Vở bài tập Toán lớp 4 Bài 59: Rút gọn phân số Cánh diều
Giải VBT Toán 4 Bài 59: Rút gọn phân số Cánh Diều
Vở bài tập Toán lớp 4 trang 15, 16: Rút gọn phân số là lời giải chi tiết cho Bài 59 của quyển Toán 4 (Tập 2) sách Cánh Diều, được biên soạn nhằm giúp các em học sinh học tập tốt môn Toán lớp 4. Đồng thời đây cũng là tài liệu tham khảo cho các phụ huynh và giáo viên trong quá trình dạy học. Mời các bạn cùng luyện Giải Vở bài tập toán 4 Cánh Diều.
Vở bài tập Toán lớp 4 Tập 2 trang 15 Bài 1
Rút gọn các phân số:
|
a) c) |
b) d) |
Lời giải

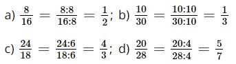
Vở bài tập Toán lớp 4 Tập 2 trang 15 Bài 2
Rút gọn các phân số sau về phân số tối giản:
|
a) c) |
b) d) |
Ghi chú: Khi rút gọn phân số, ta nên rút gọn cho đến khi nhận được phân số tối giản.
Lời giải

Vở bài tập Toán lớp 4 Tập 2 trang 15 Bài 3
a) Phân số nào trong các phân số:
\(\frac{1}{5}\),
\(\frac{7}{6}\),
\(\frac{9}{19}\),
\(\frac{16}{32}\) là phân số tối giản?
Trả lời: ...................................................................................................................
b) Hãy viết ba phân số tối giản, ba phân số chưa tối giản. Rút gọn các phân số chưa tối giản vừa viết.
.................................................................................................................................
.................................................................................................................................
.................................................................................................................................
.................................................................................................................................
.................................................................................................................................
Lời giải
a) Phân số tối giản là:
\(\frac{1}{5}\),
\(\frac{7}{6}\),
\(\frac{9}{19}\)
b)
- Phân số tối giản:
\(\frac{3}{5}\),
\(\frac{1}{6}\),
\(\frac{13}{21}\)
- Phân số chưa tối giản:
\(\frac{5}{15}\),
\(\frac{49}{14}\),
\(\frac{4}{36}\)
- Rút gọn:

Vở bài tập Toán lớp 4 Tập 2 trang 16 Bài 4
a) Quan sát cách tính của Hiếu và Thảo khi rút gọn phân số
\(\frac{12}{18}\) rồi nêu nhận xét:

Nhận xét: ..................................................................................................................
....................................................................................................................................
....................................................................................................................................
b) Rút gọn phân số
\(\frac{30}{60}\) về dạng phân số tối giản sử dụng cách làm của Hiếu hoặc của Thảo.
....................................................................................................................................
....................................................................................................................................
Lời giải
a) Hiếu cần rút gọn 2 lần mới được phân số tối giản, còn Thảo chỉ cần 1 lần rút gọn.
b) Với cách làm của Hiếu:
.
Với cách làm của Thảo: ![]()
Vở bài tập Toán lớp 4 Tập 2 trang 16 Bài 5
Một bài ôn tập có tất cả 16 câu hỏi. Bạn Gia Hân trả lời đúng 12 câu.
a) Hỏi bạn Gia Hân trả lời đúng bao nhiêu phần số câu hỏi của bài ôn tập?
Trả lời: ........................................................................................................................
......................................................................................................................................
b) Rút gọn phân số ở câu a về dạng phân số tối giản.
......................................................................................................................................
Lời giải
a) Bạn Gia Hân trả lời đúng
\(\frac{12}{16}\) số câu hỏi của bài ôn tập.
b)
\(\frac{12}{16} =\frac{12:4}{16:4}=\frac{3}{4}\)