Vở bài tập Toán lớp 4 Bài 79: Luyện tập chung Cánh diều
Giải VBT Toán 4 Cánh diều Bài 79: Luyện tập chung
Vở bài tập Toán lớp 4 trang 61, 62: Luyện tập chung là lời giải chi tiết cho Bài 79 của quyển Toán 4 (Tập 2) sách Cánh Diều, được biên soạn nhằm giúp các em học sinh học tập tốt môn Toán lớp 4. Đồng thời đây cũng là tài liệu tham khảo cho các phụ huynh và giáo viên trong quá trình dạy học. Mời các bạn cùng luyện Giải Vở bài tập toán 4 Cánh Diều.
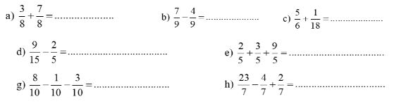
Vở bài tập Toán lớp 4 Tập 2 trang 61 Bài 1
Tính:

Lời giải

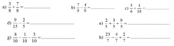
Vở bài tập Toán lớp 4 Tập 2 trang 61 Bài 2
a) Tính rồi so sánh:

Nhận xét: Khi thực hiện phép cộng hai phân số, ta có thể đổi chỗ các số hạng trong một tổng mà tổng của chúng không thay đổi.
b) Viết ví dụ tương tự câu a rồi đố bạn thực hiện.
.....................................................................................
.....................................................................................
Lời giải
a)

b) Ví dụ tương tự:

Vở bài tập Toán lớp 4 Tập 2 trang 61 Bài 3
a) Tính rồi so sánh:

Nhận xét: Khi cộng một tổng hai phân số với phân số thứ ba, ta có thể cộng phân số thứ nhất với tổng của phân số thứ hai và phân số thứ ba.
b) Viết ví dụ tương tự câu a rồi đố bạn thực hiện.
.....................................................................................
.....................................................................................
Lời giải
a)

b) Viết ví dụ tương tự câu a rồi đố bạn thực hiện.

Vở bài tập Toán lớp 4 Tập 2 trang 62 Bài 4
Tính:

Lời giải

Vở bài tập Toán lớp 4 Tập 2 trang 62 Bài 5
Bác thợ mộc làm một cái hộp gỗ hết
\(\frac{3}{2}\) giờ, làm một khay gỗ hết
\(\frac{3}{4}\) giờ. Hỏi thời gian bác làm cái hộp nhiều hơn thời gian làm cái khay là bao lâu?
Bài giải
......................................................................................
......................................................................................
......................................................................................
Lời giải
Thời gian bác làm cái hộp nhiều hơn thời gian làm cái khay là:
\(\frac{3}{2} -\frac{3}{4} =\frac{3}{4}\) (giờ)
Đáp số:
\(\frac{3}{4}\) (giờ)
Vở bài tập Toán lớp 4 Tập 2 trang 62 Bài 6
Sáng nay mẹ bạn Nguyên đem ra một hộp sữa tươi 1 l để cả nhà cùng uống. Nguyên uống
\(\frac{1}{4}\) hộp, bố uống
\(\frac{1}{4}\) hộp, mẹ uống
\(\frac{1}{8}\) hộp. Hỏi sáng nay gia đình bạn Nguyên đã uống hết bao nhiêu phần hộp sữa và còn lại bao nhiêu phần?
Trả lời: ..........................................................................
......................................................................................
......................................................................................
Lời giải
Gia đình bạn Nguyên đã uống hết số phần hộp sữa là:
\(\frac{1}{4} +\frac{1}{4} +\frac{1}{8} =\frac{5}{8}\) (hộp)
Số phần còn lại của hộp sữa là:
\(1-\frac{5}{8}=\frac{3}{8}\) (hộp)
Đáp số:
\(\frac{5}{8}\) hộp sữa;
\(\frac{3}{8}\) hộp sữa.