Vở bài tập Toán lớp 4 Bài 76: Cộng các phân số khác mẫu số Cánh diều
Giải VBT Toán 4 Cánh diều Bài 76: Cộng các phân số khác mẫu số
Vở bài tập Toán lớp 4 trang 54, 55: Cộng các phân số khác mẫu số là lời giải chi tiết cho Bài 76 của quyển Toán 4 (Tập 2) sách Cánh Diều, được biên soạn nhằm giúp các em học sinh học tập tốt môn Toán lớp 4. Đồng thời đây cũng là tài liệu tham khảo cho các phụ huynh và giáo viên trong quá trình dạy học. Mời các bạn cùng luyện Giải Vở bài tập toán 4 Cánh Diều.
Vở bài tập Toán lớp 4 Tập 2 trang 54 Bài 1
Tính:

Lời giải

Vở bài tập Toán lớp 4 Tập 2 trang 54 Bài 2
Rút gọn rồi tính:

Lời giải

Vở bài tập Toán lớp 4 Tập 2 trang 54 Bài 3
Chú Nam mua 1l hoá chất để làm thí nghiệm khoa học, lần thứ nhất chú Nam sử dụng
\(\frac{2}{5}\)l, lần thứ hai chú Nam sử dụng
\(\frac{3}{10}\)l. Hỏi cả hai lần chú Nam sử dụng hết bao nhiêu phần lít hóa chất đó?

Bài giải
.................................................................................
.................................................................................
.................................................................................
Lời giải
Cả hai lần chú Nam sử dụng hết số phần lít hóa chất đó là:
\(\frac{2}{5} +\frac{3}{10}=\frac{7}{10}\) (lít)
Đáp số:
\(\frac{7}{10}\) (lít)
Vở bài tập Toán lớp 4 Tập 2 trang 55 Bài 4
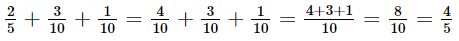
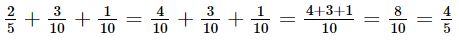
Lan Anh tạo ra một phân số bí mật như sau: Lấy một băng dính chia làm 10 phần bằng nhau. Lần lượt tô màu theo chỉ dẫn sau:
•Tô màu đỏ vào
\(\frac{2}{5}\) băng giấy,
•Tô màu xanh vào
\(\frac{3}{10}\) băng giấy,
•Tô màu vàng vào
\(\frac{1}{10}\) băng giấy.
Phân số chỉ tổng số phần băng giấy đã được tô màu sau khi rút gọn chính là phân số bí mật. Tìm phân số bí mật đó.

Trả lời: .........................................................................
.....................................................................................
.....................................................................................
.....................................................................................
Phân số bí mật đó là:
![]()
Đáp số:
\(\frac{4}{5}\)
..................................
Ngoài ra, các bạn có thể xem thêm: