Vở bài tập Toán lớp 4 Bài 77: Trừ các phân số khác mẫu số Cánh diều
Giải VBT Toán 4 Cánh diều Bài 77: Trừ các phân số khác mẫu số
Vở bài tập Toán lớp 4 trang 56, 57: Trừ các phân số khác mẫu số là lời giải chi tiết cho Bài 77 của quyển Toán 4 (Tập 2) sách Cánh Diều, được biên soạn nhằm giúp các em học sinh học tập tốt môn Toán lớp 4. Đồng thời đây cũng là tài liệu tham khảo cho các phụ huynh và giáo viên trong quá trình dạy học. Mời các bạn cùng luyện Giải Vở bài tập toán 4 Cánh Diều.
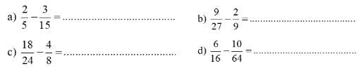
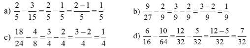
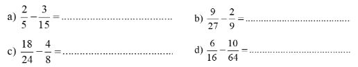
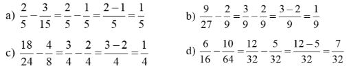
Vở bài tập Toán lớp 4 Tập 2 trang 56 Bài 1
Tính:

Lời giải

Vở bài tập Toán lớp 4 Tập 2 trang 56 Bài 2
Rút gọn rồi tính:

Lời giải

Vở bài tập Toán lớp 4 Tập 2 trang 56 Bài 3
Người ta tiến hành sửa chữa vỉa hè của một đoạn đường. Ngày thứ nhất sửa được
\(\frac{2}{3}\) đoạn vỉa hè, ngày thứ hai sửa được
\(\frac{1}{6}\) đoạn vỉa hè. Hỏi ngày thứ nhất sửa được nhiều hơn ngày thứ hai bao nhiêu phần đoạn vỉa hè?

Bài giải
...............................................................................
...............................................................................
...............................................................................
Lời giải
Ngày thứ nhất sửa nhiều hơn ngày thứ hai số phần đoạn vỉa hè là:
\(\frac{2}{3} -\frac{1}{6} =\frac{1}{2}\) (đoạn vỉa hè)
Đáp số:
\(\frac{1}{2}\) (đoạn vỉa hè)
Vở bài tập Toán lớp 4 Tập 2 trang 57 Bài 4
a) Trong một ngày thời gian để học và ngủ của bạn Dũng là
\(\frac{5}{8}\) ngày, trong đó thời gian học của Dũng là
\(\frac{1}{4}\) ngày. Hỏi thời gian ngủ của bạn Dũng là bao nhiêu phần một ngày?
Bài giải
...................................................................................
...................................................................................
...................................................................................
b) Em đã dành bao nhiêu phần thời gian một ngày để học? Thời gian cho các hoạt động khác là bao nhiêu phần một ngày?

Trả lời: ...........................................................................
.......................................................................................
.......................................................................................
.......................................................................................
Lời giải
a)
Thời gian ngủ của bạn Dũng trong một ngày là:
\(\frac{5}{8} -\frac{1}{4} =\frac{3}{8}\) (ngày)
Đáp số:
\(\frac{3}{8}\) (ngày)
b)
Một ngày em dành
\(\frac{1}{4}\) ngày thời gian để học.
Thời gian cho các hoạt động khác là:
\(1-\frac{1}{4} =\frac{3}{4}\) (ngày).
Đáp số:
\(\frac{3}{4}\) ngày
Ngoài ra, các bạn có thể xem thêm: