Vở bài tập Toán lớp 4 Bài 86: Luyện tập chung Cánh diều
Giải VBT Toán 4 Cánh diều Bài 86: Luyện tập chung
- Vở bài tập Toán lớp 4 Tập 2 trang 77 Bài 1
- Vở bài tập Toán lớp 4 Tập 2 trang 77 Bài 2
- Vở bài tập Toán lớp 4 Tập 2 trang 77 Bài 3
- Vở bài tập Toán lớp 4 Tập 2 trang 77 Bài 4
- Vở bài tập Toán lớp 4 Tập 2 trang 78 Bài 5
- Vở bài tập Toán lớp 4 Tập 2 trang 78 Bài 6
- Vở bài tập Toán lớp 4 Tập 2 trang 79 Bài 7
- Vở bài tập Toán lớp 4 Tập 2 trang 79 Bài 8
Vở bài tập Toán lớp 4 trang 77, 78, 79: Luyện tập chung là lời giải chi tiết cho Bài 86 của quyển Toán 4 (Tập 2) sách Cánh Diều, được biên soạn nhằm giúp các em học sinh học tập tốt môn Toán lớp 4. Đồng thời đây cũng là tài liệu tham khảo cho các phụ huynh và giáo viên trong quá trình dạy học. Mời các bạn cùng luyện Giải Vở bài tập toán 4 Cánh Diều.
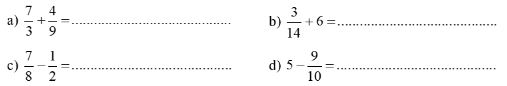
Vở bài tập Toán lớp 4 Tập 2 trang 77 Bài 1
Tính:

Lời giải

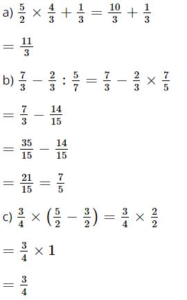
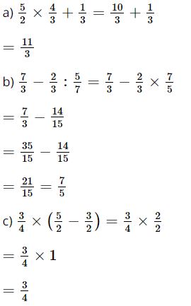
Vở bài tập Toán lớp 4 Tập 2 trang 77 Bài 2
Tính:

Lời giải

Vở bài tập Toán lớp 4 Tập 2 trang 77 Bài 3
Tính:

Lời giải

Vở bài tập Toán lớp 4 Tập 2 trang 77 Bài 4
Mẹ lấy
\(\frac{2}{3}\) thanh phô mai để làm bánh và lấy
\(\frac{1}{6}\) thanh phô mai đó để chiên khoai tây. Hỏi còn lại mấy phần thanh phô mai?
Bài giải
.................................................................................
.................................................................................
.................................................................................
.................................................................................
.................................................................................
Lời giải
Số phần thanh phô mai đã được sử dụng là:
\(\frac{2}{3} + \frac{1}{6} =\frac{5}{6}\)(thanh)
Còn lại số phần thanh phô mai là:
\(1-\frac{5}{6} =\frac{1}{6}\) (thanh)
Đáp số: 16 thanh phô mai.
Vở bài tập Toán lớp 4 Tập 2 trang 78 Bài 5
Biết rằng trong cơ thể người lượng nước chiếm khoảng
\(\frac{3}{5}\) khối lượng cơ thể. Hỏi lượng nước trong cơ thể một người nặng 65 kg là bao nhiêu ki-lô-gam?
Bài giải
.................................................................................
.................................................................................
.................................................................................
Lời giải
Lượng nước trong cơ thể một người nặng 65 kg là:
\(\frac{3}{5} \times 65=39\) (kg)
Đáp số: 39 kg
Vở bài tập Toán lớp 4 Tập 2 trang 78 Bài 6
Trong một tháng, một nhân viên hành chính phải xử lí 120 báo cáo số liệu gửi về. Tuần đầu tiên người đó xử lí được
\(\frac{1}{4}\) số báo cáo. Tuần tiếp theo người đó xử lí được
\(\frac{1}{2}\) số báo cáo. Hỏi sau hai tuần người đó còn phải xử lí bao nhiêu báo cáo nữa?

Bài giải
.............................................................................
.............................................................................
.............................................................................
.............................................................................
.............................................................................
.............................................................................
.............................................................................
Lời giải
Số báo cáo người đó xử lí được trong tuần đầu tiên là:
\(120\times \frac{1}{4} =30\) (báo cáo)
Số báo cáo người đó xử lí được trong tuần thứ hai là:
\(120\times \frac{1}{2} =60\) (báo cáo)
Số báo cáo người đó phải xử lí sau hai tuần là:
120 – (30 +60) = 30 (báo cáo)
Đáp số: 30 báo cáo.
Vở bài tập Toán lớp 4 Tập 2 trang 79 Bài 7
Tuần trước số lượt khách tham quan vườn bách thú là 489 lượt. Do thời tiết không thuận lợi nên tuần này số lượt khách tham quan vườn bách thú chỉ bằng
\(\frac{2}{3}\) số lượt khách tham quan của tuần trước. Tính số lượt khách tham quan tuần này.

Bài giải
.............................................................................
.............................................................................
.............................................................................
Lời giải
Số lượt khách tham quan tuần này là:
\(489\times \frac{2}{3} =326\) (lượt)
Đáp số: 326 lượt khách
Vở bài tập Toán lớp 4 Tập 2 trang 79 Bài 8
Mẹ đi siêu thị mua một số thực phẩm. Trong đó, mẹ mua hoa quả hết 350 000 đồng và một số thực phẩm khác hết số tiền bằng
\(\frac{2}{5}\) số tiền mua hoa quả. Mẹ đưa cho nhân viên bán hàng 500 000 đồng và được trả lại 10 000 đồng. Hỏi:
a) Mẹ mua một số thực phẩm khác hết bao nhiêu tiền?
b) Theo em, nhân viên bán hàng có trả lại nhầm tiền không?
Bài giải
.............................................................................
.............................................................................
.............................................................................
.............................................................................
.............................................................................
.............................................................................
Lời giải
a)
Mẹ mua một số thực phẩm khác hết số tiền là:
350 000 ×
\(\frac{2}{5}\) = 140 000 (đồng)
Đáp số: 140 000 đồng
b)
Số tiền mẹ phải trả là:
350 000 + 140 000 = 490 000 (đồng)
Số tiền nhân viên bán hàng phải trả lại là:
500 000 – 490 000 = 10 000 (đồng)
Vậy nhân viên bán hàng không trả lại nhầm tiền.