Vở bài tập Toán lớp 4 Bài 78: Luyện tập Cánh diều
Giải VBT Toán 4 Cánh diều Bài 78: Luyện tập
Vở bài tập Toán lớp 4 trang 58, 59, 60: Luyện tập là lời giải chi tiết cho Bài 78 của quyển Toán 4 (Tập 2) sách Cánh Diều, được biên soạn nhằm giúp các em học sinh học tập tốt môn Toán lớp 4. Đồng thời đây cũng là tài liệu tham khảo cho các phụ huynh và giáo viên trong quá trình dạy học. Mời các bạn cùng luyện Giải Vở bài tập toán 4 Cánh Diều.
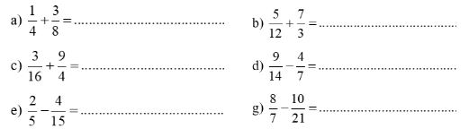
Vở bài tập Toán lớp 4 Tập 2 trang 58 Bài 1
Tính:

Lời giải

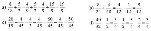
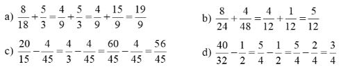
Vở bài tập Toán lớp 4 Tập 2 trang 58 Bài 2
Rút gọn rồi tính:

Lời giải

Vở bài tập Toán lớp 4 Tập 2 trang 58 Bài 3
Tính (theo mẫu):
a) Mẫu: ![]()
Ta có thể viết gọn như sau:

b) Mẫu: ![]()

Lời giải
a)

b)

Vở bài tập Toán lớp 4 Tập 2 trang 59 Bài 4
Khoanh vào chữ đặt trước đáp án đúng.
Báo gấm và lợn rừng cùng chạy. Khi lợn rừng chạy được
\(\frac{1}{6}\) quãng đường thì báo gấm chạy được
\(\frac{1}{2}\) quãng đường đó. Hỏi báo gấm chạy nhanh hơn lợn rừng bao nhiêu phần quãng đường?
A.
\(\frac{2}{3}\)
B.
\(\frac{2}{8}\)
C.
\(\frac{5}{6}\)
D.
\(\frac{1}{3}\)
Lời giải
Đáp án đúng là: D
Báo gấm chạy nhanh hơn lợn rừng số phần quãng đường là:
\(\frac{1}{2} -\frac{1}{6} =\frac{1}{3}\) (quãng đường)
Đáp số:
\(\frac{1}{3}\) (quãng đường)
Vở bài tập Toán lớp 4 Tập 2 trang 59 Bài 5
Nguyên liệu mẹ mua về làm bánh gồm có:
\(\frac{9}{4}\) kg gạo nếp,
\(\frac{1}{2}\) kg đỗ xanh,
\(\frac{3}{4}\)kg thịt. Hỏi mẹ đã mua tất cả bao nhiêu ki-lô-gam nguyên liệu?

Bài giải
.....................................................................................
.....................................................................................
.....................................................................................
Lời giải
Số ki-lô-gam nguyên liệu mẹ đã mua về là:
\(\frac{9}{4} +\frac{1}{2} +\frac{3}{4} =\frac{7}{2}\) (kg)
Đáp số:
\(\frac{7}{2}\) (kg)
Vở bài tập Toán lớp 4 Tập 2 trang 60 Bài 6
Hãy giúp bạn Voi tìm được vườn mía bằng cách thực hiện đúng các phép cộng, phép trừ hai phân số trên đường đi.


Lời giải
