Vở bài tập Toán lớp 4 Bài 96: Ôn tập chung Cánh diều
Giải VBT Toán 4 Cánh diều Bài 96: Ôn tập chung
Vở bài tập Toán lớp 4 trang 110, 112, 113, 114: Ôn tập chung là lời giải chi tiết cho Bài 96 của quyển Toán 4 (Tập 2) sách Cánh Diều, biên soạn nhằm giúp các em học sinh học tập tốt môn Toán lớp 4. Đồng thời đây cũng là tài liệu tham khảo cho các phụ huynh và giáo viên trong quá trình dạy học. Mời các bạn cùng luyện Giải Vở bài tập toán 4 Cánh Diều.
Vở bài tập Toán lớp 4 Tập 2 trang 110 Bài 1
Khoanh vào chữ đặt trước đáp án đúng.
a) Số “Bảy triệu hai trăm ba mươi nghìn tám trăm linh năm” viết là:
A. 7 230 805
B. 7 238 005
C. 723 805
D. 7 230 085
b) Giá trị của chữ số 3 trong số 493 508 là:
A. 300
B. 3 000
C. 30 000
D. 300 000
c) Phân số chỉ số phần tô màu so với toàn bộ băng giấy sau là:

A.
\(\frac{3}{2}\)
B.
\(\frac{3}{5}\)
C.
\(\frac{2}{3}\)
D.
\(\frac{2}{5}\)
d) Phân số
\(\frac{5}{8}\) bằng phân số nào trong các phân số sau:
A.
\(\frac{15}{32}\)
B.
\(\frac{20}{40}\)
C.
\(\frac{25}{40}\)
D.
\(\frac{10}{24}\)
e) Rút gọn phân số
\(\frac{45}{105}\) về phân số tối giản, ta được:
A.
\(\frac{15}{35}\)
B.
\(\frac{9}{35}\)
C.
\(\frac{15}{21}\)
D.
\(\frac{3}{7}\)
g) So sánh nào sau đây là đúng?

h) Số thích hợp điền vào chỗ chấm để 205 dm2 8 cm2 = ..... cm2 là:
A. 2 058
B. 20 508
C. 20 580
D. 25 008
i) Một rổ cam có 24 quả. Hỏi
\(\frac{2}{3}\) số cam trong rổ là bao nhiêu quả cam?
A. 16 quả cam
B. 14 quả cam
C. 36 quả cam
D. 8 quả cam
k) Trong các hình dưới đây, hình nào là hình bình hành?
A. 
B. 
C. 
D. 
l) Trong các hình dưới đây, hình nào là hình thoi?
A. 
B. 
C. 
D. 
m) Quan sát hình vẽ mô tả ảnh chụp một sân vận động từ trên cao của một vệ tinh:

Diện tích phần sân chơi (màu xám nhạt) khoảng:
A. Từ 100 m2 đến 900 m2
B. Từ 1 000 m2 đến 9 000 m2.
C. Từ 10 000 m2 đến 15 000 m2.
D. Từ 16 000 m2 đến 20 000 m2
Lời giải
a) Đáp án đúng là: A
Số “Bảy triệu hai trăm ba mươi nghìn tám trăm linh năm” viết là: 7 230 805
b) Đáp án đúng là: B
Giá trị của chữ số 3 trong số 493 508 là: 3 000.
c) Đáp án đúng là: B
Phân số chỉ số phần tô màu so với toàn bộ băng giấy là:
\(\frac{3}{5}\)
d) Đáp án đúng là: C
Ta có:
\(\frac{5}{8}=\frac{5\times 5}{8\times 5}=\frac{25}{40}\)
Vậy phân số
\(\frac{5}{8}\) bằng phân số
\(\frac{25}{40}\)
e) Đáp án đúng là: D
Ta có:
\(\frac{45}{105} =\frac{45:15}{105:15}=\frac{3}{7}\)
g) Đáp án đúng là: B
Ta có:
\(\frac{5}{4} =\frac{10}{8}>\frac{5}{8}\). Vậy đáp án A sai.
\(\frac{9}{8}=\frac{27}{24}>\frac{15}{24}\). Vậy đáp án B đúng.
\(\frac{2}{7}<\frac{5}{7}\). Vậy đáp án C sai.
13 > 12 nên
\(\frac{13}{12} >1\). Vậy đáp án D sai.
h) Đáp án đúng là: B
Ta có: 205 dm2 = 20 500 cm2.
Vậy 205 dm2 8 cm2 = 20 508 cm2
Vậy số cần điền là: 20 508
i) Đáp án đúng là: A
Ta có:
\(\frac{2}{3} \times 24=16\) (quả)
k) Đáp án đúng là: A
Trong các hình, hình hình bình hành là: 
l) Đáp án đúng là: D
Trong các hình, hình thoi là: 
m) Đáp án đúng là: C
Phần sân chơi được tạo bởi:
18 × 8 = 144 (ô vuông)
Mỗi ô vuông có diện tích 100m2
Vậy sân chơi có diện tích là:
100 × 144 = 14 400 (m2)
Đáp số: 14 400 m2
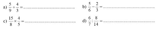
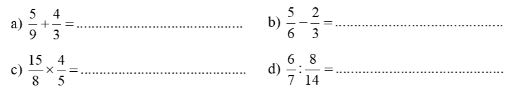
Vở bài tập Toán lớp 4 Tập 2 trang 112 Bài 2
Tính:

Lời giải

Vở bài tập Toán lớp 4 Tập 2 trang 112 Bài 3
Một thửa ruộng hình chữ nhật có nửa chu vi là 75 m và chiều rộng là 25 m.
a) Tính diện tích của thửa ruộng.
b) Người ta trồng ngô trên thửa ruộng đó, tính ra trung bình 1 m2 đất thu được
\(\frac{1}{2}\) kg ngô. Hỏi cả thửa ruộng thu được bao nhiêu ki-lô-gam ngô?
Bài giải
................................................................................
................................................................................
.................................................................................
.................................................................................
..................................................................................
..................................................................................
..................................................................................
..................................................................................
Lời giải
a)
Chiều dài của thửa ruộng là:
75 – 25 = 50 (m)
Diện tích của thửa ruộng là:
50 × 25 = 1 250 (m2)
Đáp số: 1 250 m2
b)
Cả thửa ruộng đó thu được số ki-lô-gam ngô là:
1 250 ×
\(\frac{1}{2}\) = 625(kg)
Đáp số: 625 kg
Vở bài tập Toán lớp 4 Tập 2 trang 112 Bài 4
Bác bảo vễ đã đi kiểm tra 5 vòng xung quanh khu cắm trại như hình dưới đây. Theo em, bác đã đi tất cả bao nhiêu mét?

Trả lời: ...........................................................................
........................................................................................
........................................................................................
Lời giải
Chu vi khu cắm trại là:
(17 + 6) × 2 = 46 (m)
Bác bảo vệ đã đi số mét là:
46 × 5 = 230 (m)
Đáp số: 230 m
Vở bài tập Toán lớp 4 Tập 2 trang 113 Bài 5
Một chiếc hộp có năm thẻ cùng loại, mỗi thẻ được ghi một trong các số 1, 2, 3, 4, 5, hai thẻ khác nhau thì ghi hai số khác nhau.

Rút ngẫu nhiên một chiếc thẻ trong hộp. Ghi lại số trên thẻ rút được và bỏ lại thẻ vào hộp. Sau 10 lần rút thẻ liên tiếp, bạn Hà Linh có kết quả thống kê như sau:

Hãy kiểm đếm số lần xuất hiện thẻ số 3 và thẻ số 5 sau 10 lần rút ngẫu nhiên.
Trả lời: ...............................................................................
............................................................................................
............................................................................................
............................................................................................
Lời giải
Số lần xuất hiện thẻ số 3 là: 3 lần
Số lần xuất hiện thẻ số 5 là: 3 lần
Vở bài tập Toán lớp 4 Tập 2 trang 114 Bài 6
Quan sát biểu đồ sau và trả lời các câu hỏi:

a) Tuổi thọ trung bình của người Việt Nam năm 1989 là bao nhiêu?
......................................................................................
b) Tuổi thọ trung bình của người Việt Nam năm 2019 là bao nhiêu?
......................................................................................
c) Từ năm 1989 đến năm 2019, tuổi thọ trung bình của người Việt Nam đã tăng bao nhiêu tuổi?
......................................................................................
......................................................................................
......................................................................................
Lời giải
a) Tuổi thọ trung bình của người Việt Nam năm 1989 là 65 tuổi.
b) Tuổi thọ trung bình của người Việt Nam năm 2019 là 74 tuổi.
c) Từ năm 1989 đến năm 2019, tuổi thọ trung bình của người Việt Nam đã tăng số tuổi là:
74 – 65 = 9 (tuổi).