Đề thi vào lớp 6 trường Đoàn Thị Điểm năm 2010
Vndoc.com xin giới thiệu đến các bạn: Đề thi vào lớp 6 trường Đoàn Thị Điểm năm 2010.
Đề thi môn Toán:
TRƯỜNG THCS ĐOÀN THỊ ĐIỂM, HÀ NỘI |
ĐỀ THI VÀO LỚP 6
|
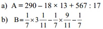
Bài 1: (2 điểm) Tính giá trị biểu thức:

Bài 2: (2 điểm) Tìm x biết:

Bài 3: (3 điểm)
Theo lịch phân công của nhà trường, lớp 5A được chia thành các nhóm để trực nhật. Nhóm thứ nhất gồm 1/4 lớp đi dọn vườn trường, nhóm thứ hai gồm 5/12 số học sinh còn lại đào hố trồng cây. Nhóm thứ 3 gồm 21 học sinh còn lại quét dọn sân trường.
a) Hỏi lớp 5A có bao nhiêu học sinh?
b) Tìm số học sinh đi dọn vườn trường, số học sinh đào hố trồng cây?
Bài 4: (2 điểm)
Cho hình chữ nhật ABCD có cạnh AB dài 36 cm, cạnh AD dài 18 cm. Gọi M là điểm chính giữa BC, N là điểm trên cạnh CD sao cho DN gấp 2 lần CN.

a) Tính diện tích tứ giác AMCN.
b) Tìm điểm E trên cạnh CD để diện tích tứ giác AMCN bằng một nửa diện tích hình chữ nhật ABCD?
Bài 5: (1 điểm) Tính giá trị biểu thức sau một cách hợp lý.
