Ôn thi Đại học môn Vật Lí có đáp án - Đề số 6
VnDoc xin giới thiệu tới bạn đọc Ôn thi Đại học môn Vật Lí có đáp án - Đề số 6. Nội dung tài liệu sẽ giúp các bạn làm bài thi trắc nghiệm Vật lý 12 hiệu quả hơn. Mời các bạn tham khảo.
Câu hỏi trắc nghiệm ôn thi Đại học môn Vật Lí đề 6
1. Câu hỏi ôn thi Đại học môn Vật Lí
Câu 1: Một con lắc đơn dao động điều hòa. Khi quả cầu của con lắc đi qua vị trí cân bằng đại lượng có giá trị bằng 0 là
A. Gia tốc tiếp tuyến
B. Lực căng dây
C. Tốc độ dài
D. Gia tốc hướng tâm
Câu 2: Một chất điểm dao động điều hòa trong 10 dao động toàn phần đi được quãng đường dài 120cm. Quỹ đạo của dao động có chiều dài là
A. 6cm
B. 12cm
C. 3cm
D. 9cm
Câu 3: Tìm phát biểu sai. Trong dao động điều hòa, biên độ của vật
A. Bằng một nửa giá trị cực đại của tọa độ của vật
B. Luôn dương
C. Bằng nửa chiều dài quỹ đạo chuyển động của vật
D. Phụ thuộc vào cách kích thích ban đầu
Câu 4: Tìm phát biểu sai về sóng dừng
A. Sóng dừng không truyền tải năng lượng
B. Sóng dừng tạo thành trên dây đàn hồi và trong cột không khí đều là sóng ngang
C. Các điểm nằm giữa hai nút liên tiếp của sóng dừng dao động cùng pha
D. Điểm cách nút sóng một phần tư bước sóng dao động với biên độ cực đại
Câu 5: Hai nguồn âm có mức cường độ âm tại một điểm chênh lệch nhau 20dB. Tỉ số cường độ âm tại điểm quan sát do hai nguồn gây ra là
A. 20
B. 200
C. 10
D. 100
Câu 6: Khi có sóng dừng trên một sợi dây đàn hồi, khoảng cách từ một bụng đến nút gần nó nhất bằng
A. Một bước sóng
B. Nửa bước sóng
C. Một phần tử bước sóng
D. Một số nguyên lần nửa bước sóng
Câu 7: Điện áp giữa hai đầu cuộn dây nhanh pha π/2 so với cường độ dòng điện xoay chiều qua cuộn dây
A. Chỉ khi trong mạch có cộng hưởng điện
B. Khi cuộn dây thuần cảm
C. Chỉ xảy ra trong mạch điện không phân nhánh
D. Khi điện trở thuần của cuộn dây bằng cảm kháng của nó
Câu 8: Dòng điện xoay chiều là dòng điện
A. Có cường độ biến thiên tuần hoàn theo thời gian
B. Có cường độ biến đổi điều hòa theo thời gian
C. Có chiều biến đổi theo thời gian
D. Có chu kì không đổi
Câu 9: Một máy phát điện xoay chiều một pha có phần cảm là roto quay với tốc độ 375 vòng/phút. Tần số của suất điện động cảm ứng mà máy phát ra là 50 Hz. Số cặp cực của roto bằng
A. 16
B. 8
C. 4
D. 12
Câu 10: Sóng điện từ là
A. Sóng dọc hoặc sóng ngang
B. Là điện từ trường lan truyền trong không gian
C. Có thành phần điện trường và thành phần từ trường tại một điểm dao động cùng phương
D. Không truyền được trong chân không
Câu 11: Trong một mạch dao động LC lí tưởng cường độ dòng điện dao động với tần số góc 2.106 rad/s và có biên độ 3mA. Điện lượng chạy qua cuộn dây khi cường độ dòng điện tăng từ 0 đến khi có độ lớn bằng biên độ là
A. 1,5nC
B. 3nC
C. 6nC
D. 2nC
Câu 12: Trong mạch dao động LC lí tưởng đang có dao động điện từ tự do, điện tích của bản tụ điện và cường độ dòng điện qua cuộn cảm biến thiên điều hòa theo thời gian
A. Luôn ngược pha nhau
B. Với cùng biên độ
C. Luôn cùng pha nhau
D. Với cùng tần số
Câu 13: Tìm phát biểu sai. Sóng điện từ là sóng
A. Do điện tích sinh ra
B. Do điện tích dao động bức xạ ra
C. Có vectơ dao động vuông góc với phương truyền sóng
D. Có tốc độ truyền sóng bằng tốc độ ánh sáng
Câu 14: Phát biểu nào sau đây là đúng khi nói về tia X
A. Tia X là một loại sóng điện từ có bước sóng ngắn hơn cả bước sóng của tia tử ngoại
B. Tia X là một loại sóng điện từ phát ra từ những vật bị nung nóng đến nhiệt độ khoảng 500oC
C. Tia X không có khả năng đâm xuyên
D. Tia X được phát ra từ đèn điện
Câu 15: Nguyên nhân gây ra hiện tượng tán sắc ánh sáng Mặt trời trong thí nghiệm Niu –tơn là
A. Thủy tinh đã nhuộm màu cho chùm ánh sáng Mặt Trời
B. Chiết suất của lăng kính đối với các ánh sáng đơn sắc khác nhau là khác nhau
C. Lăng kính có tác dụng làm biến đổi màu chùm ánh sáng Mặt Trời
D. Chùm ánh sáng Mặt Trời đã bị nhiễu xạ khi đi qua lăng kính
Câu 16: Nội dung chủ yếu của thuyết lượng tử ánh sáng nói về
A. Sự hình thành các vạch quang phổ của nguyên tử
B. Sự tồn tại các trạng thái dừng của nguyên tử hidro
C. Cấu tạo của các nguyên tử, phân tử
D. Sự phát xạ và hấp thụ ánh sáng của nguyên tử, phân tử
Câu 17: Trong thí nghiệm với tế bào quang điện cách nào dưới đây có thể làm tăng động năng của quang electron khi tới anôt
A. Tăng cường độ chùm sáng kích thích
B. Tăng hiệu điện thế đặt vào hai điện cực anôt và catôt
C. Giảm tần số ánh sáng kích thích
D. Tăng bước sóng ánh sáng kích thích
Câu 18: Số electron bị bứt ra khỏi catôt của một dòng quang điện trong một giây khi dòng điện bão hòa bằng 20μA là
A. 1,25.1015
B. 1,25.1014
C. 1,25.1013
D. 1,25.1012
Câu 19: Thông thường, hạt nhân càng bền vững khi có
A. Số nuclôn càng nhỏ
B. Số nuclôn càng lớn
C. Năng lượng liên kết càng lớn
D. Năng lượng liên kết riêng càng lớn
Câu 20: Trong phản ứng hạt nhân nguyên tử, đại lượng vật lí không được bảo toàn là
A. Khối lượng
B. Số nuclôn
C. Điện tích
D. Động lượng
Câu 21: Chọn phát biểu đúng
A. Trong phản ứng hạt nhân số proton luôn bằng số nơtron
B. Khối lượng của hạt nhân bằng tổng khối lượng các nuclôn
C. Năng lượng liên kết riêng càng lớn thì hạt nhân càng bền vững
D. Khối lượng của proton lớn hơn của nơtron
Câu 22: Bắn hạt proton vào hạt nhân bia đứng yên (7Li) . Phản ứng tạo ra hai hạt nhân X giống hệt nhau bay ra. Hạt X là
A. Proton
B. Nơtron
C. Đơteri
D. Hạt anpha
Câu 23: Sóng mang của đài phát thanh có tần số 600 kHz; tốc độ truyền c= 3.108 m/s. Khoảng cách từ đài phát đến máy thu là 100 km. Khoảng cách từ đài phát đến máy thu bằng bao nhiêu lần bước sóng
A. 200
B. 500
C. 400
D. 250
Câu 24: Trong một thí nghiệm Y-âng về giao thoa ánh sáng, người ta đo được khoảng cách từ vân sáng bậc 4 đến vân sáng bậc 10 ở cùng một phía đối với vân sáng trung tâm là 2,4mm, khoảng cách giữa hai khe Y-âng là 1mm, khoảng cách từ màn chứa hai khe tới màn quan sát là 1m. Màu của ánh sáng dùng trong thí nghiệm là
A. Đỏ
B. Lục
C. Chàm
D. Tím
Câu 25: Một con lắc lò xo treo thẳng đứng vào điểm I cố định quả cầu có khối lượng 100g. Con lắc dao động điều hòa theo phương trình y=4cos10√5 t(cm) với t tính theo giây. Lấy g =10 m/s2. Lực đàn hồi do lò xo tác dụng lên điểm I có độ lớn cực đại và cực tiểu lần lượt là
A. 3N và 0
B. 4N và 1N
C. 3N và 1N
D. 4N và 2N
