Ôn thi Đại học môn Vật Lí có đáp án - Đề số 7
VnDoc xin giới thiệu tới bạn đọc Ôn thi Đại học môn Vật Lí có đáp án - Đề số 7. Nội dung tài liệu sẽ giúp các bạn làm bài thi trắc nghiệm Vật lý 12 hiệu quả hơn. Mời các bạn tham khảo.
Câu hỏi trắc nghiệm ôn thi Đại học môn Vật Lí đề 7
1. Câu hỏi ôn thi Đại học môn Vật Lí
Câu 1: Đối với một vật dao động điều hòa, tỉ số giữa li độ của dao động và đại lượng nào sau đây luôn có giá trị không đổi
A. Vận tốc
B. Cơ năng
C. Chu kì
D. Gia tốc
Câu 2: Một hệ dao động điều hòa có chu kì dao động bằng chu kì của ngoại lực biến thiên tuần hoàn theo thời gian. Đó là dao động
A. Cưỡng bức
B. Riêng
C. Tự do
D. Tắt dần
Câu 3: Treo vật có khối lượng m vào một lò xo nhẹ thì vật dao động với tần số f. Nếu giảm chiều dài của lò xo đi 2 lần rồi cũng treo vật nói trên thì tần số dao động của vật là
A. 2f
B. f/2
C. f/ √2
D. f√2
Câu 4: Một sóng cơ lan truyền dọc theo trục Ox với biên độ không đổi, bước sóng là 1,2m. Gọi M và N là hai điểm trên Ox mà dao động tại đó luôn ngược pha so với nhau. Khoảng cách giữa hai điểm M,N có thể nhận được giá trị nào sau đây
A. 3m
B. 6m
C. 3,6m
D. 4,8m
Câu 5: Một sóng hình sin lan truyền trong một môi trường theo một đường thẳng có bước sóng là λ. Trên đường thẳng đó, khoảng cách giữa hai điểm gần nhau nhất dao động ngược pha với nhau là
A. λ/2
B. λ/4
C. λ/3
D. λ
Câu 6: Độ cao của một âm phụ thuộc
A. tần số âm
B. cường độ âm
C. âm sắc
D. mức cường độ âm
Câu 7: Phát biểu đúng với mạch điện xoay chiều chỉ chứa cuộn cảm
A. cường độ dòng điện sớm pha hơn điện áp góc π/2
B. cường độ dòng điện sớm pha hơn điện áp góc π/4
C. cường độ dòng điện trễ pha hơn điện áp góc π/2
D. cường độ dòng điện trễ pha hơn điện áp góc π/4
Câu 8: Một điện áp biến thiên theo thời gian có phương trình u=220√2cos100 πt(V). Điện áp hiệu dụng có giá trị bằngA. 220V
B. 100 πV
C. 100V
D. 220√2V
Câu 9: Khi tần số dòng điện xoay chiều chạy qua đoạn mạch chứa tụ điện tăng lên 4 lần thì dung kháng của tụ điện
A. Tăng 2 lần
B. Tâng 4 lần
C. Giảm 2 lần
D. Giảm 4 lần
Câu 10: Theo cách phân loại trong kĩ thuật thông tin vô tuyến điện, sóng trung không có
A. Bước sóng lớn hơn 200m
B. Bước sóng nhỏ hơn 3km
C. Bước sóng lớn hơn 3km
D. Bước sóng nhỏ hơn 2km
Câu 11: Một mạch điện dao động LC lí tưởng gồm cuộn cảm thuần có hệ số tự cảm L, tụ điện có điện dung C dao động tự do. Tần số góc của dao động là

Câu 12: Sóng điện từ FM có tần số 100MHz truyền với tốc độ 3.108m/s có bước sóng là
A. 300m
B. 0,3m
C. 30m
D. 3m
Câu 13: Một chùm sáng Mặt Trời song song mảnh được truyền tới một lăng kính. Gọi dv, dt, dl lần lượt là góc lệch so với hướng của chùm sáng tới của các tia sáng màu vàng, tím, lam trong chùm sáng ló ra khỏi lăng kính. Trật tự đúng là
A. dt>dl>dv
B. dl>dt>dv
C. dv>dt>dl
D. dl>dv>dt
Câu 14: Sóng ánh sáng có đặc điểm
A. Không truyền được trong chân không
B. Tuân theo các định luật phản xạ, khúc xạ
C. Là sóng dọc
D. Là sóng ngang hay sóng dọc tùy theo bước sóng dài hay ngắn
Câu 15: Chiếu một chùm tia sáng trắng hẹp qua lăng kính, chùm tia ló gồm nhiều chùm sáng có màu sắc khác nhau. Hiện tượng đó gọi là
A. Khúc xạ ánh sáng
B. Giao thoa ánh sáng
C. Tán sắc ánh sáng
D. Phản xạ ánh sáng
Câu 16: Hiện tượng quang điện ngoài là hiện tượng giải phóng electron ra khỏi
A. Bề mặt của kim loại khi dùng ánh sáng kích tích thích hợp
B. Liên kết với nguyên tử trong chất bán dẫn khi dùng ánh sáng kích thích thích hợp
C. Catốt bằng kim loại khi đốt nóng catốt
D. Bề mặt anot khi anot bị bắn phá bởi dòng electron có động năng lớn
Câu 17: Công thoát electron của kim loại làm catot của một tế bào quang điện là 4,5eV. Chiếu vào catot lần lượt các bức xạ có bước sóng λ1 =0,16um, λ2=0,2um, λ3=0,25um, λ4=0,3l λ5=0,36um; λ6=0,4um. Các bức xạ gây ra hiện tượng quang điện là
A. λ1, λ2
B. λ1, λ2, λ3
C. λ2, λ3, λ4
D. λ4, λ5, λ6
Câu 18: Trong các hiện tượng sau, hiện tượng không giải thích được bằng tuyết lượng tử ánh sáng là
A. hiện tượng giao thoa ánh sáng
B. hiện tượng quang điện trong
C. hiện tượng huỳnh quang
D. quang phổ vạch của nguyên tử hidro
Câu 19: Độ hút khói của hạt nhân
\(_{Z}^{A}X\) xác định bởi công thức
A. m= mX - Zmp – NmN
B. m = ZmP + (A +Z)mN - mX
C. m= Zmp +(A +Z) mN -mX
D. m= ZmP + AmN -mX
Câu 20: Đồng vị là các nguyên tử mà hạt nhân có cùng số
A. proton nhưng số khối khác nhau
B. nơtron nhưng số khối khác nhau
C. nơtron nhưng số proton khác nhau
D. nuclon nhưng khác khối lượng
Câu 21: Phóng xạ nào sau đây có hạt nhân con lùi một ô so với hạt nhân mẹ trong bảng tuần hoàn
A. Phóng xạ β-
B. Phóng xạ β+
C. Phóng xạ α
D. Phóng xạ γ
Câu 22: Ban đầu một mẫu chất phóng xạ nguyên chất có No hạt nhân. Biết chu kì bán rã của chất phóng xạ là T. Sau thời gian 4T, kể từ thời điểm ban đầu, số hạt nhân còn lại của mẫu chất phóng xạ này là
A. 15No/16
B. No/8
C. No/4
D. No/16
