Vở bài tập Toán lớp 4 Bài 61: So sánh hai phân số cùng mẫu số Cánh diều
Giải VBT Toán 4 Bài 61: So sánh hai phân số cùng mẫu số
Vở bài tập Toán lớp 4 trang 19, 20: So sánh hai phân số cùng mẫu số là lời giải chi tiết cho Bài 62 của quyển Toán 4 (Tập 2) sách Cánh Diều, được biên soạn nhằm giúp các em học sinh học tập tốt môn Toán lớp 4. Đồng thời đây cũng là tài liệu tham khảo cho các phụ huynh và giáo viên trong quá trình dạy học. Mời các bạn cùng luyện Giải Vở bài tập toán 4 Cánh Diều.
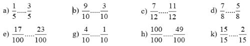
Vở bài tập Toán lớp 4 Tập 2 trang 19 Bài 1
>, <, =?

Lời giải

Vở bài tập Toán lớp 4 Tập 2 trang 19 Bài 2
a) Đọc và thảo luận nội dung sau:
•
\(\frac{3}{4} <\frac{4}{4}\) mà
\(\frac{4}{4}=1\) nên
\(\frac{3}{4}<1\)
Nếu tử số bé hơn mẫu số thì phân số bé hơn 1
•
\(\frac{7}{5} >\frac{5}{5}\) mà
\(\frac{5}{5} =1\) nên
\(\frac{7}{5}>1\)
Nếu tử số lớn hơn mẫu số thì phân số lớn hơn 1
b) So sánh các phân số
\(\frac{5}{6}\),
\(\frac{3}{2}\),
\(\frac{9}{19}\),
\(\frac{7}{7}\),
\(\frac{49}{46}\),
\(\frac{32}{71}\) với 1:
............................................................................................................................
............................................................................................................................
c) Viết ba phân số bé hơn 1, ba phân số lớn hơn 1, ba phân số bằng 1.
............................................................................................................................
............................................................................................................................
............................................................................................................................
Lời giải
b) So sánh các phân số
\(\frac{5}{6}\),
\(\frac{3}{2}\),
\(\frac{9}{19}\),
\(\frac{7}{7}\),
\(\frac{49}{46}\),
\(\frac{32}{71}\) với 1:

c) Viết ba phân số bé hơn 1, ba phân số lớn hơn 1, ba phân số bằng 1:
- Ba phân số bé hơn 1:
\(\frac{1}{3}\);
\(\frac{3}{5}\);
\(\frac{6}{7}\)
- Ba phân số lớn hơn 1:
\(\frac{4}{3}\);
\(\frac{7}{5}\);
\(\frac{10}{7}\)
- Ba phân số bằng 1:
\(\frac{11}{11}\);
\(\frac{1}{1}\);
\(\frac{20}{20}\)
Vở bài tập Toán lớp 4 Tập 2 trang 20 Bài 3
Viết các phân số sau theo thứ tự từ bé đến lớn:

Lời giải
Viết các phân số sau theo thứ tự từ bé đến lớn:

Vở bài tập Toán lớp 4 Tập 2 trang 20 Bài 4
Bác Sáu dùng
\(\frac{2}{9}\) diện tích đất canh tác để trồng ngô,
\(\frac{4}{9}\) diện tích để trồng lúa và
\(\frac{1}{9}\) diện tích để trồng khoai. Hỏi trong ba loại cây trên, bác Sáu trồng cây gì chiếm nhiều diện tích nhất? Cây gì chiếm ít diện tích nhất?

Trả lời: ................................................................................................................
..............................................................................................................................
..............................................................................................................................
..............................................................................................................................
Lời giải
Ta có:
\(\frac{1}{9} <\frac{2}{9}<\frac{4}{9}\)
Vậy bác Sáu trồng cây lúa chiếm nhiều diện tích nhất (
\(\frac{4}{9}\)) và cây khoai chiếm ít diện tích nhất (
\(\frac{1}{9}\)).
Ngoài ra, các bạn có thể xem thêm: