Giải Hóa 12 Cánh diều bài 11
Giải Hóa 12 Cánh diều bài 11: Nguồn điện hoá học
Giải Hóa 12 Cánh diều bài 11: Nguồn điện hoá học được VnDoc.com tổng hợp với hướng dẫn trả lời chi tiết các câu hỏi trong SGK Hóa học 12 Cánh diều các trang 76, 77, 78, 79, 80, 81, 82.
Giải Hóa 12 trang 76 Cánh diều
Mở đầu trang 76 SGK Hóa 12
Quan sát hình dưới đây:

Hình 11.1 mô tả một số loại pin thường được sử dụng trong đời sống. Vậy hoạt động của các pin trên dựa trên loại phản ứng hoá học nào?
Lời giải:
Hoạt động của các pin trên dựa trên phản ứng oxi hóa – khử.
Giải Hóa 12 trang 77 Cánh diều
Câu hỏi 1 trang 77 SGK Hóa 12
Khi nhúng một thành kẽm vào dung dịch CuSO4 thì electron từ thanh kẽm sẽ chuyển trực tiếp hay gián tiếp đến ion Cu2+ trong dung dịch? Giải thích.
Lời giải:
Electron từ thanh kẽm sẽ chuyển trực tiếp đến ion Cu2+ trong dung dịch vì thanh kẽm được nhúng (tiếp xúc trực tiếp) với CuSO4.
Luyện tập 1 trang 77 SGK Hóa 12
Hãy mô tả cấu tạo mỗi pin Galvani sau:
a) Fe-Cu.
b) Cu-Ag.
c) Fe-Ag.
Lời giải:
a) Pin Galvani Fe-Cu được tạo nên từ hai cặp oxi hóa – khử là: Fe2+/Fe và Cu2+/Cu, thanh kim loại Fe được nhúng trực tiếp vào cốc đựng dung dịch Fe2+, thanh kim loại Cu được nhúng trực tiếp vào cốc đựng dung dịch Cu2+. Hai cốc đựng dung dịch muối trong pin Galvani được nối với nhau bởi một cầu muối. Hai thanh kim loại được nối vào 1 vôn kế bằng dây dẫn để xác định được hoạt động của pin.
b) Pin Galvani Cu-Ag được tạo nên từ hai cặp oxi hóa – khử là: Cu2+/Cu và Ag+/Ag thanh kim loại Cu được nhúng trực tiếp vào cốc đựng dung dịch Cu2+, thanh kim loại Ag được nhúng trực tiếp vào cốc đựng dung dịch Ag+. Hai cốc đựng dung dịch muối trong pin Galvani được nối với nhau bởi một cầu muối. Hai thanh kim loại được nối vào 1 vôn kế bằng dây dẫn để xác định được hoạt động của pin.
c) Pin Galvani Fe-Ag được tạo nên từ hai cặp oxi hóa – khử là: Fe2+/Fe và Ag+/Ag thanh kim loại Fe được nhúng trực tiếp vào cốc đựng dung dịch Fe2+, thanh kim loại Ag được nhúng trực tiếp vào cốc đựng dung dịch Ag+. Hai cốc đựng dung dịch muối trong pin Galvani được nối với nhau bởi một cầu muối. Hai thanh kim loại được nối vào 1 vôn kế bằng dây dẫn để xác định được hoạt động của pin.
Giải Hóa 12 trang 78 Cánh diều
Luyện tập 2 trang 78 SGK Hóa 12
Hãy nêu nguyên tắc hoạt động của pin Galvani Zn-Ag và viết phương trình hoá học của phân ứng xảy ra trong pin.
Lời giải:
Nguyên tắc hoạt động của pin Galvani Zn-Ag:
|
Pin Galvani Zn-Ag |
|
|
Anode (Zn): Zn nhường electron, chuyển thành ion Zn2+ tan vào dung dịch. |
Cathode (Ag): Ion Ag+ trong dung dịch nhận electron (từ điện cực Zn qua dây dẫn chuyển sang điện cực Ag) chuyển thành Ag bám lên điện cực Ag. |
|
Phản ứng diễn ra trong pin là: Zn(s) + 2Ag+(aq) ⟶ Zn2+(aq) + 2Ag(s) |
|
Câu hỏi 2 trang 78 SGK Hóa 12
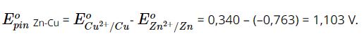
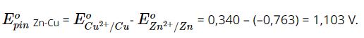
Cho biết thế điện cực chuẩn của cặp ![]()
Hãy tìm biểu thức liên hệ hai giá trị này với giá trị sức điện động chuẩn của pin Zn-Cu (bằng 1,103 V).
Lời giải:

Luyện tập 3 trang 78 SGK Hóa 12
Từ Bảng 10.1, hãy so sánh sức điện động chuẩn của pin Galvani Zn-Ni và Sn-Cu.
Lời giải:

Giải Hóa 12 trang 79 Cánh diều
Thí nghiệm trang 79 SGK Hóa 12
Thực hành lắp pin đơn giản
Chuẩn bị:
- Hoá chất: Hai thanh (hoặc dây) kim loại khác nhau (ví dụ đồng, kẽm,...), dung dịch chất điện li (ví dụ dung dịch HCI, H2SO4 loãng, NaCl,... hoặc quả chanh, quả táo,...).
- Dụng cụ: Vôn kế (hoặc đèn led nhỏ để nhận biết sự xuất hiện của dòng điện), dây dẫn, cốc thuỷ tinh.
Tiến hành:
- Cắm hai thanh (hoặc dây) kim loại vào cốc chứa dung dịch chất điện li (hoặc quả chanh, quả táo,.....)
- Đo sức điện động giữa hai thanh (hoặc dây) kim loại bằng vôn kế (Hình 11.3).

