Giải Hóa 12 Cánh diều bài 7
Giải Hóa 12 Cánh diều bài 7: Peptide, protein và enzyme
Giải Hóa 12 Cánh diều bài 7: Peptide, protein và enzyme được VnDoc.com tổng hợp gồm có hướng dẫn trả lời chi tiết các câu hỏi trong SGK Hóa học 12 Cánh diều các trang 47, 48, 50, 51, 53.
Giải Hóa 12 trang 47 Cánh diều
Mở đầu trang 47 SGK Hóa 12
Quan sát hình bên và nhận xét về mối quan hệ giữa protein, peptitd và các α-amino acid.

Lời giải:
- Các α-amino acid là đơn vị để cấu tạo nên peptide.
- Một hay nhiều chuỗi polypeptide liên kết với nhau tạo nên protein.
Câu hỏi 1 trang 47 SGK Hóa 12
Quan sát Hình 7.1 và cho biết những nhóm chức nào trong phân tử các α-amino acid đã tham gia hình thành liên kết peptide.

Lời giải:
Nhóm chức amino (-NH2) và nhóm carboxyl (-COOH) trong phân tử các α-amino acid đã tham gia hình thành liên kết peptide.
Giải Hóa 12 trang 48 Cánh diều
Luyện tập 1 trang 48 SGK Hóa 12
Viết cấu tạo của các phân tử peptide được hình thành do sự kết hợp của:
a) 2 phân tử alanine với nhau
b) 1 phân tử alanine với 2 phân tử glycine.
Lời giải:
a) Peptide được hình thành do sự kết hợp của 2 phân tử alanine với nhau:
H2NCH(CH3)CONHCH(CH3)COOH (hay Ala – Ala);
b) Các peptide được hình thành do sự kết hợp của 1 phân tử alanine với 2 phân tử glycine:
H2NCH(CH3)CONHCH2CONHCH2COOH (hay Ala – Gly – Gly);
H2NCH2CONHCH2CONHCH(CH3)COOH (hay Gly – Gly – Ala);
H2NCH2CONHCH(CH3)CONHCH2COOH (hay Gly – Ala – Gly).
Thí nghiệm 1 trang 48 SGK Hóa 12
Phản ứng màu biuret của peptide
Chuẩn bị:
- Hoá chất: Dung dịch lòng trắng trứng, dung dịch NaOH 30%, dung dịch CuSO4, 2%, nước cất.
- Dụng cụ: Ống nghiệm, giá ống nghiệm, ống hút nhỏ giọt.
Tiến hành:
- Cho vào ống nghiệm khoảng 1 mL dung dịch NaOH 30%. Thêm tiếp vài giọt dung dịch CuSO4 2%, lắc đều (có thể khuấy bằng đũa thuỷ tinh).
- Thêm vào ống nghiệm khoảng 3 mL dung dịch lòng trắng trứng, lắc hoặc khuấy đều hỗn hợp.
Yêu cầu: Quan sát màu sắc của dung dịch trong ống nghiệm sau 2 – 3 phút. Mô tả các hiện tượng quan sát được.
Lời giải:
|
Thí nghiệm |
Hiện tượng |
Giải thích |
|
Cho vào ống nghiệm khoảng 1 mL dung dịch NaOH 30%. Thêm tiếp vài giọt dung dịch CuSO4 2%, lắc đều (có thể khuấy bằng đũa thuỷ tinh). |
Xuất hiện kết tủa màu xanh |
Do có phản ứng tạo kết của Cu(OH)2 có màu xanh. 2NaOH + CuSO4 ⟶ Cu(OH)2↓ + Na2SO4 |
|
Thêm vào ống nghiệm khoảng 3 mL dung dịch lòng trắng trứng, lắc hoặc khuấy đều hỗn hợp. |
Kết tủa tan, dung dịch tạo thành có màu tím. |
Polypeptide có trong lòng trắng trứng có khả năng hòa tan Cu(OH)2 trong môi trường kiềm tạo thành phức chất tan trong nước có màu tím đặc trưng. |
Giải Hóa 12 trang 49 Cánh diều
Luyện tập 2 trang 49 SGK Hóa 12
Cho peptide A có công thức cấu tạo Ala-Gly-Val.
a) A thuộc loại peptide nào (dipeptide, tripeptide, tetrapeptide)?
b) Viết phương trình hóa học của phản ứng thuỷ phân hoàn toàn peptide A bằng dung dịch NaOH dư.
Lời giải:
a) A thuộc loại tripeptide do có 3 đơn vị α – amino acid kết hợp lại với nhau.
b) Phương trình hóa học của phản ứng thuỷ phân hoàn toàn peptide A bằng dung dịch NaOH dư:

Luyện tập 3 trang 49 SGK Hóa 12
Dung dịch thu được sau khi thuỷ phân hoàn toàn một peptide với kiềm có phản ứng màu buret không? Vì sao?
Lời giải:
Dung dịch thu được sau khi thuỷ phân hoàn toàn một peptide với kiềm không có phản ứng màu buret. Vì sau khi thủy phân hoàn hoàn các liên kết peptide bị cắt đứt (không còn liên kết peptide).
