Vở bài tập Toán lớp 4 Bài 58: Tính chất cơ bản của phân số Cánh diều
Giải VBT Toán 4 Bài 58: Tính chất cơ bản của phân số Cánh Diều
Vở bài tập Toán lớp 4 trang 13, 14: Tính chất cơ bản của phân số là lời giải chi tiết cho Bài 58 của quyển Toán 4 (Tập 2) sách Cánh Diều, được biên soạn nhằm giúp các em học sinh học tập tốt môn Toán lớp 4. Đồng thời đây cũng là tài liệu tham khảo cho các phụ huynh và giáo viên trong quá trình dạy học. Mời các bạn cùng luyện Giải Vở bài tập toán 4 Cánh Diều.
Vở bài tập Toán lớp 4 Tập 2 trang 13 Bài 1
Số?
|
|
|
Lời giải

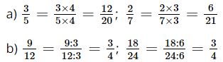
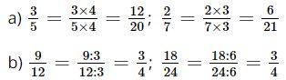
Vở bài tập Toán lớp 4 Tập 2 trang 13 Bài 2
Số?
![]()
Lời giải
![]()
Vở bài tập Toán lớp 4 Tập 2 trang 13 Bài 3
Nối phân số bằng phân số đã cho:

Lời giải

Vở bài tập Toán lớp 4 Tập 2 trang 14 Bài 4
Long và Châu đều nói rằng đã tô màu vào
\(\frac{2}{3}\) hình vuông. Theo em, hai bạn nói đúng không? Vì sao?

Trả lời: ..............................................................................................................
............................................................................................................................
............................................................................................................................
Lời giải
- Theo em, hai bạn đều nói đúng.
- Giải thích:
+ Long đã tô màu
\(\frac{6}{9}=\frac{6:3}{9:3} =\frac{2}{3}\) hình vuông.
+ Châu đã tô màu
\(\frac{2}{3}\) hình vuông.
Vở bài tập Toán lớp 4 Tập 2 trang 14 Bài 5
Viết phân số chỉ số phần bánh đã lấy đi của mỗi hình vẽ sau (theo mẫu):

Lời giải

Vở bài tập Toán lớp 4 Tập 2 trang 14 Bài 6
Vẽ hình biểu diễn phân số
\(\frac{1}{2}\) và
\(\frac{2}{4}\).

Lời giải
