Vở bài tập Toán lớp 4 Bài 74: Trừ các phân số cùng mẫu số Cánh diều
Giải VBT Toán 4 Cánh diều Bài 74: Trừ các phân số cùng mẫu số
Vở bài tập Toán lớp 4 trang 50, 51: Trừ các phân số cùng mẫu số là lời giải chi tiết cho Bài 74 của quyển Toán 4 (Tập 2) sách Cánh Diều, được biên soạn nhằm giúp các em học sinh học tập tốt môn Toán lớp 4. Đồng thời đây cũng là tài liệu tham khảo cho các phụ huynh và giáo viên trong quá trình dạy học. Mời các bạn cùng luyện Giải Vở bài tập toán 4 Cánh Diều.
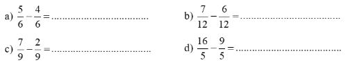
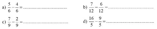
Vở bài tập Toán lớp 4 Tập 2 trang 50 Bài 1
Tính:

Lời giải

Vở bài tập Toán lớp 4 Tập 2 trang 50 Bài 2
Tính rồi rút gọn (theo mẫu):

Lời giải

Vở bài tập Toán lớp 4 Tập 2 trang 51 Bài 3
Đúng ghi (Đ), sai ghi (S) vào ô trống:

Sửa các phép tính sai:
....................................................................................
....................................................................................
Lời giải

Sửa các phép tính sai:

Vở bài tập Toán lớp 4 Tập 2 trang 51 Bài 4
Trò chơi “Đố bạn”:
Em viết hai phân số có cùng mẫu số rồi đố bạn trừ hai phân số đó.
....................................................................................
....................................................................................
....................................................................................
Lời giải
Hai phân số có cùng mẫu số:
\(\frac{11}{4}\) và
\(\frac{5}{4}\)
Trừ hai phân số trên:
\(\frac{11}{4} -\frac{5}{4} =\frac{6}{4} =\frac{3}{2}\)
Vở bài tập Toán lớp 4 Tập 2 trang 51 Bài 5
Dữ liệu trong máy tính xách tay của chú Minh đã chứa đầy
\(\frac{9}{10}\) dung lượng bộ nhớ, chú Minh xóa bớt dữ liệu bằng
\(\frac{3}{10}\) dung lượng bộ nhớ. Hỏi dữ liệu còn lại chiếm bao nhiêu phần dung lượng bộ nhớ?
Bài giải
........................................................................................
........................................................................................
.........................................................................................
Lời giải
Dữ liệu còn lại chiếm số phần dung lượng bộ nhớ là:
\(\frac{9}{10} -\frac{3}{10}=\frac{3}{5}\) (dung lượng bộ nhớ)
Đáp số:
\(\frac{3}{5}\) dung lượng bộ nhớ
Ngoài ra, các bạn có thể xem thêm: