Đề thi học kì 2 lớp 5 môn Toán trường tiểu học Lê Hồng Phong năm 2015 - 2016
Đề thi học kì 2 môn Toán lớp 5 có đáp án
Đề thi học kì 2 môn Toán lớp 5 trường tiểu học Lê Hồng Phong năm học 2015 - 2016 có đáp án kèm theo là đề thi cuối kì II lớp 5 môn Toán. Những đề thi học kì 2 môn Toán lớp 5 này được VnDoc sưu tầm dành cho các bạn học sinh lớp 5 ôn tập, nhằm đạt kết quả tốt trong bài thi cuối năm. Mời các bạn cùng tham khảo.
Đề thi học kì 2 lớp 5 môn Toán trường tiểu học Lê Hồng Phong năm 2015 - 2016
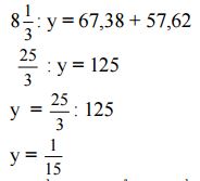
Đề thi học kì 2 môn Toán lớp 5 trường tiểu học Trung Thạnh 2, Cần Thơ năm 2015 - 2016
BÀI KIỂM TRA CUỐI HỌC KỲ II
Năm học 2015-2016
MÔN: TOÁN – LỚP 5A5
(Thời gian: 40 phút không kể giao đề)
Họ và tên: ....................................... Lớp: ............
Trường: TH Lê Hồng Phong
Bài 1 (2 điểm): Đặt tính và tính
348,97 + 85,64
105,7 - 72,98
2,46 x 1,03
7,546 : 5,5
Bài 2 (2 điểm) - Tìm y, biết:

y x 8,15 + 0,85 x y + y = 102
- Viết số thích hợp vào chỗ chấm:
4,4dm3 = ...... cm3 5m3 35dm3=..........m3
230dam2 = .........ha 366789 cm3= ........ .....dm3= ........ .....m3
Bài 3 (2 điểm):
+ Viết công thức tính chu vi hình tròn.
+ Một tấm bìa hình tròn có bán kính 2,5cm thì chu vi tấm bìa đó là bao nhiêu mét?
Bài 4 (2 điểm): Quãng đường AB dài 184km. Hai ô tô xuất phát từ A và B cùng một lúc và đi ngược chiều nhau, sau 1giờ 36 phút chúng gặp nhau. Biết rằng vận tốc của ô tô đi từ A hơn vận tốc của ô tô đi từ B là 15km/giờ, tính vận tốc của ô tô đi từ A?
Bài 5 (2 điểm):
+ Tính bằng cách thuận tiện:
10 giờ - 5 giờ 25 phút - 2 giờ 35 phút
1 giờ 12 phút + 1,2 giờ x 9
+ Nếu hình lập phương A có thể tích gấp 8 lần thể tích hình lập phương B thì tỉ số giữa độ dài cạnh hình lập phương B và độ dài cạnh hình lập phương A là:

HƯỚNG DẪN CHẤM KIỂM TRA CUỐI HỌC KÌ II MÔN TOÁN - LỚP 5
Bài 1 (2 điểm):
- Trình bày và tính đúng mỗi phép tính được 0,5 điểm. Nếu HS đặt tính sai - không cho điểm ở phép tính đó.
Bài 2 (2 điểm): - Phần 1 đúng mỗi phần cho 0,5 điểm

b, y x 8,15 + 0,85 x y + y = 102
y x (8,15 + 0,85 + 1) = 102
y x 10 = 102
y = 102 : 10
y = 10,2
- Phần 2 (1 điểm)
Điền đúng mỗi chỗ chấm cho 0,2 điểm
4,4dm3 = 4400 cm3 5m3 35dm3 = 5,035m3
230dam2 = 2,3ha 366789 cm3 = 366,789dm3 = 0,366789m3
Bài 3 (2 điểm):
- Phần 1 (1 điểm): Viết đúng công thức tính chu vi hình tròn như SGK.
- Phần 2 (1 điểm):
Bài giải
Chu vi tấm bìa là:
2,5 x 2 x 3,14= 15,7 (cm) (0,5 điểm)
= 0,157 (m) (0,5 điểm)
Đáp số: 0,157m
Nếu thiếu đáp số trừ 0,25 điểm
Bài 4 (2 điểm)
Bài giải
Đổi 1 giờ 36 phút = 1,6 giờ (0,5 điểm)
Tổng vận tốc của hai ô tô là:
184 : 1,6 = 115 (km/giờ) (0,5 điểm)
Vận tốc của ô tô đi từ A là:
(115 + 15) : 2 = 65 (km/giờ) (0,75 điểm)
Đáp số: 65 (km/giờ) (0,5 điểm)
Chú ý: Câu trả lời của học sinh phải ngắn gọn, đủ ý, có chủ ngữ, vị ngữ GV cho đủ số điểm. HS không ghi đáp số trừ 0,25 điểm.
Bài 5 (2 điểm): - Phần 1 (1 điểm) đúng mỗi phần cho 0,5 điểm
Nếu không tính thuận tiện không cho điểm
a, 10 giờ - 5 giờ 25 phút - 2 giờ 35 phút
= 10 giờ - (5 giờ 25 phút +2 giờ 35 phút)
= 10 giờ - 8 giờ
= 2 giờ
b, 1 giờ 12 phút + 1,2 giờ x 9
= 1,2 giờ + 1,2 giờ x 9
= 1,2 giờ x (1 + 9)
1,2 giờ x 10 = 12 giờ
- Phần 2: chọn đáp án đúng C được 1 điểm
Nếu chọn 2 đáp án không cho điểm, nếu gạch 1 đáp án còn 1 đáp án đúng cho 0,5 điểm.
Các đề thi học kì 2 lớp 5 khác:
- Đề thi học kì 2 môn Toán lớp 5 theo Thông tư 22 có đáp án
- Đề kiểm tra cuối học kì 2 môn Tiếng Việt lớp 5 năm 2015 trường Tiểu học Trung Hưng, Hưng Yên
- Đề thi học kì 2 môn Tiếng Việt lớp 5 theo Thông tư 22
- Đề thi học kỳ 2 môn Tiếng Anh lớp 5 trường Tiểu học Giao Hương
- Đề kiểm tra học kì 2 môn Tiếng Anh lớp 5