Vở bài tập Toán lớp 4 Bài 75: Luyện tập Cánh diều
Giải VBT Toán 4 Cánh diều Bài 75: Luyện tập
Vở bài tập Toán lớp 4 trang 52, 53: Luyện tập là lời giải chi tiết cho Bài 75 của quyển Toán 4 (Tập 2) sách Cánh Diều, được biên soạn nhằm giúp các em học sinh học tập tốt môn Toán lớp 4. Đồng thời đây cũng là tài liệu tham khảo cho các phụ huynh và giáo viên trong quá trình dạy học. Mời các bạn cùng luyện Giải Vở bài tập toán 4 Cánh Diều.
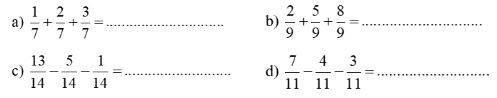
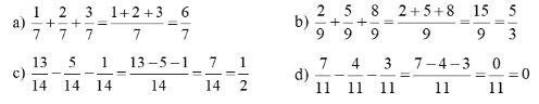
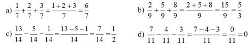
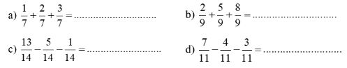
Vở bài tập Toán lớp 4 Tập 2 trang 52 Bài 1
Tính:

Lời giải

Vở bài tập Toán lớp 4 Tập 2 trang 52 Bài 2
Tính rồi rút gọn:

Lời giải

Vở bài tập Toán lớp 4 Tập 2 trang 52 Bài 3
Tính:

Lời giải

Vở bài tập Toán lớp 4 Tập 2 trang 52 Bài 4
Viết ví dụ hai phân số có cùng mẫu số rồi đố bạn cộng hoặc trừ hai phân số đó.
................................................................................
................................................................................
................................................................................
................................................................................
Lời giải
- Hai phân số cùng mẫu:
\(\frac{3}{5}\) và
\(\frac{1}{5}\)
- Cộng hai phân số trên:
\(\frac{3}{5} +\frac{1}{5} =\frac{3+ 1}{5} =\frac{4}{5}\)
- Trừ hai phân số trên:
\(\frac{3}{5} -\frac{3}{5} =\frac{3-1}{5} =\frac{2}{5}\)
Vở bài tập Toán lớp 4 Tập 2 trang 53 Bài 5
Một vòi nước chảy vào một bể. Giờ thứ nhất vòi nước chảy được
\(\frac{2}{5}\)5 bể, giờ thứ hai vòi nước chảy tiếp được
\(\frac{1}{5}\) bể. Hỏi sau hai giờ vòi đó chảy được bao nhiêu phần của bể?
Bài giải
..................................................................................
..................................................................................
..................................................................................
Lời giải
Sau hai giờ vòi đó chảy được số phần của bể là:
\(\frac{2}{5} +\frac{1}{5} =\frac{3}{5}\) (bể)
Đáp số:
\(\frac{3}{5}\) (bể)
Vở bài tập Toán lớp 4 Tập 2 trang 53 Bài 6
Một công viên có
\(\frac{5}{8}\) diện tích đã trồng hoa và cây xanh, trong đó diện tích trồng hoa bằng
\(\frac{1}{8}\) diện tích của công viên. Hỏi diện tích trồng cây xanh bằng bao nhiêu phần diện tích của công viên?

Bài giải
...................................................................................
...................................................................................
...................................................................................
Lời giải
Diện tích trồng cây xanh bằng số phần diện tích của công viên là:
\(\frac{5}{8} -\frac{1}{8} =\frac{1}{2}\) (diện tích công viên).
Đáp số:
\(\frac{1}{2}\) (diện tích công viên).
Ngoài ra, các bạn có thể xem thêm: