Đề thi học kì 1 Toán 12 năm 2018 - 2019 trường THPT chuyên ĐHSP - Hà Nội
Đề thi học kì 1 lớp 12 môn Toán
Lớp:
Lớp 12
Dạng tài liệu:
Đề thi
Thời gian:
Học kì 1
Loại File:
PDF
Phân loại:
Tài liệu Tính phí
Đề kiểm tra học kì 1 môn Toán lớp 12
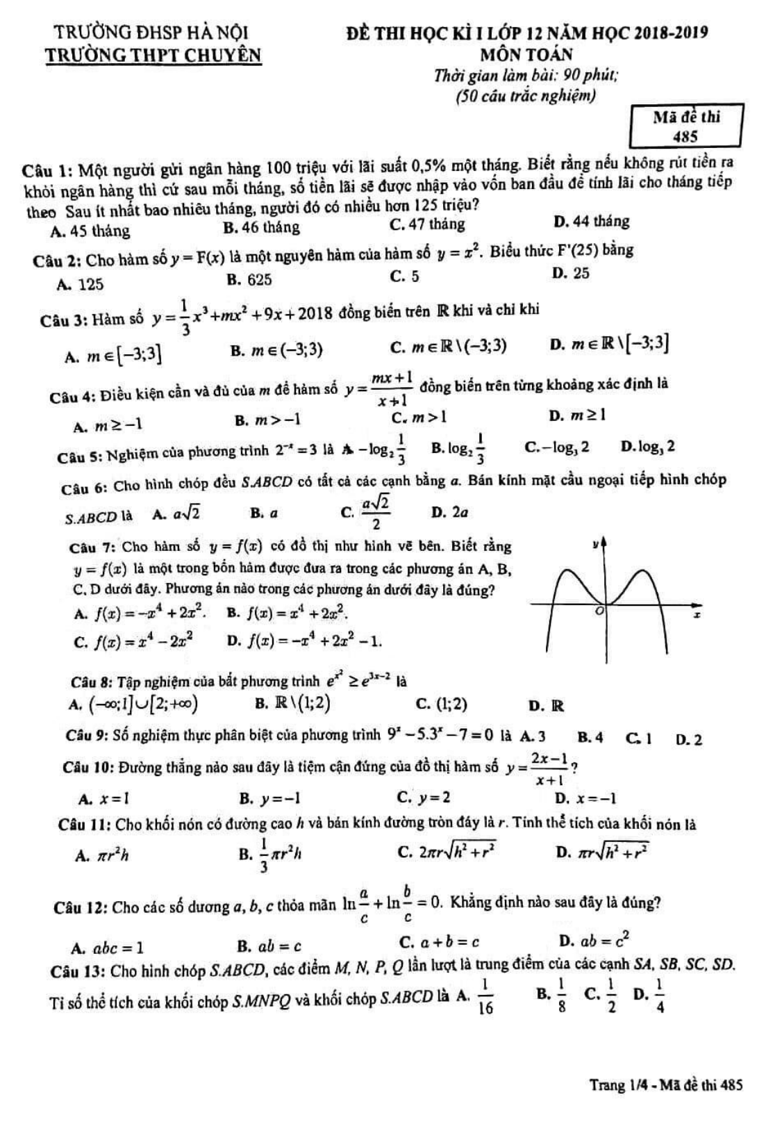
VnDoc xin giới thiệu tới bạn đọc Đề thi học kì 1 Toán 12 năm 2018 - 2019 trường THPT chuyên ĐHSP - Hà Nội. Tài liệu gồm 50 câu hỏi trắc nghiệm, thời gian làm bài 90 phút, đề thi có đáp án. Mời các bạn học sinh tham khảo.


