẫn của phiếu trả lời.
Câu 1. Hình ảnh minh họa một hệ sinh thái trên cạn, đây là hệ sinh thái rừng, nơi thể hiện mối quan hệ giữa các sinh vật tự dưỡng và các nhóm sinh vật tiêu thụ. Các sinh vật trong hình bao gồm thực vật (như cây ngô), động vật ăn thực vật (như sóc, côn trùng), động vật ăn thịt (như chim săn côn trùng, chồn) và động vật ăn tạp (như gấu trúc Mỹ).

Có bao nhiêu loài thuộc nhóm sinh vật tiêu thụ bậc 2?
Câu 2. Cho biết một bản sao sơ cấp của mARN vừa được phiên mã từ một gen phân đoạn có các exon và các intron với số nucleotide tương ứng như sau:

Sau khi cắt bỏ các intron và nối các exon lại với nhau để tạo thành mRNA có hoạt tính sinh học bình thường trưởng thành chỉ gồm 4 exon. Cho biết tổng số nucleotide tối đa mà mRNA đó có thể có là bao nhiêu?
Câu 3. Một nhà nghiên cứu tiến hành nuôi cấy một tế bào vi khuẩn E. coli trên môi trường chỉ chứa N14. Sau 2 thế hệ, chọn lọc một tế bào vi khuẩn (kí hiệu A) chỉ chứa DNA với N14. Tế bào này tiếp tục được chuyển sang môi trường chỉ chứa N15 để nuôi cấy. Quá trình nuôi cấy không ảnh hưởng đến sự sinh trưởng của vi khuẩn. Sau một số thế hệ, người ta tách các phân tử DNA từ tất cả các tế bào thu được, và nhận thấy tỷ lệ giữa DNA chứa N14 và DNA chỉ chứa N15 là 1 : 15. Số thế hệ tế bào (số lần phân chia) của tế bào A là bao nhiêu?
Câu 4. Nhà nghiên cứu Donald Levin đã giả thuyết rằng hoa màu đỏ của loài Phlox drummondii giúp giảm thiểu sự lai khác loài với loài P. cuspidata (hoa luôn màu hồng). Để kiểm chứng, ông trồng P. drummondii hoa đỏ và hoa hồng cùng khu vực với P. cuspidata và thu thập hạt sau một mùa.
Kết quả cho thấy hoa màu đỏ của P. drummondii giúp giảm thiểu sự lai khác loài hiệu quả hơn so với hoa màu hồng (bảng bên dưới)
|
Màu hoa |
Số lượng hạt |
|
|
P. drummondli |
Lai khác loài |
|
|
Đỏ |
181 |
27 |
|
Hồng |
86 |
53 |
Tỷ lệ hạt bị lai khác loài ở hoa màu hồng cao hơn hoa màu đỏ tương đương bao nhiêu phần trăm? (làm tròn đến số nguyên gần nhất)
Câu 5. Ở một loài thực vật, allele A quy định hoa đỏ trội hoàn toàn so với allele a quy định hoa vàng. Cho cây (P) có kiểu gen Aa tự thụ phấn thu được F₁, tiếp tục cho các cây F₁ tự thụ phấn thu được F₂. Biết rằng không có đột biến xảy ra và số cây con từ các cây F₁ là như nhau, cây có kiểu hình hoa đỏ ở F₂ chiếm tỷ lệ bao nhiêu phần trăm?
Câu 6. Bảng dưới đây cho biết sự thay đổi tỉ lệ sinh, tỉ lệ tử vong, tỉ lệ di cư và tỉ lệ nhập cư của một quần thể động vật từ năm 1980 đến năm 1990:

Tỷ lệ tăng trưởng của quần thể động vật này vào năm 1990 là bao nhiêu phần trăm?
2. Đề thi thử THPT Quốc gia môn Sinh - Đề 2
PHẦN I. Thí sinh trả lời từ câu 1 đến câu 18. Mỗi câu hỏi thí sinh chỉ chọn một phương án.
Câu 1: Hình dưới đây mô tả khái quát các thành phần cấu trúc một gene ở sinh vật nhân thực. Thành phần cấu trúc nào chứa bộ ba kết thúc quá trình dịch mã?

A. Exon 1.
B. Exon 2.
C. Exon 3.
D. Vùng kết thúc.
Câu 2: Nguyên nhân gây ra ung thư là do tế bào
A. chết theo chương trình
B. phân chia mất kiểm soát
C. không phân chia
D. dừng phân chia
Câu 3: Quan sát hình dưới và cho biết, chim hô hấp hiệu quả hơn thú là do

A. thể tích phổi lớn do có thêm túi khí.
B. khả năng hấp thụ khí O2 ở phổi của chim tốt hơn phổi của thú.
C. tốc độ trao đổi khí ở phổi của chim nhanh hơn ở phổi của thú.
D. khi hít vào hay thở ra đều có không khí giàu O2 đi qua phổi.
Câu 4: Rễ cây hấp thụ ion K+ cần phải tiêu tốn năng lượng ATP trong trường hợp nào dưới đây?
|
Trường hợp |
Nồng độ ion K+ ở rễ (%) |
Nồng độ ion K+ ở đất (%) |
|
1 |
0,2 |
0,5 |
|
2 |
0,3 |
0,3 |
|
3 |
0,4 |
0,6 |
|
4 |
0,5 |
0,2 |
A. Trường hợp 1.
B. Trường hợp 2.
C. Trường hợp 3.
D. Trường hợp 4.
Câu 5: Trong số các biến đổi tiến hóa sau đây, biến đổi nào là sự kiện tiến hóa nhỏ?
A. Sự tiêu giảm cấu trúc xương chi của rắn và trăn.
B. Sự tuyệt chủng của các loài khủng long.
C. Sự thay đổi tần số allele quy định kích thước mỏ ở quần thể chim sẻ trên đảo.
D. Sự tiến hóa của não bộ ở động vật có xương sống.
Câu 6: Hình dưới đây giải thích sự hình thành chủng vi khuẩn kháng kháng sinh theo học thuyết Darwin.

Nhận định nào sau đây đúng?
A. Quá trình này sẽ hình thành quần thể thích nghi.
B. Thuốc kháng sinh là nguyên nhân gây ra các biến dị.
C. Đây là cơ chế chọn lọc hình thành loài mới.
D. Phần lớn các cá thể mang biến dị kháng kháng sinh sẽ chết.
Dùng thông tin sau để trả lời câu 7, 8, 9: Ở một loài côn trùng, tính trạng màu sắc thân do 2 cặp gene Aa,Bb nằm trên 2 cặp NST thường quy định, trong đó cứ thêm 1 allele trội thì màu thân sẫm thêm một chút tạo thành phổ tính trạng: vàng – nâu nhạt – nâu – nâu đậm – đen. Một quần thể ngẫu phối, đang cân bằng di truyền và có tần số các allele A, B lần lượt là 0,4; 0,5. Giả sử có một loại hóa chất tác động làm cho giao tử ab không có khả năng thụ tinh; các loại giao tử khác có khả năng thụ tinh như nhau; sức sống của các cá thể không bị ảnh hưởng.
Câu 7: Quần thể này đang chịu tác động của nhân tố tiến hóa nào?
A. Đột biến.
B. Chọn lọc tự nhiên.
C. Dòng gene.
D. Phiêu bạt di truyền.
Câu 8: Nhận định nào sau đây đúng về quần thể sau 2 thế hệ bị tác động bởi hóa chất nói trên?
A. Quần thể F2 sẽ đạt trạng thái cân bằng di truyền.
B. Tần số các allele lặn đã giảm so với thế hệ ban đầu.
C. Tỉ lệ giao tử AB ở F2 nhỏ hơn 0,2.
D. Quần thể này không tiến hóa.
Câu 9: Sau 1 thế hệ bị tác động bởi hóa chất nói trên số cá thể có màu lông nâu thuần chủng chiếm tỉ lệ
A. 2/7.
B. 3/7.
C. 25/49.
D. 13/49.
Câu 10. Một cụ bà không may bị tai nạn giao thông khi băng qua đường. Do bị chấn thương ở đầu và mất nhiều máu, bác sĩ yêu cầu gia đình nạn nhân truyền máu gấp cho cụ bà. Được biết thông tin về nhóm máu của gia đình này qua phả hệ như sau, tuy nhiên có một số người trong gia đình vắng mặt, một số khác chưa rõ thông tin về nhóm máu.

