Vở bài tập Toán lớp 4 Bài 71: Em ôn lại những gì đã học Cánh diều
Giải VBT Toán 4 Cánh diều Bài 71: Em ôn lại những gì đã học
Vở bài tập Toán lớp 4 trang 42, 43, 44: Em ôn lại những gì đã học là lời giải chi tiết cho Bài 71 của quyển Toán 4 (Tập 2) sách Cánh Diều, được biên soạn nhằm giúp các em học sinh học tập tốt môn Toán lớp 4. Đồng thời đây cũng là tài liệu tham khảo cho các phụ huynh và giáo viên trong quá trình dạy học. Mời các bạn cùng luyện Giải Vở bài tập toán 4 Cánh Diều.
Vở bài tập Toán lớp 4 Tập 2 trang 42 Bài 1
Nói cho bạn nghe những điều em học được trong chủ đề.

Lời giải
Những điều em học được trong chủ đề:
- Tôi biết phân số, tử số, mẫu số của phân số.
- Tôi biết các tính chất cơ bản của phân số.
- Tôi biết rút gọn phân số, quy đồng mẫu số.
- Tôi biết so sánh phân số.
- Tôi biết hình bình hành, hình thoi.
- Tôi biết mét vuông, đề-xi-mét vuông, mi-li-mét vuông.
Vở bài tập Toán lớp 4 Tập 2 trang 42 Bài 2
a) Viết phân số chỉ số phần số phần tô màu trong mỗi hình vẽ sau:

b) Khoanh vào chữ đặt trước hình vẽ có số phần tô màu phù hợp với mỗi phân số sau:

Lời giải
a)

b)

Vở bài tập Toán lớp 4 Tập 2 trang 43 Bài 3
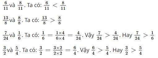
a) So sánh hai phân số:
\(\frac{6}{11}\) và
\(\frac{8}{11}\)................................................................
\(\frac{13}{8}\) và
\(\frac{8}{8}\)..................................................................
\(\frac{7}{24}\) và
\(\frac{1}{6}\)..................................................................
\(\frac{3}{2}\) và
\(\frac{5}{4}\)....................................................................
b) Viết các phân số sau theo thứ tự từ bé đến lớn:

Lời giải
a) So sánh hai phân số:

b) Viết các phân số sau theo thứ tự từ bé đến lớn:

Vở bài tập Toán lớp 4 Tập 2 trang 43 Bài 4
Trong buổi thử nghiệm xe chạy bằng năng lượng mặt trời, 4 chiếc xe chạy được quãng đường như hình vẽ dưới đây. Hãy tìm phân số thích hợp chỉ quãng đường mỗi xe đã đi được.

Lời giải

Vở bài tập Toán lớp 4 Tập 2 trang 44 Bài 5
a) Khoanh vào chữ đặt trước hình bình hành trong các hình sau:

b) Khoanh vào chữ đặt trước hình thoi trong các hình sau:

Lời giải
a) Hình bình hành là: Đáp án B
b) Hình thoi là: Đáp án B.
Vở bài tập Toán lớp 4 Tập 2 trang 44 Bài 6
Một sân chơi hình chữ nhật có chiều dài 50 m, chiều rộng 20 m. Người ta dự kiến trải cỏ toàn bộ diện tích của sân.
a) Tính số mét vuông cỏ cần trải hết sân chơi đó.
b) Có hai loại cỏ được cân nhắc lựa chọn:
Loại 1: 350 000 đồng 1 m2, bền đẹp trong 10 năm.
Loại 2: 160 000 đồng 1 m2, bền đẹp trong 5 năm.
Em hãy chọn một loại cỏ rồi tính số tiền mua loại cỏ đó để đủ trải sân chơi trên.
Lời giải
.....................................................................................
.....................................................................................
......................................................................................
......................................................................................
......................................................................................
......................................................................................
......................................................................................
......................................................................................
Lời giải
a)
Số mét vuông cỏ cần trải hết sân chơi đó là:
50×20= 1 000 (m2)
Đáp số: 1 000 m2
b)
Số tiền mua cỏ loại 1 để trải hết sân là:
350 000 × 1000 = 350 000 000 (đồng)
Đáp số: 350 000 000 đồng.