Vở bài tập Toán lớp 4 Bài 85: Luyện tập Cánh diều
Giải VBT Toán 4 Cánh diều Bài 85: Luyện tập
- Vở bài tập Toán lớp 4 Tập 2 trang 75 Bài 1
- Vở bài tập Toán lớp 4 Tập 2 trang 75 Bài 2
- Vở bài tập Toán lớp 4 Tập 2 trang 75 Bài 3
- Vở bài tập Toán lớp 4 Tập 2 trang 76 Bài 4
- Vở bài tập Toán lớp 4 Tập 2 trang 76 Bài 5
- Vở bài tập Toán lớp 4 Tập 2 trang 76 Bài 6
- Vở bài tập Toán lớp 4 Tập 2 trang 76 Bài 7
Vở bài tập Toán lớp 4 trang 75, 76: Luyện tập là lời giải chi tiết cho Bài 85 của quyển Toán 4 (Tập 2) sách Cánh Diều, biên soạn nhằm giúp các em học sinh học tập tốt môn Toán lớp 4. Đồng thời đây cũng là tài liệu tham khảo cho các phụ huynh và giáo viên trong quá trình dạy học. Mời các bạn cùng luyện Giải Vở bài tập toán 4 Cánh Diều.
Vở bài tập Toán lớp 4 Tập 2 trang 75 Bài 1
Tính:

Lời giải

Vở bài tập Toán lớp 4 Tập 2 trang 75 Bài 2
Tính:

Lời giải

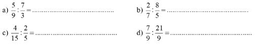
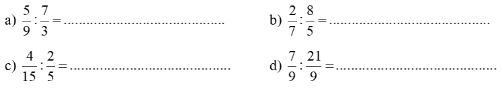
Vở bài tập Toán lớp 4 Tập 2 trang 75 Bài 3
Tính:
a) Mẫu: ![]()
Ta có thể viết gọn như sau:

b) Mẫu: ![]()
Ta có thể viết gọn như sau:

Lời giải
a)

b)

Vở bài tập Toán lớp 4 Tập 2 trang 76 Bài 4
Tính:

Lời giải

Vở bài tập Toán lớp 4 Tập 2 trang 76 Bài 5
Tuấn Anh cắt một sợi dây dài 9 dm ra thành các đoạn dây dài
\(\frac{3}{2}\) dm. Hỏi Tuấn Anh cắt được mấy đoạn dây như vậy?
Bài giải
................................................................................
................................................................................
................................................................................
Lời giải
Tuấn Anh cắt được số đoạn dây là:
\(9:\frac{3}{2} =6\) (đoạn dây)
Đáp số: 6 đoạn dây
Vở bài tập Toán lớp 4 Tập 2 trang 76 Bài 6
Trong một phòng chiếu phim có 60 người xem. Biết rằng số trẻ em chiếm
\(\frac{3}{5}\) số người xem. Hỏi trong phòng chiếu phim có bao nhiêu người lớn?
Bài giải
................................................................................
.................................................................................
.................................................................................
.................................................................................
.................................................................................
Lời giải
Số trẻ em trong phòng chiếu phim là:
\(\frac{3}{5} \times 60=36\) (người)
Số người lớn trong phòng chiếu phim là:
60 – 36 = 24 (người)
Đáp số: 24 người.
Vở bài tập Toán lớp 4 Tập 2 trang 76 Bài 7
Chị Linh đọc hết
\(\frac{1}{2}\) số trang của quyển sách trong 3 ngày. Theo em, nếu cứ đọc với tốc độ như vậy thì trong mấy ngày chị Linh sẽ đọc hết quyển sách đó?
Bài giải
..................................................................................
.................................................................................
..................................................................................
Lời giải
Chị Linh đọc hết cả quyển sách trong số ngày là:
\(3:\frac{1}{2} =6\) (ngày)
Đáp số: 6 ngày.