Câu 23: Trong thí nghiệm Y-âng về giao thoa ánh sáng với ánh sáng đơn sắc có bước sóng λ, khoảng cách giữa hai khe là a =2mm. Vân giao thoa được quan sát qua một kính lúp có tiêu cực 5cm, đặt cách mặt phẳng chứa hai khe một khoảng L=85cm. Một người có mắt bình thường đặt mắt sát kính lúp và quan sát hệ vân trong trạng thái không điều tiết thì thấy góc trong khoảng vân là 15’. Bước sóng ánh sáng là
A. 0,62μm
B. 0,5μm
C. 0,58μm
D. 0,55μm
Câu 24: Sóng điện từ nào sau đây có khả năng xuyên qua tầng điện li để dùng trong truyền thông vệ tinh
A. Sóng trung
B. Sóng dài
C. Sóng cực ngắn
D. Sóng ngắn
Câu 25: Một vật dao động điều hòa với chu kì T, nếu vào thời điểm ban đầu, vật đi qua vị trí cân bằng thì vào thời điểm T/12, tỉ số giữa động năng và thế năng của vật là
A. 1/3
B. 1
C. 1/2
D. 3
Câu 26: Một con lắc lò xo có m=200g, dao động điều hòa theo phương thẳng đứng. Chiều dài tự nhiên của lò xo là lo = 30cm. Lấy g=10/s2. Khi lò xo có chiều dài 28cm thì vận tốc bằng 0 và lúc đó lực đàn hồi có độ lơn là 2N. Năng lượng dao động của vật là
A. 1,5J
B. 0,1J
C. 0,08J
D. 0,02J
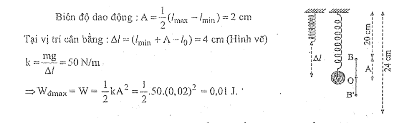
Câu 27: Một con lắc lò xo dao động điều hòa theo phương thẳng đứng. Biết rằng trong quá trình dao động, chiều dài của lò xo có giá trị nằm khoảng từ 20cm đến 24cm. Cho khối lượng của quả cầu là 200g, chiều dài tự nhiên của lò xo là 18cm. Lấy g=10m/s2, động năng cực đại của quả cầu là
A. 0,01J
B. 0,03J
C. 0,02J
D. 0,04J
Câu 28: Một con lắc lò xo đặt trên mặt bàn nằm ngang. Kéo quả cầu dọc theo trục lò xo đến vị trí B, rồi thả nhẹ cho con lắc dao động. Nếu không có ma sát thì tốc độ của quả cầu khi về vị trí O là 2,5m/s. Trong thực tế do có ma sát nên tốc độ của quả cầu khi về tới O lần đầu tiên là 2,4m/s. BO = 10cm. Hệ số ma sát giữa quả cầu và mặt bàn là
A. 0,245
B. 0,175
C. 0,325
D. 0,415
Câu 29: Một cái còi tàu được coi như nguồn âm điểm phát ra âm phân bố đều theo mọi hướng, Cách nguồn âm 10km một người vừa đủ nghe thấy âm. Biết ngưỡng nghe và ngưỡng đau đối với âm đó là 10-10 W/m2 và 1W/m2. Coi môi trường không hấp thụ âm. Để tiếng còi bắt đầu gây cảm giác đau thì người đó phải đứng cách còi một khoảng là
A. 10cm
B. 20cm
C. 30cm
D. 40cm
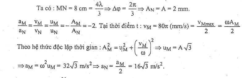
Câu 30: Một sợi dây đàn hồi căng ngang đang có sóng dừng tần số sóng 20Hz, bước sóng là 6cm. Trên dây hai điểm M và N cách nhau 8cm, M là điểm bụng có biên độ dao động 4mm. Tại thời điểm t, phần tử tại M đang chuyển động về vị trí cân bằng với vận tốc 80π (mm/s) thì phần tử tại N có độ lớn gia tốc là
A. 16√3 m/s2
B. 16 m/s2
C. 8 m/s2
