Đề thi tuyển sinh vào lớp 6 Hà Nội Amsterdam năm 2011 - môn Toán
Đề thi tuyển sinh vào lớp 6 môn Toán
Đề thi tuyển sinh vào lớp 6 trường THCS Amsterdam, Hà Nội môn Toán năm 2011 có đáp án sưu tầm và chọn lọc nhằm mang lại cho các bạn học sinh tài liệu ôn thi vào lớp 6 chất lượng cao. Chúc các em thi tốt.
5 đề thi thử môn toán vào lớp 6 trường chuyên Hà Nội - Amsterdam
Đề thi tuyển sinh vào lớp 6 Hà Nội Amsterdam năm học 2013 - 2014 môn Toán (Có đáp án)
HANOI-AMSTERDAM MATHEMATICS EXAM PAPERS
ĐỀ THI TUYỂN SINH LỚP 6 TRƯỜNG HANOI-AMS, 2011
Thời gian làm bài: 30 phút
Bài 1: Viết số tự nhiên nhỏ nhất có năm chữ số khác nhau sao cho tổng các chữ số của số đó là 23.
Bài 2: Tìm ab biết rằng ab = ba × 3 + 6.
Bài 3: Giá 11 cái bút bằng giá của 2 quyển vở và 1 quyển sách. Giá của 5 quyển vở bằng giá của 3 quyển sách. Hỏi giá 10 quyển vở và 9 quyển sách bằng giá của bao nhiêu cái bút?
Bài 4: Hiện nay tuổi bố bằng tuổi mẹ cộng với tuổi con. Khi tuổi mẹ bằng tuổi bố hiện nay thì tuổi mẹ gấp ba lần tuổi con và tổng số tuổi của ba người lúc đó sẽ là 90. Tính tuổi con hiện nay.
Bài 5: Xếp các hình lập phương nhỏ có cạnh 2 cm thành hình lập phương lớn có thể tích 216 cm3. Sau đó lấy đi một hình lập phương nhỏ ở chính giữa mặt bên của hình lập phương lớn. Tính diện tích toàn phần của hình còn lại.
Bài 6: Nhân ngày quốc tế thiếu nhi, một cửa hàng giảm giá 10% so với giá định bán nhưng vẫn có lãi 12,5% so với tiền vốn. Hỏi nếu không hạ giá thì cửa hàng đó lãi bao nhiêu phần trăm so với tiền vốn?
Bài 7: Một người đi từ A đến B bằng xe đạp trong 4 giờ với vận tốc 12 km/giờ, sau đó đi bằng xe máy trong 6 thì đến B. Lúc về, người đó đi bằng xe máy trong 2 giờ rồi đi ô tô trong 3 giờ thì về đến A, biết vận tốc xe máy bằng nửa vận tốc ô tô, tính quãng đường AB.
Bài 8: Cho tam giác ABC biết BM = MC, CN = 3NA, và diện tích tam giác AEN bằng 27 cm2. Tính diện tích tam giác ABC.

Bài 9: Tổng của ba số nguyên là 2904. Nếu lấy số thứ nhất chia cho số thứ hai thì được thương là 3 dư 1. Nếu lấy số thứ hai chia cho số thứ ba cũng được thương là 3 dư 1. Tìm số thứ nhất.
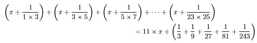
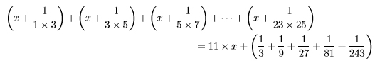
Bài 10: Tìm x sao cho:

Bài 11: Một giải bóng đá có bốn đội A,B,C,D tham gia. Mỗi đội đấu với từng đội còn lại một trận. Đội thắng được 3 điểm, thua được 0 điểm, nếu hòa thì mỗi đội được 1 điểm. Kết quả là đội A được 7 điểm, đội B được 5 điểm, đội C được 3 điểm, đội D được 1 điểm. Hỏi có tất cả mấy trận hòa trong giải bóng đá và trận đấu giữa đội A và đội C có kết quả thế nào?
Bài 12: Cho bốn số tự nhiên bất kỳ a,b,c,d và a > b > c > d. Chứng tỏ rằng tích của tất cả các số tự nhiên là hiệu của hai trong bốn số đã cho là một số chia hết cho 12.
Đáp án Đề thi tuyển sinh vào lớp 6 môn Toán
Bài 1. 10589.
Bài 2. 51.
Bài 3. 75.
Bài 4. 6.
Bài 5. 232 cm2
Bài 6. 25%.
Bài 7. 192 km.
Bài 8. 216 cm2
Bài 9. 2011.
Bài 10. 109/6075.
Bài 11. Tổng số trận đấu là 3+2+1 = 6, tổng số điểm của các đội là 7+5+3+1 = 16. Tổng điểm của hai đội trong một trận thắng là 3 (chênh lệch tỉ số), trong mỗi trận hòa là 2. Giả sử nếu không có trận hòa nào thì tổng điểm của bốn đội bóng khi kết thúc giải là 6 × 3 = 18 điểm. Nhưng tổng số điểm của bốn đội là 16, thành ra có hai trận hòa trong giải đấu này. Đội A đấu ba trận được
tổng số điểm là 7 nên suy ra đội A không thua trận nào. Đội C đấu ba trận được tổng số điểm là 3, mà chỉ có tất cả hai trận hòa trong giải nên đội C thua hai trận, thắng một trận. Do đó, C thua đội A.
Bài 12. Ta cần chứng minh rằng: p = (a − b)(a − c)(a − d)(b − c)(b − d)(c − d) chia hết cho 12.
Nhận xét rằng khi chia một số cho 3 thì số dư là một trong ba số 0, 1, 2. Xét tính chia hết của p với 3 và 4, riêng rẽ. Theo nguyên lý Dirichlet, tồn tại ít nhất hai số nguyên trong bốn số a, b, c, d cho cùng số dư khi chia cho 3. Hiệu của những hai số này chia hết cho 3. Do đó, p chia hết cho 3. Nếu tồn tại hai trong bốn số nguyên a,b,c,d cho cùng số dư khi chia cho 4, thì p chia hết cho 4, theo cách lập luận như trên. Nếu không, các số dư của a, b, c, d khi chia cho 4 sẽ khác nhau. Nhưng khi đó, hai trong bốn số cùng tính chẵn lẻ, cặp còn lại cũng cùng tính chẵn lẻ, thì hiệu của chúng đều chẵn. Tích của hai số chẵn chia hết cho 4. Do đó, p chia hết cho 4. Vậy, p chia hết cho 12.