Các peptide có từ hai liên kết peptide trở lên mới có phản ứng màu buret.
Giải Hóa 12 trang 50 Cánh diều
Vận dụng 1 trang 50 SGK Hóa 12
Casein là loại protein chủ yếu có trong sữa.
a) Dự đoán casein là loại protein tan hay không tan trong nước.
b) Vì sao uống sữa giúp giảm bớt nguy hiểm khi bị ngộ độc bởi muối chì, muối thủy ngân.
c) Tìm hiểu cách làm sữa chua và cho biết yếu tố nào đã tạo nên độ đặc của sữa chua.
Lời giải:
a) Dự đoán casein là loại protein không tan trong nước. Sữa là nhũ tương.
b) Vì casein là một loại protein do đó sẽ tạo phản ứng đông tụ với dung dịch muối chì, muối thủy ngân và tách ra khỏi dung dịch để tránh hóa chất thấm sâu vào các cơ quan bên trong cơ thể.
c) * Cách làm sữa chua:
- Nguyên liệu:
+ Hũ đựng và nồi ủ.
+ 1 lon sữa đặc có đường.
+ Nước sôi, nước đun sôi để nguội.
+ 1 hộp sữa chua làm men cái.
+ Thau hoặc ca lớn (ca nhựa loại lớn, dung tích khoảng 2 lít trở lên để có thể đổ sữa vào hũ đựng dễ dàng hơn).
- Thực hiện:
+ Đổ sữa đặc ra thau lớn. Có thể dùng ca nhựa. Dùng lon đựng sữa đặc vừa rồi đong thêm 1 lon nước sôi và 2 lon nước đun sôi để nguội vào thau sữa đặc.
+ Khuấy đều cho sữa đặc tan hoàn toàn rồi cho sữa chua men cái vào (nếu cho sữa chua men cái vào quá sớm, gặp nước sôi sẽ làm hỏng men).
+ Cho hỗn hợp sữa vào hũ đựng và đậy nắp lại rồi đem đi ủ.
- Lưu ý khi ủ sữa chua:
+ Không ủ bằng nước quá nóng. Trong lúc làm sữa chua, nếu dùng nước quá nóng sẽ làm hỏng men.
+ Canh thời gian ủ. Lượng men càng nhiều, sữa sẽ càng chua và đông đặc. Nên thông thường, sau khi ủ khoảng 6 tiếng sữa đã bắt đồng đông lại và có vị chua dịu nhẹ.
+ Đậy kín đồ ủ sữa chua. Đậy kín nồi ủ để có thể duy trì nhiệt độ đủ để lên men sữa chua. Nếu muốn dùng nồi cơm để ủ thì không cần cắm điện. Khi cần duy trì nhiệt độ, đặt một lớp lót để sữa chua không tiếp xúc trực tiếp với đáy nồi và bật chế độ hâm của nồi cơm trong 3–4 phút.
* Độ đặc của sữa chua là do lactic acid:
Sữa chua có vị sánh, sệt do vi khuẩn lactic đã biến dịch trong sữa thành dịch chứa nhiều lactic acid.
Đường lactose + (xt) vi khuẩn lactic ⟶ lactic acid + năng lượng (ít).
Từ đó, độ pH trong sữa giảm thấp, casein trong sữa sẽ đông tụ và làm cho sữa từ lỏng trở thành sệt.
Vận dụng 2 trang 50 SGK Hóa 12
Protein cũng có thể bị đông tụ bởi ethanol: Tìm hiểu và cho biết:
a) Vì sao dùng cồn xoa vào tay có thể hạn chế lây nhiễm SARS-CoV-2 qua đường tiếp xúc?
b) Tìm hiểu và cho biết vì sao trong y tế thường dùng còn 70o để sát khuẩn mà không dùng cồn 90o.
Lời giải:
a) Vì vi khuẩn, virus được cấu tạo từ các protein, mà protein cũng có thể bị đông tụ bởi ethanol nên dùng cồn xoa vào tay có thể hạn chế lây nhiễm SARS-CoV-2 qua đường tiếp xúc.
b) Cồn dùng để diệt khuẩn vì cồn có khả năng thẩm thấu cao nên có thể thẩm thấu sâu vào trong tế bào vi khuẩn gây đông tụ protein làm cho vi khuẩn chết. Tuy nhiên, ở nồng độ cao 90o sẽ làm cho protein trên bề mặt vi khuẩn đông tụ nhanh tạo ra lớp màng ngăn không cho cồn thấm sâu vào bên trong, làm giảm tác dụng diệt khuẩn.
Ngoài ra, cồn 90o vừa thoa lên tay đã bay hơi rất nhanh, không đủ thời gian tồn tại trên tay để diệt vi khuẩn, virus, bên cạnh đó cồn 90o cũng sẽ gây khô da, kích ứng và không an toàn cho da.
Thí nghiệm 2 trang 50 SGK Hóa 12
Sự đông tụ protein
Chuẩn bị:
- Hoá chất: Protein (dung dịch lòng trắng trứng).
- Dụng cụ: Ống nghiệm, đèn cồn, ống hút nhỏ giọt.
