1
Lăng kính có tác dụngTrắc nghiệm Vật lý lớp 11 chương 7 do VnDoc biên soạn nhằm hỗ trợ học sinh củng cố lại kiến thức của toàn chương, nâng cao kết quả học tập môn Lý 11 cũng như đề thi học kì 2 sắp tới.
Điểm khả dụng: 0 điểm
Bạn sẽ dùng 50 điểm để đổi lấy 1 lượt làm bài.
Bạn không đủ điểm để đổi.
1
Lăng kính có tác dụng2
Kính lúp dung để quan sát các vật có kích thước
3
Khi nói về cách sử dụng kính lúp, phát biểu nào sau đây sai?
4
Số bội giác của kính lúp hoặc kính hiển vi phụ thuộc khoảng nhìn rõ ngắn nhất Đ của người quan sát, còn với kính thiên văn hoặc ống nhòm thì không phụ thuộc vào Đ vì
5
Số bội giác thu được với kính hiển vi tốt, loại đắt tiền có thể thay đổi được trong phạm vi rộng là nhờ
6
Số bội giác của kính thiên văn khi ngắm chừng ở vô cực
7
Một vật AB đặt vuông góc với trục chính của một thấu kính cho ảnh cùng chiều, nhỏ hơn vật 2 lần, cách thấu kính 6cm. Tiêu cự của thấu kính và vị trí của vật để có ảnh nhỏ hơn vật 3 lần lượt là
8
Hai ngọn đèn S1 và S2 (coi như các điểm sáng) đặt cách nhau 16cm trên trục chính của thấu kính có tiêu cự 6cm. Ảnh tạo bởi thấu kính của S1 và S2 trùng nhau tạo S’ (hình VII.1). Khoảng cách từ S’ tới thấu kính là
9
Một vật sáng AB đặt trước và vuông góc với trục chính của thấu kính ảnh A1B1 cùng chiều với vật. Dịch vật ra xa thấu kính thêm 3cm ta được ảnh A2B2 = 2A1B1, ảnh A2B2 vẫn cùng chiều với vật và dịch đi so với ảnh trước 24cm. Tiêu cự của thấu kính này là
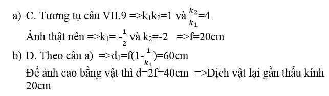
10
Một vật sáng AB đặt vuông góc với trục chính của thấu kính cho ảnh thật. Nếu cho vật dịch chuyển lại gần thấu kính 30cm thì ảnh sau của AB vẫn là ảnh thật nằm cách vật một khoảng như cũ và cao gắp 4 lần ảnh trước
a) Tiêu cự của thấu kính này là
b
Để được ảnh sau cao bằng vật thì phải dịch chuyển vật từ vị trí ban đầu một đoạn11
Một thấu kính hội tụ có tiêu cự 10cm, có dạng hình tròn. Điểm sáng đặt ở trục chính và trước thấu kính thì tìm được hai vị trí sao trên màn ảnh đặt sau thấu kính thu được vệt sáng tròn cùng đường kính rìa với thấu kính. Biết khoảng cách hai vị trí đặt vật cách nhau 10cm. Khoảng cách từ màn đến thấu kính là
12
Đặt điểm sáng S trên trục chính của thấu kính và cách thấu kính 11cm. Thu ảnh trên màn E được điểm sáng S’ đối xứng với S qua thấu kính. Nếu đặt mane tại điêu diện của thấu từ vị trí ban đầu dịch chuyển S ra xa thấu kính trên trục chính, S chuyển động nhanh dần đều với gia tốc 4m/s2 ( tốc độ ban đầu bằng 0). Khoảng thời gian nhỏ nhất để diện tích vệt sáng trên màn bằng 1/36 diện tích ban đầu là
( Hình VII.2G) Ảnh S’ đối xứng với S => d’=2f=22cm
Đặt E tại tiêu diện thì diện tích đường tròn sáng là: S=πR2=36S’
=>R=6R’ (R’ là bán kính vết sáng tròn sau khi dịch chuyển nguồn sáng)
Khi đặt màn E lại tiêu diện của thấu kính => R=0,5Ro
Dịch chuyển S đến B, từ hình vẽ và xét tam tam giác đồng dạng, ta có:
13
Đặt điểm sáng S cách màn ảnh E một khoảng 100cm. Giữa S và màn đặt một thấu kính hội tụ có tiêu cự 36cm. Tịnh tiến thấu kính giữa điểm sáng S và màn có vị trí của thấu kính sao cho đường kính của vết sáng trên màn là nhỏ nhất. Biết đường kính đường rìa của thấu kính là 9cm. Đường kính cực tiểu của vết sáng là
Theo bài ra, khoảng cách từ vật đến màn L=100cm < 4f nên ảnh luôn nằm sau màn ( Hình VII.3G)
Xét hai tam giác đồng dạng:

14
Chiếu một chùm sáng hội tụ qua một lỗ tròn trên một màn chắn sáng, thấy chum sáng hội tụ tại một điểm trên đường thẳng vuông góc với mặt phẳng của lỗ và đi qua tâm lỗ tròn, cách tâm lỗ tròn một khoảng 10cm. Đặt vào lỗ tròn một thấu kính phân kì thì thấy chùm sáng hội tụ tại một điểm cách tâm lỗ tròn một khoảng 20cm. Tiêu cự của thấu kính là
Khi đặt thấu kính phân kì chắn lỗ tròn thì vật ban đầu là vật ảo, thu được ảnh thật nên ta có: d= -10cm; d’=20cm
Theo công thức thấu kính: f=(d' d)/(d'+d)= -20cm
15
Một kính hiển vi có vật kính với tiêu cự 4mm, thị kính với tiêu cự 20mm và độ dài quang học bằng 156mm. Người quan sát có mắt bình thường với điểm cực cận cách mắt một khoảng 25cm. Mắt đặt tại tiêu điểm ảnh của thị kính. Khoảng cách từ vật tới vật kính khi ngắm chừng ở điểm cực cận là
16
Một người mắt cận thị có điểm cực cận cách mắt 11cm và điểm cực viễn cách mắt 51cm. Để sửa tật cận thị mắt phải đeo kính gì, có độ tụ bằng bao nhiêu? Biết rằng kính đeo cách mắt 1cm
17
Một người cận thị có khoảng nhìn rõ từ 10cm đến 40cm, quan sát một vật nhỏ qua kính lúp có độ tụ +10dp. Mắt đặt sát sau kính. MUốn nhìn rõ ảnh của vật qua lăng kính ta phải đặt vật trước kính và cách kính trong khoảng từ
18
Một kính thiên văn có vật kính với độ tụ 0,5dp. Thị kính cho phép nhìn vật cao 1mm đặt tong tiêu diện vật dưới góc là 0,05 rad. Số bội giác của kính thiên văn khi ngắm chừng ở vô cực là
Theo Nghị định 147/2024/ND-CP, bạn cần xác thực tài khoản trước khi sử dụng tính năng này. Chúng tôi sẽ gửi mã xác thực qua SMS hoặc Zalo tới số điện thoại mà bạn nhập dưới đây: