Vở bài tập Toán lớp 4 Bài 80: Phép nhân phân số Cánh diều
Giải VBT Toán 4 Cánh diều Bài 80: Phép nhân phân số
Vở bài tập Toán lớp 4 trang 63, 64: Phép nhân phân số là lời giải chi tiết cho Bài 80 của quyển Toán 4 (Tập 2) sách Cánh Diều, nhằm giúp các em học sinh học tập tốt môn Toán lớp 4. Đồng thời đây cũng là tài liệu tham khảo cho các phụ huynh và giáo viên trong quá trình dạy học. Mời các bạn cùng luyện Giải Vở bài tập toán 4 Cánh Diều.
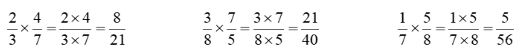
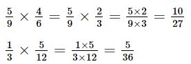
Vở bài tập Toán lớp 4 Tập 2 trang 63 Bài 1
Tính:
![]()
Lời giải

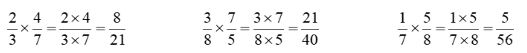
Vở bài tập Toán lớp 4 Tập 2 trang 63 Bài 2
Rút gọn rồi tính:

Lời giải

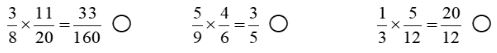
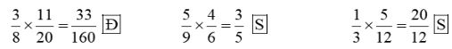
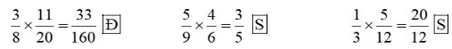
Vở bài tập Toán lớp 4 Tập 2 trang 63 Bài 3
a) Đúng ghi (Đ), sai ghi (S) vào ô trống:

Sửa lại các phép tính sai.
.........................................................................................
.........................................................................................
b) Nối thẻ ghi phép nhân phân số với thẻ hình và thẻ ghi kết quả thích hợp:

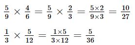
Lời giải
a) Đúng ghi (Đ), sai ghi (S) vào ô trống:

Sửa lại các phép tính sai.

b) Nối thẻ ghi phép nhân phân số với thẻ hình và thẻ ghi kết quả thích hợp:

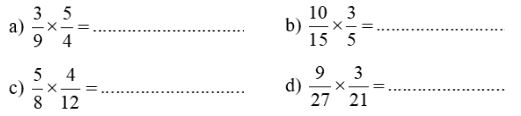
Vở bài tập Toán lớp 4 Tập 2 trang 64 Bài 4
Tính (theo mẫu):
Mẫu:
\(\frac{3}{4} \times 5=\frac{3}{4} \times\frac{5}{1} =\frac{3\times 5}{4\times 1}=\frac{15}{4}\)
Ta có thể viết gọn như sau:
\(\frac{3}{4} \times 5=\frac{3\times 5}{4}=\frac{15}{4}\)
Mẫu:
\(4\times \frac{2}{9}=\frac{4}{1} \times\frac{2}{9} =\frac{4\times 2}{1\times 9}=\frac{8}{9}\)
Ta có thể viết gọn như sau:
\(4\times \frac{2}{9}=\frac{4\times 2}{9}=\frac{8}{9}\)

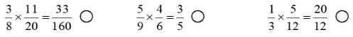
Lời giải

Vở bài tập Toán lớp 4 Tập 2 trang 64 Bài 5
Một biển quảng cáo hình chữ nhật có chiều dài
\(\frac{3}{4}\) m và chiều rộng
\(\frac{5}{8}\) m. Tính diện tích biển quảng cáo đó.
Lời giải
Diện tích biển quảng cáo là:
\(\frac{3}{4}\times \frac{5}{8} =\frac{15}{32}\) (m2)
Đáp số:
\(\frac{15}{32}\)m2
Vở bài tập Toán lớp 4 Tập 2 trang 64 Bài 6
Chọn số vào ô trống cho thích hợp để được phép nhân đúng.

Lời giải
\(\frac{3}{2} \times \frac{4}{1}=\frac{3\times 4}{2\times 1}=\frac{12}{2} =6\)