Vở bài tập Toán lớp 4 Bài 81: Luyện tập Cánh diều
Giải VBT Toán 4 Cánh diều Bài 81: Luyện tập
- Vở bài tập Toán lớp 4 Tập 2 trang 65 Bài 1
- Vở bài tập Toán lớp 4 Tập 2 trang 65 Bài 2
- Vở bài tập Toán lớp 4 Tập 2 trang 65 Bài 3
- Vở bài tập Toán lớp 4 Tập 2 trang 66 Bài 4
- Vở bài tập Toán lớp 4 Tập 2 trang 66 Bài 5
- Vở bài tập Toán lớp 4 Tập 2 trang 66 Bài 6
- Vở bài tập Toán lớp 4 Tập 2 trang 67 Bài 7
- Vở bài tập Toán lớp 4 Tập 2 trang 67 Bài 8
Vở bài tập Toán lớp 4 trang 65, 66, 67: Luyện tập là lời giải chi tiết cho Bài 81 của quyển Toán 4 (Tập 2) sách Cánh Diều, được biên soạn nhằm giúp các em học sinh học tập tốt môn Toán lớp 4. Đồng thời đây cũng là tài liệu tham khảo cho các phụ huynh và giáo viên trong quá trình dạy học. Mời các bạn cùng luyện Giải Vở bài tập toán 4 Cánh Diều.
Vở bài tập Toán lớp 4 Tập 2 trang 65 Bài 1
Số?

Lời giải

Vở bài tập Toán lớp 4 Tập 2 trang 65 Bài 2
Tính:

Lời giải

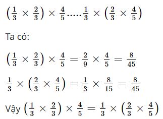
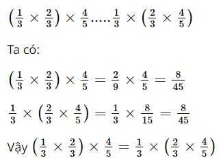
Vở bài tập Toán lớp 4 Tập 2 trang 65 Bài 3
a) Tính rồi so sánh:

Nhận xét: Khi thực hiện phép nhân hai phân số, ta có thể đổi chỗ các phân số trong một tích mà tích của chúng không thay đổi.
b) Viết ví dụ trương tự câu a rồi đố bạn thực hiện.
........................................................................................
........................................................................................
Lời giải
a)

b) Ví dụ:

Vở bài tập Toán lớp 4 Tập 2 trang 66 Bài 4
a) Tính rồi so sánh:

Nhận xét: Khi nhân một tích hai phân số với phân số thứ ba, ta có thể nhân phân số thứ nhất với tích của phân số thứ hai và phân số thứ ba.
b) Viết ví dụ trương tự câu a rồi đố bạn thực hiện.
........................................................................................
........................................................................................
Lời giải
a)

b) Ví dụ:

Vở bài tập Toán lớp 4 Tập 2 trang 66 Bài 5
a) Tính chu vi và diện tích hình vuông có cạnh dài
\(\frac{3}{5}\) m.
Bài giải
....................................................................................
....................................................................................
....................................................................................
....................................................................................
....................................................................................
....................................................................................
b) Một hình chữ nhật có chiều dài
\(\frac{5}{6}\) m và chiều rộng
\(\frac{7}{9}\) m. Tính diện tích hình chữ nhật đó.
Bài giải
.....................................................................................
.....................................................................................
......................................................................................
Lời giải
a)
Chu vi hình vuông là:
\(\frac{3}{5} \times 4=\frac{12}{5}\) (m)
Diện tích hình vuông là:
\(\frac{3}{5} \times \frac{3}{5} =\frac{9}{25}\) (m2)
Đáp số: Chu vi:
\(\frac{12}{5}\)m; Diện tích:
\(\frac{9}{25}\)m2
b)
Diện tích hình chữ nhật là:
\(\frac{5}{6} \times \frac{7}{9} =\frac{35}{54}\) (m2)
Đáp số:
\(\frac{35}{54}\)m2
Vở bài tập Toán lớp 4 Tập 2 trang 66 Bài 6
Để giặt 1 kg quần áo bạn Lan cần cho vào máy lượng nước giặt bằng
\(\frac{1}{2}\) nắp chai nước giặt. Hỏi:
a) Đối với 4 kg quần áo bạn Lan cần cho vào máy lượng nước giặt là bao nhiêu?
b) Đối với 6 kg quần áo bạn Lan cần cho vào máy lượng nước giặt là bao nhiêu?
Bài giải
......................................................................................
......................................................................................
......................................................................................
.....................................................................................
.....................................................................................
.....................................................................................
Lời giải
a)
Để giặt 4 kg quần áo, bạn Lan cần cho vào lượng nước giặt bằng số phần nắp chai nước giặt là:
\(4\times \frac{1}{2} =2\) (nắp)
Đáp số: 2 nắp chai nước giặt
b)
Để giặt 6 kg quần áo, bạn Lan cần cho vào lượng nước giặt bằng số phần nắp chai nước là:
\(6\times \frac{1}{2} =3\) (nắp)
Đáp số: 3 nắp chai nước giặt
Vở bài tập Toán lớp 4 Tập 2 trang 67 Bài 7
Một cánh cửa sổ hình chữ nhật có chiều dài
\(\frac{5}{4}\) m, chiều rộng
\(\frac{1}{2}\) m. Tính chu vi và diện tích cánh cửa đó.
Bài giải
......................................................................................
......................................................................................
.....................................................................................
.....................................................................................
.....................................................................................
.....................................................................................
Lời giải
Chu vi cánh cửa là:
\(\begin{pmatrix} \frac{5}{4} + \frac{1}{2} \end{pmatrix} \times 2=\frac{7}{2}\) (m)
Diện tích của cánh cửa là:
\(\frac{5}{4}\times \frac{1}{2}=\frac{5}{8}\) (m2)
Đáp số: Chu vi:
\(\frac{7}{2}\)m; Diện tích:
\(\frac{5}{8}\)m2
Vở bài tập Toán lớp 4 Tập 2 trang 67 Bài 8
Một vòi nước bị hỏng, mỗi giờ vòi nước đó bị rò rỉ
\(\frac{1}{10}\) xô nước.
a) Hỏi trong 5 giờ vòi nước đó bị rò rỉ bao nhiêu phần xô nước?
b) Hỏi trong 1 ngày vòi nước đó bị rò rỉ bao nhiêu phần xô nước?
Bài giải
....................................................................................
....................................................................................
...................................................................................
...................................................................................
..................................................................................
..................................................................................
Lời giải
a)
Số phần xô nước mà vòi nước đó bị rò rỉ trong 5 giờ là:
\(5\times \frac{1}{10} =\frac{1}{2}\) (xô nước).
Đáp số:
\(\frac{1}{2}\) (xô nước)
b)
Số phần xô nước mà vòi nước đó bị rò rỉ trong 1 ngày (24 giờ) là:
\(24\times \frac{1}{10} =\frac{12}{5}\) (xô nước).
Đáp số:
\(\frac{12}{5}\) (xô nước).