Câu 26: Một chất điểm dao động điều hòa. Biết khoảng thời gian giữa năm lần liên tiếp động năng của chất điểm bằng thế năng của hệ số là 0,4s. Tần số của dao động là
A. 2,5 Hz
B. 3,125Hz
C. 5Hz
D. 6,25Hz
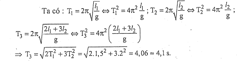
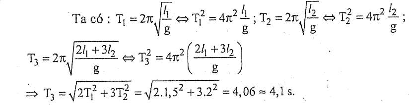
Câu 27: Một con lắc đơn gồm quả nặng có khối lượng m và dây treo có chiều dai l có thể thay đổi được. Nếu chiều dài dây trêo là l1 thì chu kì dao động của con lắc là 1,5s. Nếu chiều dài dây treo là l2 thì chu kì dao động của con lắc là 2,0s Nếu chiều dài dây treo là l3=2l1 + 3l2 thì chu kì dao động của con lắc xấp xỉ bằng
A. 3s
B. 2,5s
C. 4,1s
D. 2,9s
Câu 28: Cho hai dao động thành phần cùng phương, cùng tần số với các biên độ tương ứng là A1 và A2 . Biết biên độ của dao động tổng hợp từ hai dao động trên khí chúng cùng pha và khi chúng ngược pha lần lượt là 5cm và 1cm. Khi biên độ của dao động tổng hợp bằng √19 thi hai dao động đó lệch pha nhau là
A. π/3
B. π/6
C. π/4
D. 5π/12
Câu 29: Trên một sợi dây đàn hồi dài 1,2m hai đầu cố định đang có sóng dừng. Biết sóng truyền trên dây có tần số 100Hz và tốc độ 80 m/s. Số bụng sóng trên dây là
A. 3
B. 5
C. 4
D. 2
Câu 30: Tại O có một nguồn phát âm thanh đẳng hướng với công suất không đổi. Một máy thu chuyển động đến từ A đến C theo một đường thẳng và đo được cường độ âm tăng từ I đến 4I rồi lại giảm xuống I. Khoảng cách AO bằng
A. AC/√2
B. AC/√3
C. AC/3
D. AC/2
Câu 31: Điện năng từ nhà máy điện được đưa đến nơi tiêu thụ nhờ các dây dẫn, tại nơi tiêu thụ cần một công suất không đổi. Ban đầu hiệu suất truyền tải điện là 90%. Muốn hiệu suất truyền tải điện là 96% thì cần giảm cường độ dòng điện trên dây tải đi bao nhiêu phần trăm so với cường độ dòng điện lúc đầu
A. 42,2%
B. 38,8%
C. 40,2%
D. 36.8%
Câu 32: Đoạn mạch xoay chiều gồm điện trở thuần R =50 Ω tụ điện C= 21,2μF và một cuộn cảm thần có độ tự cảm L= 318mH mắc nối tiếp. Đặt vào hai đầu đoạn mạch một điện áp xoay chiều có U= 220V, f= 50Hz. Công suất tiêu thụ của đoạn mạch là
A. 242W
B. 484W
C. 968W
D. 1936W
Câu 33: Đoạn mạch xoay chiều gồm điện trở R, cuộn cảm thuần có độ tự cảm L= 3/10π (H) và tụ điện có điện dung C= 10-3/7 π (F) mắc nối tiếp nhau vào nguồn điện có điện áp hiệu dụng U=200V, tần số f=50Hz. Biết công suất tiêu thụ của mạch P=400W. Điện trở R có thể có giá trị là
A. 60Ω
B. 80Ω
C. 100Ω
D. 120Ω
Câu 34: Một cuộn dây thuần cảm được mắc vào hai cực của một máy phát điện xoay chiều một pha. Coi điện trở thuần của các cuộn dây trong máy không đáng kể. Nếu roto của máy quay với tốc độ n vòng/phút thì cường độ dòng điện hiệu dụng trong mạch là I. Nếu roto của máy quay với tốc độ 2n vòng /phút thì cường độ dòng điện hiệu dụng trong mạch là
A. I
B. 2I
C. 4I
D. 0,25I
Câu 35: Đặt điện áp u=240cos2πft vào hai đầu một đoạn mạch gồm điện trở thuần 120 Ω mắc nối tiếp với một tụ điện có điện dung 10-3/12 π Điều chỉnh tần số f để cường độ dòng điện hiệu dụng chay qua đoạn mạch bằng 1A. Giá trị f bằng
A. 50 Hz
B. 100Hz
C. 200Hz
D. 25Hz
Câu 36: Trong thí nghiệm Y-âng về giao thoa ánh sáng, nguồn sáng phát ra hai bức xạ có bước sóng lần lượt là λ1 = 0,5 um và λ2 = 0,75 um. Xét tại M là vân sáng bậc 6 ứng với bước sóng λ1 và tại N là vân sáng bậc 6 ứng với bước sóng λ2. Trên MN ta đếm được