D. 16√3 m/s2
Câu 31: Đối với dao động tuần hoàn, khoảng thời gian ngắn nhất mà sau đó trạng thái dao động của vật được lặp lại như cũ được gọi là
A. tần số dao động.
B. chu kì dao động.
C. chu kì riêng của dao động.
D. tần số riêng của dao động
Câu 32: Mắc lần lượt ba phần tử gồm một điện trở thuần R, cuộn cảm thuần L và tụ điện C vào điện áp xoay chiều u=Uocoswt thì cường độ dòng điện hiệu dụng trong mạch đều bằng I. Nếu mắc ba phần tử trên nối tiếp rồi mơi mắc nào điện áp trên thì cường độ dòng điện trong mạch lúc này là
A. I
B. 3I
C. 2I
D. 1,5I
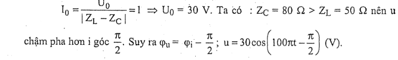
Câu 33: Cho đoạn mạch R, L mắc nối tiếp, điện trở R =100Ω cuộn cảm thuần có độ tự cảm L =√3/π (H). Giả sử điện áp giữa hai đầu đoạn mạch là u=400cos2(50 πt+π) (v). Cường độ dòng điện hiệu dụng qua đoạn mạch bằng
A. 2,207A
B. 3/2A
C. 1/√2A
D. 2A
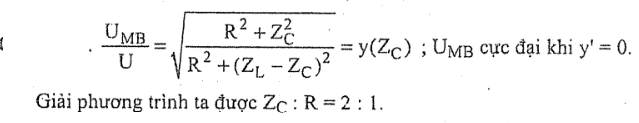
Câu 34: Đoạn mạch AB mắc nối tiếp theo thứ tự gồm cuộn cảm thuần, điện trở thuần và tụ điện có điện dung thay đổi được. M là điểm nối giữa cuộn dây và điện trở thuần. Đặt vào hai đầu đoạn mạch một điện áp u =U√2 cos wt(A). Điều chỉnh điện dung của tụ điện sao cho điện áp hiệu dụng của đoạn MB đạt cực đại và giá trị cực đại ấy bằng 2U. Lúc này tỉ số giữa dung kháng ZC và điện trở thuần R là
A. 2:1
B. 1:2
C. 3:2
D. 1:1
Câu 35: Mắc vào hai đầu cuộn dây sơ cấp của một máy tăng áp lí tưởng một điện áp xoay chiều có giá trị hiệu dụng không đổi U. Nếu đồng thời giảm số vòng dây ở cuộn sơ cấp 2n vòng và ở cuộn thứ cấp 5n vòng thì điện áp hiệu dụng ở cuộn thứ cấp để hở là không đổi so với ban đầu. Nếu đồng thời tăng 30 vòng ở cả hai cuộn thì điện áp hiệu dụng ở cuộn thứ cấp để hở thay đổi một lượng 0,05U so với ban đầu. Số vòng dây của cuộn sơ cấp và thứ cấp tương ứng là
A. n1= 870 vòng, n2= 2175 vòng
B. n1= 650 vòng, n2= 2600 vòng
C. n1= 780 vòng, n2= 3120 vòng
D. n1= 550 vòng, n2= 2200 vòng
Câu 36: Một tế bào quang điện có catot được làm bằng asen và công thoát electron bằng 5,15eV. Chiếu vào catot chùm bức xạ điện từ có bước sóng 0,2μm và nối tế bào quang điện với nguồn điện một chiều. Nếu mỗi giây catot được năng lượng của chùm sáng là 0,3mJ, thì cường độ dòng quang điện bão hòa là 4,5,10-6 A. Hiệu suất lượng tử bằng
A. 0,093%
B. 9,3%
C. 0,93%
D. 0,186%
Câu 37: Trong thí nghiệm Y-âng về giao thoa ánh sáng, khoảng cách giữa hai khe là 2mm, khoảng cách từ mặt phẳng chứa hai khe đến màn quan sát là 1,2m. Chiếu sáng hai khe băng ánh sáng hỗn hợp gồm hai ánh sáng đơn sắc có bước sóng 500nm và 600 nm. Biết vân trung tâm ứng với hai bức xạ trên trùng nhau. Khoảng cách từ vân trung tâm đến vân gần nhất cùng màu với vân trung tâm là
A. 1,8mm
B. 1,5mm
C. 2,16mm
D. 4,9mm
Câu 38: Một kim loại có giới hạn quang điện là λo. Chiếu bức xạ có bước sóng bằng 0,4 λo vào kim loại này. Biết rằng năng lượng mà quang electron hấp thụ từ proton của bức xạ trên, một phần dùng để giải phóng nó có giá trị lớn hơn hoặc bằng công thoát, phần còn lại biến hoàn toàn động năng của nó. Giá trị cực đại của động năng này là
A. 3hc/2 λo
B. 3hc/ λo
C. 2hc/3 λo
D. hc/2 λo
Câu 39: Mọt tàu phá băng nguyên tử có công suất lò phản ứng 18MW. Nhiên liệu là urani đã làm giàu chứa 5% U(235). Khối lượng nhiên liệu cần để tàu hoạt động liên tục trong 60 ngày xấp xỉ bằng bao nhiêu? Biết mỗi hạt nhân U phân hạch tỏa ra năng lượng Q = 3,2.10-11J
A. 1,14kg
B. 5,26kg
C. 29,5kg
D. 22,8kg
Câu 40: Một sợi dây đàn hồi MN dài 1,2m, hai đầu cố định, được rung với tần số f. Biết v=60m/s. Với giá trị nào của tần số nêu dưới đây thì trên dây sẽ xuất hiện sóng dừng và số bụng là
A. 60Hz, 2 bụng
B. 75Hz, 3 bụng
C. 100Hz, 5 bụng
D. 120Hz, 6 bụng
2. Đáp án câu hỏi trắc nghiệm ôn thi Đại học môn Vật Lí
| Câu | 1 | 2 | 3 | 4 | 5 | 6 | 7 | 8 | 9 | 10 |
| Đáp án | D | A | D | A | A | A | C | A | D | C |
| Câu | 11 | 12 | 13 | 14 | 15 | 16 | 17 | 18 | 19 | 20 |
| Đáp án | A | D | A | B | C | A | B | A | C | A |
| Câu | 21 | 22 | 23 | 24 | 25 | 26 | 27 | 28 | 29 | 30 |
| Đáp án | B | D | D | C | D | C | A | A | A | A |
| Câu | 31 | 32 | 33 | 34 | 35 | 36 | 37 | 38 | 39 | 40 |
| Đáp án | B | A | B | A | A | B | A | A | D | B |
3. Hướng dẫn giải câu hỏi trắc nghiệm ôn thi Đại học môn Vật Lí
Câu 25:

Câu 26:

Câu 27:

Câu 30:

Câu 31:

Câu 34:

Câu 36:

Câu 39:

Câu 40:

Mời các bạn tham khảo thêm các bài viết dưới đây của chúng tôi:
- Phương pháp làm bài thi trắc nghiệm môn Vật lí
- Ôn thi Đại học môn Vật Lí có đáp án - Đề số 1
- Ôn thi Đại học môn Vật Lí có đáp án - Đề số 2
- Ôn thi Đại học môn Vật Lí có đáp án - Đề số 3
- Ôn thi Đại học môn Vật Lí có đáp án - Đề số 4
- Ôn thi Đại học môn Vật Lí có đáp án - Đề số 5
- Ôn thi Đại học môn Vật Lí có đáp án - Đề số 6
Trên đây VnDoc đã giới thiệu tới các bạn Ôn thi Đại học môn Vật Lí có đáp án - Đề số 7. Để có kết quả cao hơn trong học tập, VnDoc xin giới thiệu tới các bạn học sinh tài liệu Soạn bài lớp 12, Giải bài tập Toán lớp 12, Giải bài tập Hóa học lớp 12, Giải bài tập Vật Lí 12, Tài liệu học tập lớp 12 mà VnDoc tổng hợp và đăng tải.