Tiến hành: Cho vào ống nghiệm 2 – 3 mL dung dịch lòng trắng trứng, đun trên đèn cồn trong khoảng 1 phút.
Yêu cầu: Quan sát và mô tả hiện tượng xảy ra trong ống nghiệm.
Lời giải:
Hiện tượng: Lòng trắng trứng bị đông tụ khi đun trên đèn cồn.
Vận dụng 3 trang 50 SGK Hóa 12
Tìm hiểu cách làm nước mắm và cho biết yếu tố nào đã được sử dụng để thực hiện quá trình chuyển hóa protein có trong thịt cá thành các amino acid.
Lời giải:
Cá được ủ với muối và được đảo đều mỗi ngày làm tăng khả năng phân giải enzyme và vi sinh vật nhanh. Các enzyme và vi sinh vật phân giải protein trong cá thành các amino acid.
Giải Hóa 12 trang 51 Cánh diều
Thí nghiệm 3 trang 51 SGK Hóa 12
Phản ứng tạo màu của protein với nitric acid
Chuẩn bị:
– Hoá chất: Dung dịch lòng trắng trứng, dung dịch HNO3 đặc.
– Dụng cụ: Ống nghiệm, ống hút nhỏ giọt.
Tiến hành:
– Cho vào ống nghiệm khoảng 1,0 mL dung dịch lòng trắng trứng và khoảng 1 mL dung dịch HNO3 đặc
– Lắc đều hỗn hợp, sau đó để yên ống nghiệm trong khoảng 1 - 2 phút.
Yêu cầu: Quan sát và mô tả các hiện tượng xảy ra trong ống nghiệm trước và sau khi đun nóng.
Chú ý an toàn: Cẩn thận khi làm việc với HNO3 đặc.
Lời giải:
Hiện tượng:
- Trước khi đun nóng, lòng trắng trứng bị keo tụ (trong môi trường acid HNO3) tạo thành chất rắn có màu trắng.
- Sau khi đun nóng, thu được chất rắn có màu vàng. Do lòng trắng trứng chứa albumin (là một loại protein). Protein hình thành sản phẩm rắn màu vàng với dung dịch nitric acid đặc, một phần do phản ứng nitro hoá các đơn vị amino acid chứa vòng benzene và một phần khác do sự đông tụ protein trong môi trường acid.
Câu hỏi 2 trang 51 SGK Hóa 12
Cho biết ưu điểm của xúc tác enzyme so với xúc tác hóa học.
Lời giải:
Enzyme giúp các phản ứng xảy ra nhanh hơn nhiều lần so với khi dùng xúc tác hóa học.
Ngoài ra, xúc tác enzyme cón có tính chọn lọc cao.
Giải Hóa 12 trang 52 Cánh diều
Câu hỏi 3 trang 52 SGK Hóa 12
Bromelain và papain là những enzyme có tác dụng thuỷ phân protein. Bromelain có nhiều trong quả dứa (thơm) còn papain có nhiều trong quả đu đủ. Giải thích vì sao thịt được ướp với nước ép dứa hoặc đu đủ thì khi nấu sẽ nhanh mềm hơn.
Lời giải:
Bromelain và papain có tác dụng thủy phân protein trong thịt nên khi thịt được ướp với nước ép dứa hoặc đu đủ thì khi nấu sẽ nhanh mềm hơn.
Giải Hóa 12 trang 53 Cánh diều
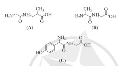
Bài 1 trang 53 SGK Hóa 12
Phân tử chất nào dưới đây không chứa liên kết peptide? Giải thích.

Lời giải:
(B) và (C) chứa liên kết peptide.
(A) không chứa liên kết peptide vì (A) không được tạo thành từ các α – amino acid.
Bài 2 trang 53 SGK Hóa 12
Viết công thức cấu tạo của các phân tử dipeptide mạch hở, trong đó, thành phần bao gồm cả hai loại đơn vị cấu tạo là glycine và alanine.
Lời giải:
Gly – Ala: H2N-CH2-CO-NH-CH(CH3)-COOH;
Ala – Gly: H2NCH(CH3)-CO-NH-CH2-COOH;
Bài 3 trang 53 SGK Hóa 12
Thuỷ phân một tripeptide thu được 3 amino acid là Ala, Gly và Val. Cho biết cấu tạo có thể có của tripeptide đem thuỷ phân ở trên.
Lời giải:
Đang cập nhật...
Bài 4 trang 53 SGK Hóa 12
Thành phần tạo nên vị ngọt đặc trưng của nước mắm (được sản xuất từ cá) và nước tương (được sản xuất từ đậu nành) là các amino acid tạo thành từ sự thuỷ phân hoàn toàn của protein có trong cá hoặc đậu nành. Tìm hiểu và cho biết độ đạm của nước tương, nước mắm tương ứng với thành phần nào có trong nước tương, nước mắm. Độ đạm có tỉ lệ thuận với hàm lượng amino acid có trong nước tương, nước mắm không? Giải thích.
Lời giải:
Đang cập nhật...
Bài tiếp theo: Giải Hóa 12 Cánh diều bài 8