Ôn thi Đại học môn Vật Lí có đáp án - Đề số 15
VnDoc xin giới thiệu tới bạn đọc Ôn thi Đại học môn Vật Lí có đáp án - Đề số 15. Nội dung tài liệu sẽ giúp các bạn làm bài thi trắc nghiệm Vật lý 12 hiệu quả hơn. Mời các bạn tham khảo.
Câu hỏi trắc nghiệm ôn thi Đại học môn Vật Lí đề 15
1. Câu hỏi ôn thi Đại học môn Vật Lí
Câu 1: Đối với một vật dao động điều hòa
A. gia tốc của vật có độ lớn tăng dần khi nó đi từ vị trí biên về vị trí cân bằng.
B. vận tốc của vật có độ lớn giảm dần khi nó đi từ vị trí biên về vị trí cân bằng.
C. vận tốc của vật biến thiên điều hòa nhưng ngược pha với li độ của vật.
D. lực kéo về tác dụng lên vật biến thiên điều hòa nhưng ngược pha với li độ của vật.
Câu 2: Chọn phát biểu đúng về sự dao động của con lắc đơn.
A. Khi góc lệch bằng 0, gia tốc lớn nhất, lực căng dây lớn nhất.
B. Khi góc lệch bằng 0, gia tốc bằng 0, lực căng dây nhỏ nhất.
C. Khi góc lệch cực đại, gia tốc nhỏ nhất, lực căng dây nhỏ nhất.
D. Khi góc lệch cực đại, gia tốc lớn nhất, lực căng dây nhỏ nhất.
Câu 3: Treo một quả cầu vào lò xo dãn một đoạn Δlo = 5 cm. Nâng quả cầu lên vị trí sao cho lò xo không biến dạng rồi thả nhẹ cho quả cầu dao động điều hòa. Chọn t = 0 là lúc thả cho quả cầu dao động, trục Ox hướng thẳng đứng từ dưới lên, gốc o là vị tri cân bàng của quả cầu. Bỏ qua mọi ma sát và lực cản. Phương trình dao động của quả cầu là:
A. x = 5cos(10√2- π/2)(cm).
B. x =5cos(10√2 t+ π/2)(cm).
C. x = 5cos(10√2 t)(cm).
D. x = 5cos(10√2+ π) (cm).
Câu 4: Chọn phát biểu đúng về lực căng dây của con lắc đơn đang dao động
A. Lực căng dây luôn lớn hơn trọng lực của vật.
B. Khi dây có phương thẳng đứng thì lực căng dây bằng trọng lực.
C. Lực căng dây lớn nhất ở vị trí cân bằng.
D. Lực căng dây lớn nhất ở vị trí biên
Câu 5: Tìm phát biểu sai.
Trong quá trình dao động điều hòa của một con lắc lò xo, cơ năng của nó
A. tỉ lệ với bình phương của chu kì dao động.
B. tỉ lệ với tần số của dao động.
C. tỉ lệ với chu kì của dao động.
D. tỉ lệ với bình phương của biên độ dao động.
Câu 6: Một đồng hồ dùng con lắc đơn, mỗi ngày chạy chậm 3 phút, cần phải điều chỉnh chiều dài con lắc như thế nào để đồng hồ chạy đúng?
A. Tăng chiều dài 0,42%.
B. Giảm chiều dài 0,42%.
C. Tăng chiều dài 0,21%.
D. Giảm chiều dài 0,21%.
Câu 7: Cho hai dao động điều hòa cùng phương với các phương trình lần lượt là x1 = A1cos(ωt+ π/4)(cm) và x2 = A2cos(ωt- π/6) (cm). Phương trình của dao động tổng hợp là X = 4cos((ωt + φ) (cm). Khi (A1 + A2) có giá trị cực đại thì giá trị của φ là
A. π/24
B. π/12
C. π/16
D. π/8
Câu 8: Chọn phát biểu đúng về sóng cơ trong các phát biểu dưới đây
A. Chu kì dao động chung của cạc phần tử vật chất khi có sóng truyền qua gọi là chu kì sóng.
B. Đại lượng nghịch đảo của tần số góc gọi là tần số của sóng.
C. Tốc độ dao động của các phân tử vật chất gọi là tốc độ của sóng.
D. Năng lượng của sóng luôn luôn không đổi trong quá trình truyền sóng.
Câu 9: Sóng ngang là sóng
A. được truyền đi theo phương ngang.
B. có phương dao động vuông góc với phương truyền sóng.
C. được truyền theo phương thẳng đứng.
D. có phương dao động trùng với phương truyền sóng.
Câu 10: Khoảng cách ngắn nhất giữa hai điểm trong môi trường vật chất đàn hồi dao động lệch pha π/2 là:
A. λ
B. λ/2
C. λ/4
D. λ/8
Câu 11: Tại điểm s trên mặt nước yên tĩnh có nguồn dao động điều hòa theo phương thẳng đứng với tần số 20 Hz. Khi đó trên mặt nước hình thành hệ sóng tròn đồng tâm s. Hai điểm M, N nằm cách nhau 10 cm trên đường thẳng đi qua s, luôn luôn dao động cùng pha với nhau. Biết rằng, tốc độ truyền sóng có trị số trong khoảng 0,65 m/s đến 0,76 m/s. Tốc độ truyền sóng trên mặt nước là
A. 0,67 m/s.
B. 80 cm/s.
C. 70 cm/s.
D. 72 cm/s
Câu 12: Trong thí nghiệm giao thoa trên mặt nước, hai nguồn kết hợp S1, S2 dao động tần số 10 Hz. Tại điểm M cách S1 một khoảng 30 cm và S2 một khoảng 25,5 cm. Sóng có biên độ cực đại. Giữa M và đường trung trực của S1S2 có 2 cực đại khác. Tốc độ truyền sóng có giá trị là
A. 45 cm/s.
B. 15 cm/s.
C. 30 cm/s.
D. 40 cm/s
Câu 13: Trong một đoạn mạch xoay chiều, hệ số công suất cosφ = 0 khi
A. đoạn mạch không có cảm kháng.
B. đoạn mạch không có điện trở thuần.
C. đoạn mạch chỉ gồm tụ điện và cuộn cảm mắc nối tiếp.
D. trong đoạn mạch có hiện tượng cộng hưởng điện.
Câu 14: Để làm giảm dung kháng của một tụ phẳng mắc trong mạch điện xoay chiều ta làm thế nào?
A. Thay chất điện môi giữa hai bản tụ bằng chất điện môi khác có hằng số điện môi lớn hơn.
B. Tăng khoảng cách giữa hai bản tụ điện.
C. Giảm tần số của điện áp đặt vào hai bản tụ.
D. Giảm diện tích đổi diện giữa hai bản tụ.
Câu 15: Điện áp giữa hai bản của một tụ điện có biểu thức: u = 120cos(50πt- π/6)(V). Dung kháng của tụ điện là 200 Ω. Phát biểu nào nêu sau đây là đúng?
A. Chu kì của dòng điện là 0,02s.
B. Điện áp hiệu dụng giữa hai bản của tụ điện là 12√2 V.
C. Lúc t = 0 thì cường độ dòng điện qua tụ điện là i = 0,3 A.
D. Cường độ hiệu dụng của tụ điện là 0,6 A.
Câu 16: Người ta cần truyền đi xa một công suất điện 10 MW dưới điện áp 50 kv, mạch có hệ số công suất cosφ = 0,8. Muốn phần mất mát năng lượng trên đường dây không vượt quá 5%, thì điện trở của đường dây phải thoả mãn điều kiện:
A. R≥12Ω
B. R < 32 Ω.
C. R ≤ 8Ω.
D. R ≤ 16Ω
Câu 17: Đoạn mạch điện AB gồm hai đoạn mạch AM và MB mắc nối tiếp. Trên đoạn mạch AM có điện trở R = 112 Ω nối tiếp với cuộn cảm thuần có độ tự cảm thay đổi được. Đoạn mạch MB chỉ chứa bóng đèn sợi đốt loại 120 V - 60 w. Đặt vào hai đầu A, B một điện áp xoay chiều 220 V - 50 Hz. Để bóng đèn sáng bình thường thì độ tự cảm của cuộn dây là
A. 0,84 H.
B. 0,53 H.
C. 0,69 H.
D. 0,48 H
Câu 18: Cho đoạn mạch RLC nối tiếp, trong đó cuộn dây là thuần cảm, độ tự cảm L của nó có thể thay đổi được trong một giới hạn rộng. Điều chỉnh độ tự cảm L thì điện áp giữa hai dâu cuộn dây có thể đạt giá trị cực đại là

Câu 19: Đặt điện áp xoay chiêu có giá trị hiệu dụng không đổi vào hai đầu đoạn mạch gồm điện trở R mắc nối tiếp với tụ điện. Dung kháng của tụ điện là 100Ω. Khi điều chỉnh R thì tại hai giá trị R1 và R2 công suất tiêu thụ của đoạn mạch như nhau. Biết điện áp hiệu dụng giữa hai đầu tụ điện khi R = R1 bằng hai lần điện áp hiệu dụng giữa hai đầu tụ điện khi R = R2. Các giá trị R1 và R2 là:
A. R1 = 50 Ω ; R2 = 100 Ω.
B. R1 = 40 Ω ; R2 = 250 Ω.
C. R1 = 50 Ω ; R2 = 200 Ω .
D. R1 = 25 Ω ; R2 =100 Ω.
Câu 20: Đoạn mạch AB gồm cuộn dây có điện trở thuần r = 5 Ω và hệ số tự cảm L = 1/4π(H) mắc nối tiếp với điên trở thuần R = 20 Ω. Biết cường độ dòng điện trong mạch có biểu thức i =√2 cos100πt(A). Tổng trở và hệ số công suất của đoạn mạch có trị số tương ứng là
A. 25 Ω; 0,707.
B. 50 Ω ; √2/2.
C. 25√2 Ω ; 0,707.
D. 50√2 Ω; √2/2.
Câu 21: Phát biểu nào sau đây là sai khi nói về sóng điện từ?
A. Khi sóng điện từ lan truyền, vectơ cường độ điện trường luôn cùng phương với vectơ cảm ứng từ.
B. Khi sóng điện từ lan truyền, vectơ cường độ điện trường luôn vuông góc với vectơ cảm ứng từ.
C. Sóng điện từ lan truyền được trong chân không.
D. Sóng điện từ là sóng ngang.
Câu 22: Kết luận nào dưới đây là sai khi nói về dao động điện từ trong mạch dao động LC lí tưởng?
A. Năng lượng của mạch dao động gồm năng lượng điện trường tập trung ở tụ điện và năng lượng từ trường tập trung ở cuộn cảm.
B. Năng lượng điện trường và năng lượng từ trường dao động cùng tần số với dòng điện xoay chiều chạy qua cuộn cảm.
C. Khi năng lượng điện trường giảm, thì năng lượng từ trường tăng và ngược lại.
D. Ở mọi thời điểm, năng lượng dao động điện từ trong mạch LC không đổi.
Câu 23: Một mạch dao động LC gồm cuộn cảm thuần và tụ điện có điện dung C. Trong mạch có dao động điện từ tự do với chu kì 2,5.10-6s. Khi mắc song song với tụ điện trong mạch trên một tụ điện có điện dung 3C thì chu kì dao động điện từ tự do của mạch lúc này bằng
A. 0,75.10-6 s.
B. 5,0.10-6 s.
C. 1,25.10-6 s.
D. 0,5.10-6 s.
Câu 24: Tia Rơn-ghen sinh ra khi
A. chiếu vào một tấm kim loại chùm phôtôn có bước sóng ngắn hơn giới hạn quang điện của nó.
B. chùm ion đập vào một tấm kim loại có nguyên tử lượng lớn.
C. chùm electron có tốc độ cao đập vào một tấm kim loại có nguyên tử lượng lớn.
D. chiếu một chùm ánh sáng trắng đi qua một đèn chứa khí loãng
Câu 25: Tìm phát biểu sai. Tia hồng ngoại
A. có tác dụng nhiệt.
B. gây ra hiệu ứng quang điện đối với hầu hết kim loại.
C. có thể tác dụng lên một số loại kính ảnh.
D. không nhìn thấy được.
Câu 26: Thực hiện thí nghiệm giao thoa với khe Y-âng lần lượt với hai bức xạ có hiệu bước sóng là 160 nm, thì thây 7 khoảng vân của bức xạ thứ nhất trùng với 9 khoảng vân của bức xạ thứ hai. Bước sóng của bức xạ thứ hai là
A. 450 nm.
B. 680 nm
C. 560 nm
D. 720 nm
Câu 27: Chiếu ánh sáng trắng (bước sóng từ 0,4 μm đến 0,76 μm) vào hai khe hẹp của thí nghiệm Y-âng. Biết khoảng cách giữa hai khe là 0,5 mm và khoảng cách từ hai khe đến màn là 1 m. Bức xạ đơn sắc nào dưới đây không cho vân sáng tại điểm cách vân trung tâm 5,4 mm?
A. 0,480 pm.
B. 0,45 pm.
C. 0,54 pm.
D. 0,675 pm.
Câu 28: Trong một thí nghiệm với khe Y-âng, với bức xạ có bước sóng λ = 0,60 μm, người ta đo được khoảng vân i1= 0,42 mm. Thay bức xạ trên bằng bức xạ có bước sóng X khác, thì khoảng vân i đo được là 0,385 mm. Bước sóng λ là
A. 0,52 μm.
B. 0,70 μm.
C. 0,64μm.
D. 0,55 μm.
Câu 29: Một tấm kim loại có giới hạn quang điện là λo = 500 nm. Biết tốc độ ánh sáng trong chân không và hằng số Plăng lần lượt là 3.108m/s và 6,625.10-34 J.s. Chiếu vào tấm kim loại này một bức xạ có tần số 8,57.1014 Hz. Coi toàn bộ năng lượng còn lại của phôtôn chuyển thành động năng của electron. Công thoát êlectron khỏi kim loại và động năng ban đầu cực đại của electron lần lượt là
A. 3,505.10-19 J ; 1,20.10-19J.
B. 3,975.10-19J ; 1,70.10-19J.
C. 3,625.10-19J ; 1,60.10-19J.
D. 7,508.10-19 J ; 1,50.10-19J.
Câu 30: Để gây được hiệu ứng quang điện, bức xạ rọi vào kim loại phải thoả mãn điều kiện
A. tần số lớn hơn giới hạn quang điện.
B. tần số nhỏ hơn giới hạn quang điện.
C. bước sóng lớn hơn giới hạn quang điện.
D. bước sóng nằm trong vùng hồng ngoại.
Câu 31: Chỉ ra nhận xét sai khi nói vê trạng thái dừng của nguyên tử
A. Trạng thái dừng là trạng thái có năng lượng xác định.
B. Nguyên từ chỉ tồn tại ở trạng thái dừng.
C. Ở trạng thái dừng nguyên tử không bức xạ năng lượng
D. Khi nguyên tử chuyển từ trạng thái dừng này sang trạng thái dừng khác thì nguyên tử phát ra một phôtôn.
Câu 32: Một đèn có công suất 12 w. Nếu đèn phát ra ánh sáng đơn sắc có bước sóng 0,6 μm với hiệu suất phát quang là 4% thỉ số phôtôn phát ra trong 1 s là
A. 2,90.1023.
B. 1.45.1018.
C. 1.18.1023.
D. 3,62.1019.
Câu 33: Chọn phát biểu đúng khi nói về cấu tạo hạt nhân nguyên tử.
A. Mọi hạt nhân của các nguyên tử đều có chứa phôtôn và nơtron.
B. Hai nguyên tử khác nhau có số prôtôn và nơtron hòan toàn khác nhau.
C. Hai nguyên tử có số nơtron khác nhau là hai đồng vị.
D. Hai nguyên tử có số prôtôn khác nhau là hai nguyên tử thuộc hai nguyên tố khác nhau.
Câu 34: Chỉ ra nhận xét sai khi nói về tia anpha.
A. Hạt anpha thực chất là hạt nhân nguyên tử heli (24He).
B. Khi đi qua điện trường giữa hai bản tụ điện, tia anpha bị lệch về phía bản âm.
C. Khi đi qua từ trường, tia anpha không bị lệch hướng.
D. Tia anpha làm ion hoá môi trường.
Câu 35: Biết chu kì bán rã của urani là 4,5.109 năm. Hằng số phóng xạ của chất này bằng
A. 1,54.10-10 năm-1
B. 2,22.10-9 năm-1
C. 5,54.10-9 năm-1.
D. 2,22.10-10 năm-1.
Câu 36: Giả thiết trong quá trình biến đổi sau đây chỉ xảy ra các phóng xạ (α và β : 93233Np → 83209Bi. Số lần phóng xạ α và β- trong quá trình này lần lượt là
A. 6 và 2
B. 6 và 4.
C. 8 và 6.
D. 8 và 2.
Câu 37: Có hai chất phóng xạ A và B với chu kì bán rã lần lượt là TA, TB với TB = 2TA. Khối lượng ban đầu của chúng là mA, mB. Sau khoảng thời gian bằng 2TB thì khối lượng của các chất đã bị phân rã tương ứng là
A. 0,125 mA ; 0,25 mB.
B. 0,25 mA ; 0,125 mB.
C. 0,9375 mA ; 0,75 mB.
D. 0,75 mA ; 0,875 mB.
Câu 38: Một con lắc đơn có chu kì dao động 2,4 s khi ở trên mặt đất. Biết rằng khối lượng Trái Đất lớn gấp 81 lần khối lượng Mặt Trăng và bán kính Trái Đất lớn gấp 3,7 lần bán kính Mặt Trăng. Coi nhiệt độ không thay đổi. Chu kì dao động của con lắc khi đưa lên Mặt Trăng bằng
A. 4,8 s.
B. 5,8 s.
C. 2 s.
D. 1 s.
Câu 39: Người ta truyền tải dòng điện xoay chiều một pha từ nhà máy điện đến nơi tiêu thụ. Khi điện áp ở nhà máy điện là 6 kV thì hiệu suất truyền tải là 73%. Biết công suất truyền tải và hệ sổ công suất của mạch điện là không đổi. Để hiệu suất truyền tải là 97% thì điện áp ở nhà máy điện là
A. 36 kv.
B. 2 kv.
C. 54kV.
D. 18 kv.
Câu 40: Mạch chọn sóng của một máy thu vô tuyến gồm một cuộn dây có độ tự cảm 0,938 μH và một tụ xoay. Tụ xoay có điện dung biến thiên theo góc xoay c = α + 30° (pF). Để thu được sóng điện từ có bước sóng 15 m thì phải xoay bản cực của tụ điện một góc
A. 38,5°.
B. 36,5°.
C. 37,5°.
D. 35,5°.
2. Đáp án câu hỏi trắc nghiệm ôn thi Đại học môn Vật Lí
| Câu | 1 | 2 | 3 | 4 | 5 | 6 | 7 | 8 | 9 | 10 |
| Đáp án | D | D | C | C | D | B | A | A | B | C |
| Câu | 11 | 12 | 13 | 14 | 15 | 16 | 17 | 18 | 19 | 20 |
| Đáp án | A | B | B | A | C | C | A | B | C | C |
| Câu | 21 | 22 | 23 | 24 | 25 | 26 | 27 | 28 | 29 | 30 |
| Đáp án | A | B | B | C | B | C | A | D | B | A |
| Câu | 31 | 32 | 33 | 34 | 35 | 36 | 37 | 38 | 39 | 40 |
| Đáp án | D | B | D | C | A | A | C | B | D | C |
3. Hướng dẫn giải câu hỏi trắc nghiệm ôn thi Đại học môn Vật Lí
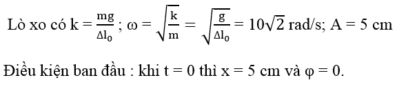
Câu 3:

Câu 6:

Câu 7:

Câu 12:
Ta có điều kiện: d2 - d1 = kλ với k = 1; 2; 3;... Giữa M và đường trung trực của S1S2 có 2 cực đại, chứng tỏ M thuộc đường cực đại thứ ba (k =3) => d2 - d1 = 3λ => λ = 1,5cm => v = λf = 15 cm/s
Câu 17:

Câu 18:

Câu 19:

Câu 26:
Ta có: λ1 - λ2 = 160 mm mà 7i1 = 9i2 => 7 λ1 = 9 λ2
Suy ra: λ1 - λ2 = 2/7 λ2 = 160 => λ2 = 560 nm.
Câu 28:
i = λD/a => λ = λ0 x i/i0 = 0,55 μm
Câu 29:
A = hc/λ0= 3,975.10-19 ; Wđ = 1,70.10-19 J.
Câu 36:
Gọi x, y là số phóng xạ α và β- : 23 = 4x + 209 ; 93 = 2x - y + 83, ta có x = 6, y = 2
Câu 37:
Sau thời gian 2TB = 4TA, chất A còn 1/24 mA = 1/16 mA=0,0625mA
Khối lượng bị phân rã là mAA - 0,0625mA = 0,9375mA
Chất B sau 2TB còn lại 0,25 mB nên khối lượng bị phân rã là 0,75 mB
Câu 40:

Mời các bạn tham khảo thêm các bài viết dưới đây của chúng tôi:
- Ôn thi Đại học môn Vật Lí có đáp án - Đề số 9
- Ôn thi Đại học môn Vật Lí có đáp án - Đề số 10
- Ôn thi Đại học môn Vật Lí có đáp án - Đề số 11
- Ôn thi Đại học môn Vật Lí có đáp án - Đề số 12
- Ôn thi Đại học môn Vật Lí có đáp án - Đề số 13
- Ôn thi Đại học môn Vật Lí có đáp án - Đề số 14
Trên đây VnDoc đã giới thiệu tới các bạn Ôn thi Đại học môn Vật Lí có đáp án - Đề số 15. Để có kết quả cao hơn trong học tập, VnDoc xin giới thiệu tới các bạn học sinh tài liệu Soạn bài lớp 12, Giải bài tập Toán lớp 12, Giải bài tập Hóa học lớp 12, Giải bài tập Vật Lí 12, Tài liệu học tập lớp 12 mà VnDoc tổng hợp và đăng tải.