Hỏi trong gia đình nạn nhân nên đưa ai đi truyền máu cho cụ bà (số I.1 trong phả hệ) là thích hợp và nhanh nhất?
A. Người số II.6.
B. Người số III.6.
C. Người số II.2.
D. Người số III.2.
Câu 12: Biểu đồ hình dưới thể hiện đặc trưng cơ bản của một quần thể cá. Nhận xét nào sau đây được rút ra từ biểu đồ là đúng?

A. Tỉ lệ giới tính của quần thể này là 1 : 1.
B. Quần thể có tháp tuổi ở dạng ổn định.
C. Nên tăng cường khai thác nhóm tuổi trước sinh sản.
D. Quần thể này có kiểu phân bố ngẫu nhiên.
Câu 11: Tảo đỏ nở hoa làm cho tôm, cua, cá chết. Đây là ví dụ về mối quan hệ sinh thái nào?
A. Cộng sinh.
B. Ức chế - cảm nhiễm.
C. Sinh vật này ăn sinh vật khác.
D. Cạnh tranh.
Câu 12: Khi nói về thành phần hữu sinh trong hệ sinh thái, phát biểu nào sau đây đúng?
A. Vi sinh vật có thể là sinh vật sản xuất.
B. Tất cả các loài động vật ăn thịt thuộc cùng một bậc dinh dưỡng.
C. Tất cả vi sinh vật được xếp vào nhóm sinh vật phân giải.
D. Sinh vật tiêu thụ bậc 3 luôn có sinh khối lớn hơn sinh vật tiêu thụ bậc 2.
Câu 13: Để tạo giống lúa vàng (golden rice) giàu Beta-caroten góp phần cải thiện tình trạng thiếu vitamin A ở trẻ em, người ta cần chuyển gene X từ một loài thực vật vào cây lúa. Quy trình này sử dụng vi khuẩn Agrobacterium tumefaciens làm tế bào nhận trung gian để chuyển gene. Một trong những công đoạn rất quan trọng của quy trình này được biểu diễn trong hình dưới đây:

Phát biểu nào sau đây đúng về các bước trong giai đoạn trên?
A. Đưa DNA tái tổ hợp vào tế bào nhận A. tumefaciens (bước d) bằng phương pháp tải nạp.
B. Sử dụng cùng một loại enzyme restriction exonucleasa để cắt gen X và mở vòng phân tử 1 (bước a, b).
C. Enzyme ligase hình thành liên kết hydrogen giữa các đầu đính tạo DNA tái tổ hợp (bước c).
D. Vi khuẩn mang DNA tái tổ hợp được lây nhiễm và chuyển gene vào tế bào cây lúa.
Câu 14: Bệnh tan máu bẩm sinh Thalassemia (Thal) do gene đột biến lặn (a) nằm trên nhiễm sắc thể thường gây nên. Người bị bệnh biểu hiện bệnh ở dạng hồng cầu bị phá hủy quá mức dẫn đến tình trạng thiếu máu ở nhiều mức độ. Theo thống kê được công bố trên Cổng thông tin điện tử của Bộ y tế năm 2019, bệnh Thal gặp ở tất cả các dân tộc khắp cả nước, tuy nhiên thường gặp ở các dân tộc thiểu số vùng cao, vùng xa, ít gặp ở người dân tộc Kinh. Cụ thể, tỉ lệ mắc bệnh:
Nhóm 1: Người ở các dân tộc thiểu số vùng cao, vùng xa là từ 20% - 40% và có sự thay thổi qua các thế hệ.
Nhóm 2: Người dân tộc Kinh là 9% và duy trì ổn định qua các thế hệ.
Với giả thiết là cấu trúc di truyền ban đầu của các dân tộc đều giống nhau, và ở dân tộc Kinh thì việc kết hôn hoàn toàn ngẫu nhiên.
A. Cấu trúc di truyền của quần thể cộng đồng người các dân tộc đang ở trạng thái cân bằng.
B. Trong quần thể cộng đồng người dân tộc Kinh có tỉ lệ người không mang gene bệnh là 91%.
C. Các dân tộc thiểu số chủ yếu sống ở vùng núi cao, nơi có điều kiện kinh tế khó khăn nên tần số đột biến ở gene này cao hơn so với ở dân tộc Kinh.
D. Một trong các biện pháp giúp giảm tỉ lệ người mắc bệnh ở nhóm 1 là tăng cường tuyên truyền cho người dân về nguy cơ của kết hôn cận huyết.
Câu 15: Dưới đây là sơ đồ quy luật di truyền ngoài nhân. Dựa vào thông tin trên sơ đồ hãy cho biết kết luận nào sau đây là đúng?

A. Màu sắc lá cây con chỉ phụ thuộc vào cây mẹ mà không phụ thuộc vào cây bố.
B. Cây có lá bị đốm trắng là do gene mã hóa diệp lục nằm trong nhân bị đột biến mất chức năng.
C. Các cây con cành lá trắng chỉ được sinh ra từ cây mẹ có cành lá trắng.
D. Màu sắc lá của cây hoa phấn là do gene nằm trong ti thể quy định.
Câu 16: Sơ đồ sau minh họa cho cơ chế phát sinh đột biến cấu trúc nhiễm sắc thể.

Phát biểu nào sau đây là sai?
A. Đây là dạng đột biến chuyển đoạn tương hỗ giữa 2 nhiễm sắc thể.
B. Đột biến này có thể làm tăng hoặc giảm sự biểu hiện của gene.
C. Ở người, dạng đột biến này xảy ra ở nhiễm sắc thể số 1 thường gây vô sinh.
D. Hội chứng bệnh Parkinson ở người có thể liên quan đến dạng đột biến này.
Dùng thông tin sau để trả lời câu 17 và câu 18: Giả sử kết quả khảo sát về diện tích khu phân bố (tính theo m2) và kích thước quần thể (tính theo số lượng cá thể) của 4 quần thể sinh vật cùng loài ở cùng một thời điểm như sau:
|
Quần thể I |
Quần thể II |
Quần thể III |
Quần thể IV |
|
|
Diện tích khu phân bố |
3558 |
2486 |
1935 |
1954 |
|
Kích thước quần thể |
4270 |
3730 |
3870 |
4885 |
Câu 17: Hiện tượng phiêu bạt di truyền sẽ có nguy cơ gây ảnh hưởng mạnh nhất đến quần thể nào?
A. Quần thể IV.
B. Quần thể III.
C. Quần thể II.
D. Quần thể I.
Câu 18: Xét tại thời điểm khảo sát, mật độ cá thể của quần thể nào trong 4 quần thể trên là cao nhất?
A. Quần thể IV.
B. Quần thể III.
C. Quần thể II.
D. Quần thể I.
PHẦN II. Thí sinh trả lời từ câu 1 đến câu 4. Trong mỗi ý a), b), c), d) ở mỗi câu, thí sinh chọn đúng hoặc sai.
Câu 1: Ở ruồi giấm về tính trạng màu thân có thân xám trội hoàn toàn so với thân đen; về kích thước cánh có cánh dài trội hoàn toàn so với cánh ngắn. Trong 1 phép lai P giữa 2 ruồi thân xám, cánh dài với nhau thu được F1 có tỷ lệ 1 xám, ngắn: 2 xám, dài: 1 đen dài. Người ta lấy 2 cá thể F1 cho giao phối với nhau được F2 có 4 kiểu hình với tỷ lệ 1:1:1:1. Biết không có đột biến, theo lý thuyết phát biểu sau đây là Đúng hay Sai?
a) Các gene đang xét cùng nằm trên 1 nhiễm sắc thể.
b) Kiểu gene của 2 ruồi thân xám, cánh dài thế hệ P đem lai khác nhau.
c) F1 có tối đa 10 kiểu gene, F2 có tỷ lệ kiểu gene như tỷ lệ kiểu hình.
d) Nếu cho ruồi F1 giao phối ngẫu nhiên với nhau số phép lai tối đa không kể thay đổi vai trò đực cái là 28.
Mời các bạn cùng tải về bản ZIP để xem đầy đủ nội dung