A. 3 vân sáng
B. 5 vân sáng
C. 7 vân sáng
D. 9 vân sáng
Câu 37: Trong thí nghiệm Y-âng về giao thoa ánh sáng đơn sắc, khoảng vân trên màn là 1,2mm. Trên màn quan sát trong khoảng giữa hai điểm M và N ở cùng một phía so với vân sáng trung tâm, cách vân trung tâm lần lượt là 2mm và 4,5mm có
A. 2 vân sáng, 2 vân tối
B. 3 vân sáng, 2 vân tối
C. 2 vân sáng và 3 vân tối
D. 3 vân sáng và 3 vân tối
Câu 38: Biết giới hạn quang điện của nhôm là 0,36μm công thoát electron của đòng bằng 1,2 lần công thoát electron của nhôm. Giới hạn quang điện của đồng là
A. 0,3μm
B. 0,43μm
C. 0,3mm
D. 0,27μm
Câu 39: Cho phản ứng nhiệt hạch trong đó 2 hai H(2) kết hợp với nhau tạo thành He(3). Biết độ hụt khối của hạt H(2) và của He(3) lần lượng là m1 = 0,0024u và m2 = 0,0083u. Cho 1uc2 = 931,5 MeV. Năng lượng tỏa ra trong một phản ứng là
A. 0,0035 MeV
B. 3,26025 MeV
C. 931,5MeV
D.0,0108 MeV
Câu 40: Trong thí nghiệm Y-âng với ánh sáng đơn sắc. Biết khoảng cách hai khe tới màn là D =1,6m. Nếu chắn sau hai khe một lăng kinh có góc ở đỉnh là a =0,02 rad làm bằng chất có chiết suất n= 1,5 như hình vẽ thì hệ vân trên màn dịch chuyển đi một đoạn là
A. 1,6cm
B. 3,2cm
C. 1,5cm
D. 2,5cm
2. Đáp án câu hỏi trắc nghiệm ôn thi Đại học môn Vật Lí
| Câu | 1 | 2 | 3 | 4 | 5 | 6 | 7 | 8 | 9 | 10 |
| Đáp án | A | A | A | B | D | C | B | B | B | B |
| Câu | 11 | 12 | 13 | 14 | 15 | 16 | 17 | 18 | 19 | 20 |
| Đáp án | A | d | A | A | B | D | B | B | D | A |
| Câu | 21 | 22 | 23 | 24 | 25 | 26 | 27 | 28 | 29 | 30 |
| Đáp án | C | D | A | D | A | A | C | A | A | B |
| Câu | 31 | 32 | 33 | 34 | 35 | 36 | 37 | 38 | 39 | 40 |
| Đáp án | B | B | B | A | A | B | A | A | B | A |
3. Hướng dẫn giải câu hỏi trắc nghiệm ôn thi Đại học môn Vật Lí
Câu 26:
Khoảng thời gian giữa năm lần liên tiếp động năng của chất điểm bằng thế năng của hệ là một chu kì
T= 0,4s => f= 1/T= 2,5Hz
Câu 27:

Câu 28:
A1 + A2 = 5
A1 – A2 = 1
A1 = 3cm; A2 =2cm
A2 = A12 + A22 + 2A1A2cosα
α = π/3
Câu 29:
λ= v/f = 8cm
L = 3λ/2 =kλ/2
K = 3
Số bụng sóng trên dây là 3
Câu 32:

Câu 34:
Ta có U = E và tỉ lệ thuận với tốc độ quay roto
ZL tỉ lệ với tần số, nên cũng tỉ lệ với n
=> I = U/ZL không phụ thuộc vào tốc độ quay của roto
Câu 35:

Câu 37:
Vị trí vân sáng: x = ki => 2≤ ki ≤4,5 =>1,6 < k < 3,8
K ={2,3} có 2 vân sáng
Vị trí vân tối: x =(k+0,5)i => 2 ≤ (k+0,5)I ≤ 4,5 => 1,1≤ k ≤3,3
K={2,3} có 2 vân tối
Câu 38:

Câu 40:

Mời các bạn tham khảo thêm các bài viết dưới đây của chúng tôi:
- Phương pháp làm bài thi trắc nghiệm môn Vật lí
- Ôn thi Đại học môn Vật Lí có đáp án - Đề số 1
- Ôn thi Đại học môn Vật Lí có đáp án - Đề số 2
- Ôn thi Đại học môn Vật Lí có đáp án - Đề số 3
- Ôn thi Đại học môn Vật Lí có đáp án - Đề số 4
- Ôn thi Đại học môn Vật Lí có đáp án - Đề số 5
Trên đây VnDoc đã giới thiệu tới các bạn Ôn thi Đại học môn Vật Lí có đáp án - Đề số 6. Để có kết quả cao hơn trong học tập, VnDoc xin giới thiệu tới các bạn học sinh tài liệu Soạn bài lớp 12, Giải bài tập Toán lớp 12, Giải bài tập Hóa học lớp 12, Giải bài tập Vật Lí 12, Tài liệu học tập lớp 12 mà VnDoc tổng hợp và đăng tải.