Yêu cầu: Quan sát và mô tả hiện tượng xảy ra.
Chú ý an toàn: Hai thanh kim loại trong pin không được chạm vào nhau.
Lời giải:
Hiện tượng: Kim chỉ trong vôn kế dịch chuyển vì có sự xuất hiện của dòng điện.
Vận dụng 1 trang 79 SGK Hóa 12
Tìm hiểu và cho biết một số hạn chế nếu sử dụng pin Galvani Zn-Cu trong đèn pin.
Lời giải:
Một số hạn chế nếu sử dụng pin Galvani Zn-Cu trong đèn pin là:
- Gây ô nhiễm môi trường.
- Năng lượng chứa trong pin thấp.
- Tuổi thọ pin thấp.
Giải Hóa 12 trang 80 Cánh diều
Luyện tập 4 trang 80 SGK Hóa 12
Hãy nêu một số trường hợp sử dụng acquy trong thực tế mà em biết.
Lời giải:
Acquy trong xe máy, xe đạp điện, ô tô điện, quạt tích điện chạy bằng acquy, …
Giải Hóa 12 trang 81 Cánh diều
Câu hỏi 3 trang 81 SGK Hóa 12
Mỗi phát biểu sau đây là đúng hay sai?
a) Pin mặt trời biến đổi trực tiếp quang năng thành điện năng.
b) Pin mặt trời là nguồn năng lượng xanh.
c) Khi hoạt động, pin mặt trời không gây hiệu ứng nhà kính.
d) Khi hoạt động, pin mặt trời gây mưa acid và làm Trái Đất nóng lên.
Lời giải:
a) Đúng. Pin mặt trời biến đổi trực tiếp quang năng thành điện năng.
b) Đúng vì khi hoạt động pin mặt trời sử dụng nguồn năng lượng vô tận là ánh sáng mặt trời, không tạo ra bất cứ sản phẩm hóa học nào trong quá trình hoạt động nên thân thiện với môi trường.
c) Đúng. Khi hoạt động, pin mặt trời không gây hiệu ứng nhà kính.
d) Sai. Vì pin mặt trời không tạo ra bất kì một sản phẩm hoá học nào trong quá trình hoạt động nên thân thiện với môi trường.
Vận dụng 2 trang 81 SGK Hóa 12
Tìm hiểu và giải thích những vùng miền nào ở Việt Nam thích hợp với việc phát triển điện mặt trời.
Lời giải:
Các tỉnh Tây Nguyên, Nam Bộ và Nam Trung Bộ có bức xạ mặt trời cao thích hợp với việc phát triển điện mặt trời.
Giải Hóa 12 trang 82 Cánh diều
Bài 1 trang 82 SGK Hóa 12
Sử dụng bảng thế điện cực chuẩn, xác định sức điện động chuẩn của pin Galvani tạo bởi các cặp oxi hoá – khử sau, đồng thời chỉ ra điện cực dương, điện cực âm của pin trong mỗi trường hợp:
a) Ni2+/Ni và Ag+/Ag.
b) Zn2+/Zn và 2H+/H2
Lời giải:

Bài 2 trang 82 SGK Hóa 12
Nêu ý kiến của em về nhận định: Pin nhiên liệu hydrogen và pin mặt trời sẽ ngày càng được sử dụng rộng rãi trong tương lai.
Lời giải:
Theo em nhận định trên là đúng vì:
- Pin nhiện liệu hydrogen mang lại hiệu suất cao, không tạo ra các sản phẩm gây ô nhiễm môi trường.
- Pin mặt trời sử dụng nguồn năng lượng vô tận là ánh sáng mặt trời, không tạo ra bất cứ sản phẩm hóa học nào trong quá trình hoạt động nên thân thiện với môi trường.
Với ưu điểm vượt trội hơn so với nhược điểm thì tương lai con người sẽ khắc phục được những nhược điểm đang tồn tại để các nhiên liệu trên sẽ ngày càng được sử dụng rộng rãi.
Bài 3 trang 82 SGK Hóa 12
Phát biểu nào sau đây là đúng khi nói về pin Galvani?
A. Anode là điện cực dương.
B. Cathode là điện cực âm.
C. Ở điện cực âm xảy ra quá trình oxi hoá.
D. Dòng electron di chuyển từ cathode sang anode.
Lời giải:
Đáp án đúng là: C
A. Phát biểu sai vì: trong pin Galvani thì Anode là điện cực âm.
B. Phát biểu sai vì: trong pin Galvani thì Cathode là điện cực đương.
C. Phát biểu đúng.
D. Phát biểu sai vì: trong pin Galvani thì dòng electron di chuyển từ anode sang cathode.
Bài 4 trang 82 SGK Hóa 12
Những phát biểu nào sau đây là đúng?
a) Phản ứng hoá học xảy ra trong pin Galvani là phản ứng tự diễn biến.
b) Trong pin Galvani, điện cực âm là nơi xảy ra quá trình khử.
c) Sức điện động của pin Galvani là hiệu điện thế giữa hai điện cực.
d) Pin Galvani tạo ra dòng điện từ quá trình vật lí.
Lời giải:
Đang cập nhật...
Bài 5 trang 82 SGK Hóa 12
Cho phản ứng trong một pin Galvani như sau:
2Cr(s) + 3Cu2+(aq) → 2Cr3+(aq) + 3Cu(s)
Hãy cho biết quá trình xảy ra ở anode và cathode khi pin hoạt động.
Lời giải:
Đang cập nhật...
Bài tiếp theo: Giải Hóa 12 Cánh diều bài 12